Download

ORIGINAL ARTICLE

In-vivo and In-silico analysis of the anti-inflammatory, antipyretic, and analgesic activities of methanolic fruit extracts of Carica papaya

Nureen Zahra1*, Iqra Mushtaq1, Abdul Rehman1, Saher Fatima1, Areej Khalid1, Abid Sarwar2, Najeeb Ullah2, Tariq Aziz3*, Majid Alhomrani4, Walaa F. Alsanie4, Abdulhakeem S. Alamri4

1Institute of Molecular Biology and Biotechnology, The University of Lahore, Lahore, Punjab, Pakistan;

2Food and Biotechnology Research Center PCSIR Complex Lahore; Arta, Greece

3Laboratory of Animal Health Food Hygiene and Quality, University of Ioannina, Arta, Greece

4Department of Clinical Laboratory Sciences, The faculty of Applied Medical Sciences, Taif University, Taif, Saudi Arabia

Abstract

Recently, the researchers are focused on the biotherapeutic properties of medicinal as well as edible plants. Inflammation, fever, and pain are common symptoms associated with various diseases, necessitating effective therapeutic potentials for relief and healing. This study aimed to assess the therapeutic impact and mechanisms of action of the methanolic fruit extract of Carica papaya for anti-inflammatory, antipyretic, and analgesic activities via in-vivo and in-vitro approaches. For inducing inflammation, pain, and fever in albino rats, carrageenan, acetic acid dilution in distilled water, and yeast dilution in saline were used. The four different concentrations (50, 100, 200, and 400 mg/kg) of methanolic extract of C. papaya fruit were used to prevent inflammation, pain, and fever. Diclofenac and paracetamol were used as standard drugs in this study. The methanolic extract of C. papaya fruit showed efficient antipyretic and anti-inflammatory inhibition (90 and 80%, respectively), but less efficient analgesic inhibition (36%). Similarly, the in-silico study used fruit bioactive compounds such as quercetin as ligand molecules, and proteins for anti-inflammatory and antipyretic activities were 1bp4 and 4x37, respectively. The docking process was done using ligand and protein molecules. The results of the in-silico study were the same as those of the in-vivo study; anti-inflammatory and antipyretic activity binding energy values were more efficient than those of an analgesic. In conclusion, the methanolic extract of C. papaya fruit in in-silico and in-vivo studies proved less efficient against pain and more efficient against inflammation and fever.

Key words: diclofenac, interleukin 1 (4x37), molecular docking (MD), papain (1BP4), paracetamol (APAP), quercetin (QCT)

*Corresponding Authors: Tariq Aziz, Laboratory of Animal Health Food Hygiene and Quality, University of Ioannina, Arta, Greece. Email: [email protected]; Nureen Zahra, Institute of Molecular Biology and Biotechnology, The University of Lahore, Lahore, Punjab, Pakistan. Email: [email protected]

Received: 17 July 2024; Accepted: 3 September 2024: Published: 26 September 2024

DOI: 10.15586/ijfs.v36i4.2742

© 2024 Codon Publications
This is an Open Access article distributed under the terms of the Creative Commons Attribution-NonCommercial-ShareAlike 4.0 International (CC BY-NC-SA 4.0). License (http://creativecommons.org/licenses/by-nc-sa/4.0/)

Introduction

Several disorders such as cancer; diseases of the heart, gut, and central nervous system; diabetes, and many others have been treated through herbal medicine for centuries (Aziz et al., 2024; Gul et al., 2023; Shah et al., 2023; Aziz et al., 2023). Recently, natural remedies and herbal medicines have attracted the world’s attention because of the chemical hazards in the food industry (Umer et al., 2024; Ahmad et al., 2023; Bashir et al., 2023; Ejaz et al., 2023; Rather and Mohammad, 2015). Carica (Carica papaya; family: Cracicaeae) is a tree in its natural form and is mostly cultivated in India and some parts of Southeast Asia such as Malaysia and the Philippines (Abdulazeez et al., 2011). The leaves of this tree are used in the treatment of diseases like fever, pyrexia, diabetes, gonorrhea, syphilis, inflammation, and foul wounds (Mansurah et al., 20211; Sachin et al., 2023). Carica papaya, or papaya as it is commonly known, is a fruit-bearing, erect, evergreen tree that is valued for its palatable taste and various medicinal purposes. Originating from South America but grown in many subtropical and tropical parts of the world now, papaya is one of the plants used traditionally for its curative capabilities. The last few decades have witnessed a diversity of research in the biological activities as well as medicinal implications of papaya, therefore elevating its status as a top nutraceutical food crop plant (Kong et al., 2021; Owoyele et al., 2008). C. papaya has its nutritional content, a variety of enzymes, and a wide range of traditional healing benefits (Wijesooriya et al., 2019; Zuhrotun et al., 2020). From its stem, leaves, and fruits to its latex hold several bioactive compounds such as papain and chymopapain, which in themselves are enzymes (Musidlak et al., 2020; Somanah et al., 2017). Papaya comes with a lot of vital nutrients including those present in its stems, leaves, and in the core of its fruit (Fallas-Corrales and Zee, 2020). Latex is also recognized as a remarkable reservoir of enzymes such as papain and chymopapain, which are significantly high in the unripe fruit. The therapeutic function of papain is undeniable because it has been used to treat digestive disorders such as trauma, allergies, and sports injuries for ages (Ahmed and Ramabhimalah, 2012; Amazu et al., 2010). Not only does papain have immense medical potential, but it can also be found in various beer, wine, clothing, and leather industries (Mata et al., 2019). The nutritional abundance of papaya as well as its enzymes shine out its multilateral therapy power, and, therefore, it is worth considering papaya as an inherent part of both traditional medicine and modern healthcare (Agada et al., 2020; Babalola et al., 2024).

The papaya fruit also guards against heart ailments, heart attacks, strokes, and colon cancer (Aruoma et al., 2006; Murakami et al., 2016). It contains high levels of vitamins A and C that improve the immune system, and one is likely to fight illnesses such as cough and flu. Traditional medicine regards green papaya as a very effective healer for problems such as levitating blood pressure, aggravating dyspepsia, binding the bowels, ceasing menses, and the overall debilitating condition (Pathak et al., 2014). Using these many facets, the papaya helps in health and wellness promotion (Heena and Sunil, 2019; Waly et al., 2014). The chemical composition of the C. papaya plant varies across its different parts, each contributing unique compounds with potential nutritional, medicinal, and industrial applications (Sharma et al., 2022). Although inflammation is a rather vital part of our immune system, as it is produced by the body to protect from detrimental elements including pathogens, injuries, and irritants, it causes quite a little damage (Samrot et al., 2022). Lately, it is the case that It has been reported that the inflammation persists if the immune system remains switched on for a long time and so the opposite happens, that is, the body is concurrently in a constant state of inflammation (Laddu et al., 2021). Chronic inflammation, besides being interlinked to diverse conditions and diseases including heart disease, diabetes, arthritis, and some cancers, is one of the factors that has been identified to be associated with a wide range of health issues and diseases (Halim et al., 2011; Rajendran et al., 2018; da Silva et al., 2010). The antipyretic function is the capacity of some substances or healthcare products to bring down the body temperature whenever it becomes too high (Afzan et al., 2012; Prajitha et al., 2019 ). Fever or pyrexia (another term used to imply a significant rise in body temperature about normal) is a response to an underlying body condition such as an infection or inflammation. The antipyretic substances come under the effect of the heat regulatory center of the brain (Tarkang et al., 2012).

Materials and Methods

Sample collection

Organoleptic data were of fresh whole fruits of C. papaya purchased from the market during November and December, and the scientific identification and authentication were performed in the Department of IMBB, The University of Lahore, Pakistan. The papaya fruits were cleaned using running water to ensure the surfaces were clean and then chopped into small pieces using a knife (Dar et al., 2022).

Preparation of extract

Fruit extract

Plumber glass bottles were used while steeping C. papaya fruit pieces for the soaking therapy. Methanol (150–200 mL) was used to soak the peeled and cleaned fruit pieces. Shakers with blue cap glass bottles were used for shaking the fruit pierces regularly for 2–3 min before placing them at room temperature for 1–2 weeks. The filtration was performed using Whatman filter paper after mixing for 14 days. The mixture was poured onto plates and was kept inside the room at normal temperature for 1 week. After 1 week, the methanol is evaporated, and the extract is found to be in liquid form (since it is fruit extract). The micro samples are collected in Eppendorf tubes and marked (Mohapatra et al., 2023).

Experimental rats

Ninety female rats (weight range: 150–170 g) were obtained from the University of Veterinary and Animal Sciences, Lahore for the study. The animals were housed in polypropylene cages thus keeping the groups distinct. We bred inside an animal house at the University of Lahore, but it was just an experiment and could not be continued due to some reasons (Adane et al., 2021). Every single cage has educational wording, labeled in Roman words.

Anti-inflammatory activity model

Carrageenan is one of the drugs that cause paw edema and inflammation in rats at doses 50, 100, 200, and 400 mg/kg, and this was prevented by diclofenac and C. papaya extract (Fayez et al., 2024). A total of 24 albino rats were equally divided into three groups (control, standard, and experimental). Normal saline was administered in the control group of rats, with 50, 100, 200, and 400 mg/kg quantities, based on the weight of the rats. In the standard group, the test drug, diclofenac, was administered orally at different doses of 50, 100, 200, and 400 mg/kg. The doses were prepared at concentrations 50, 100, 200, and 400 mg/kg. The rats in the experimental group were treated with aqueous extract of C. papaya fruit. Carrageenan was prepared with 1% (w/v) solution in 0.9% saline. Animals were split into four groups, and each group of rats was injected with carrageenan (50, 100, 200, 400 mg/kg). Injection of 0.1 mL (1% carrageenan) into the subplantar area of the right hind paw of each rat immediately caused edema (Xiang et al., 2023). In the control group, albino rats were administered 50, 100, 200, and 400 mg/kg normal saline solution. In the standard group, rats were given the usual dose (50, 100, 200, and 400 mg/kg) of diclofenac drug. An aqueous extract of C. papaya fruit (50, 100, 200, and 400 mg/kg) was administered in rats of Groups 3 and 4.

Antipyretic activity model

Fever was induced by injecting yeast and normal saline solution into the rats’ body (Srivastav et al., 2022). In this model, as aforementioned in the previous paragraph, the rats were divided into two groups. The rats in the standard group received paracetamol. Brewer’s yeast was administered to the rats in the control group, while those in the experiment group received both Brewer’s yeast and normal saline, through an intravenous tail vein injection. The body temperature had increased at 20 h, and the highest temperature recorded was 38.3°C. Four groups consisted of five Wistar rats each. The rate of suspension used for Brewer’s yeast was 15% to cause fever in the subjects (Bhat et al., 2024 ). The first reading was taken by inserting a digital thermometer into the rectum. All animals with running temperatures greater than 37.2°C were eliminated. Fever was set earlier by A subcutaneous injection of yeast suspensions of 10 mg/kg body weight was used earlier at the back of the nape of the neck. Food was denied but water was provided until the completion of the experiment. They were maintained under controlled pH for 18 h after which their body temperatures were again recorded; animals with body temperatures ≥ 38°C and those with a 1°C rise in their body temperature were selected for testing. Groups 3 and 4 were treated with aqueous extract for 100 and 1000 mg kg body weight orally, and paracetamol tablets diluted in distilled water at a dose of 150mg/kg body weight were given as a positive control. The negative control group was a mixture of the mean rectal temperature and minimum rectal temperature of the participants.

Analgesic activity model

The analgesic activity produced contractions in rat muscles and pain phenomena. A pain experiment was conducted on rats, and treated with C. papaya extract. This model was carried out on groups of rats as explained above in the anti-inflammatory activity model.

Diclofenac as a control drug

The control drug is an important component of the study because it helps to provide an estimation of the side effects and effectiveness of new drugs (Hasan et al., 2023). Acetic acid led to writhing that was used to conduct the assessment of the ethanolic extract. In the standard and experimental groups, the rats were given acetic acid at concentrations 50, 100, 200, and 400 mg/kg corresponding to their weight. The extract of the leaves and stem was given 1 h before and the standard drug diclofenac half-an-hour before injecting the acetic acid solution into the patient’s vein. It was necessary to count different amounts of abdominal contractions in 20 min.

Acetic acid–induced writhing in mice

Swiss mice, weighing 25–30 g, were divided into four groups with five mice each. There were two experimental and two control groups. Test Groups 3 and 4 were injected with 100 mg/kg or 1000 mg/kg of aqueous extracts of C. papaya, while Group 1 was administered 0.2 mL normal saline as control, orally. In the case of reference Group 2, the rats were administered 150 mg/kg body weight of aspirin orally. The animals were fasted for 16 h before the manipulations. An hour after treatment, the mice were intraperitoneally injected (0.2 mL) with a 3% acetic acid solution to cause the writhing (Ofeimun et al., 2022). The point over time, the number of abdominal constrictions (writhing) and stretching with a jerk of the hind limb between 5 and 15 min after acetic acid injection (the equivalent of writhing indicates abdominal constriction and full extension of hind limb) were counted. The response of the extract and aspirin-treated groups were marked alongside one of the animals in the control group (0.2 mL saline and 2% Tween 80). The Amount of contracts against rolling movement.

Computational methodology

The various bioinformatics tools used were Chemsketch, Chimera 1.15, PyMOL, PyRx, and Discovery Studio, which are programs used by researchers in the evaluation of in silico anti-inflammatory, analgesic, and antipyretic properties of C. papaya fruit extract. The structural profiles of macromolecules was visualized in three-dimensional (3D) form using PyMOL, a cross-platform tool for molecular graphics. The macromolecular analysis, homology modeling, protein–ligand docking, pharmacophore modeling, VS, and MD simulations have immensely advanced the functionality of PyMOLs. Chimera is a software in which molecular structures along with all the correlated data and maps like density maps, multiple-trajectory maps as well as multiple-sequence alignments can be observed, navigated through, and analyzed. PyRx is a software used in computational drug discovery, for virtual screening and in screening libraries of compounds against possible targets. The PyRx is a Perpetual B emergency tool developed to facilitate virtual screening by pharmaceutical chemists from any platform they deem fit. From the program, the user is guided through the procedure, which entails data preprocessing, the submission of the jobs, and the subsequent processing of the results. PyRx is useful for the task of CA-CC as it has a dock wizard, and the interface is rather straightforward. Particularly, if an inflammatory protein was 1BP4 and antipyretic 4X37 was used, the SWISS PROT database was used in the Protein Data Bank (PDB) format; if not, then the Homo Model was used. In this study, BIOVIA Discovery Studio R2 Client is employed for the calculation and observation of hydrophobic interactions, target proteins, and 3D structure of ligands. The PDB structure of the target protein was the input to COAL PS to derive the Ramachandran graph (Binshaya et al., 2024)

Protein preparation

Specifically, all three protein structures 1BP4 and 4x37 were obtained from PDB, and the the first chain for all three proteins was selected in Chimera. These structures can also be obtained from UniProtKB/PDB. All small molecules such as water and metals were excluded from the protein processing, while only the large red one incorporating the protein remained. The hetero groups of all were coordinated and checked, and hydrogen atoms were placed if missing, after which the structure of a protein in the PDB was written in that format.

Results

Anti-inflammatory activity

In anti-inflammatory activity, the methanolic extract of C. papaya at different concentrations (50, 100, and 200 mg after 400 mg) obtained positive results. In the inflammation assay, as presented in Figure 1, the maximum inhibition (94%) was observed at 400 mg. Similarly, in another set dose of 50, 100, and 200 mg/kg, the percentage inhibitions were found to be 50, 80, and 65%, respectively. The maximum inhibition (70%) was observed in the standard drug Diclofenac at 400 mg/kg. The other concentrations 50, 100, and 200 mg/kg exhibited a percentage inhibition of 33%. This implies that of the total participants, 3% were adults, 50% were young, and 60% were in the late young age category. A lack of inhibition was observed in the control group after carrageenan.

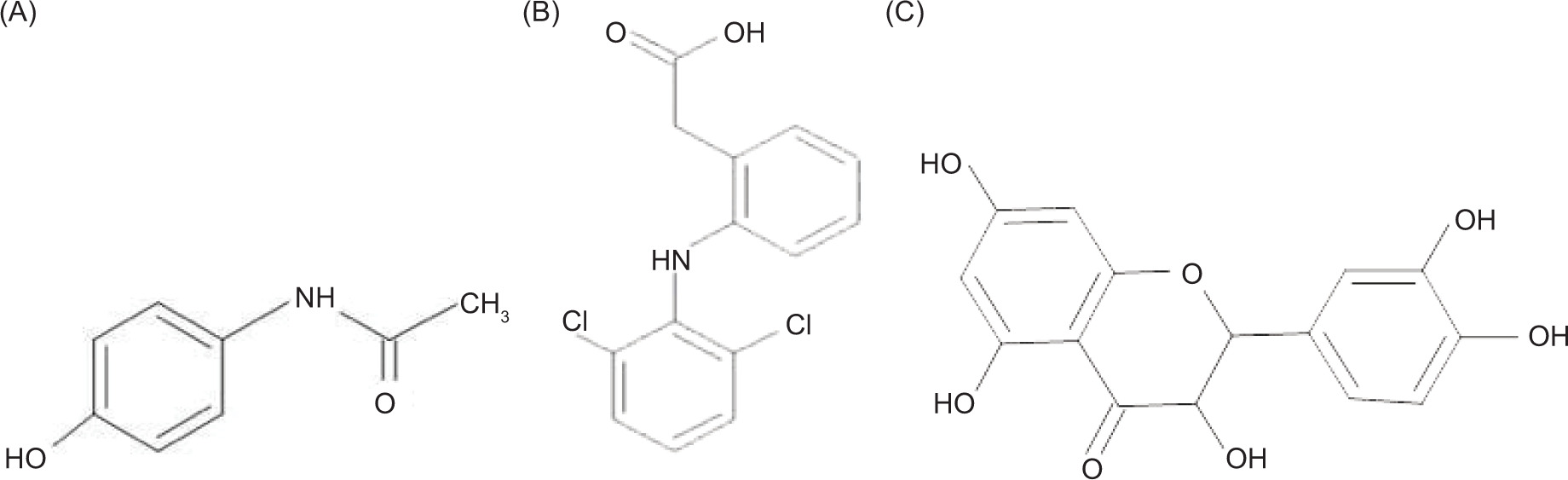
Figure 1. Show 2D structure of ligand (A) Diclofenac, (B) Paracetamol, and (C) Quercetin.

Antipyretic activity

In antipyretic activity, the methanolic extract of C. papaya at different concentrations (50, 100, and 200 mg after 400 mg) revealed positive results. In the inflammation assay, the maximum inhibition (87%) was observed at 400 mg. Similarly, in another set dose of 50, 100, and 200 mg/kg, the percentage inhibitions were found to be 65, 78, and 74%, respectively. The standard drug Diclofenac showed the maximum inhibition (85%) at 400 mg/kg. Other concentrations 50, 100, and 200 mg/kg exhibited a percentage inhibition in 50% adults, 75% young, and 70% late young age category. A lack of inhibition was observed in the control group after carrageenan.

Analgesic activity

In analgesic activity, the methanolic extract of C. papaya at different concentrations (50, 100, and 200 mg after 400 mg) revealed positive results. In the inflammation assay, the maximum inhibition (100%) was observed at 400 mg. Similarly, in another set dose of 50, 100, and 200 mg/kg, the percentage inhibition was found to be 69, 73, and 85%, respectively. the standard drug Diclofenac exhibited the maximum inhibition (83%) at a dose of 400 mg/kg. The other concentrations 50, 100, and 200 mg/kg exhibited a percentage inhibition in 45% adults, 55% young, and 74% late young age category. A lack of inhibition was observed in the control group after carrageenan.

Protein structure assessment

1bp4 is composed of two chains A&B with 200 residues in sequence. The structure of 1bp4 is retrieved from the UniProtKB/Swiss-plot database. The 3D structure analysis of 1bp4 revealed the bilayer protein constituting of 27% α helices, 30% β sheets, 41% coils, and 20% turns. Likewise, Ramachandra’s plot and value analysis indicated that values fixed through managing would predict 95% (Ramachandra et al., 2022). As for the percentages, 24% of the amino acids are located in the favored region. 4x37 subunit single chain (A) comprises 131 residues with the sequence. The structural analysis of 4x37 revealed that it is composed of 2% α helices, 59% β sheets, 37% coils, and 20% turns. Ramachandra’s plot and values predicted that 92% AI in the study area would be achieved. It was found that approximately 25% of amino acids tend to fall in the favored region as shown in Figures 1 and 2.

Figure 2. Showing Ramachandar plot (A) 1bp4 (B) 4x37.

Quercetin chemical compound

Quercetin is a water-soluble flavonol from the flavonoid group of polyphenols belonging to the group of bioflavonoids. It can be obtained from fruits, vegetables, leaves, seeds, grains, capers, red onion, and kale, a few foods with appreciable concentrations. It is bitter and has the chemical equation MgGd (C2O4)3. It is used in the preparation of some dietary food supplements and nonalcoholic beverages or foods. Its molecular weight is 302.236 g/mol.

C15H10O7

Diclofenac chemical formula

Voltaren, also known as Diclofenac, is a nonsteroidal anti-inflammatory drug used in the management of pain and other inflammatory diseases such as gout (Atkinson and Fudin, 2020). It may be taken orally, administered anally in suppositories, intravenously or intramuscularly, or applied topically to the skin. It should also be noted that all the enhancements to pain are applicable for up to 8 h. Its molecular weight is 296.148 g/mol.

C14H11Cl2NO2

Paracetamol chemical formula

This drug is classified as a nonnarcotic, analgesic, and antipyretic drug utilized to manage fever and mild to moderate pain. This is a common medicine, and the actual ingredients for its production can be purchased without consulting a doctor. Some of the widely used brands are Tylenol and Panadol. Its molecular weight is 151.163 g/mol.

Prediction of the active site of 1bp4

The binding pocket prediction in the protein structure with PDB ID 1BP4 means that one has to predict and determine the possible active or binding regions for the ligands, which can be drugs or other molecules that target the particular protein. 1BP4 is an example of a PDB entry representing a human enzyme carbonic anhydrase II (CA II) which has been studied for its activation and inhibitor binding sites.

Here is a general approach to predicting and analyzing the binding pocket of 1BP4.

Structural analysis

The first task is to assess the crystal structure of 1BP4 to identify the active site or any defined ligand interaction domains. Carbonic anhydrase II possesses the zinc ion on its active site.

Use of bioinformatics tools

Some of these software tools include CASTp, Pocket Finder, or Auto Dock to predict the possible binding pockets. These tools identify the grooves or potential holes in the 3D architecture of the protein.

Zinc coordination site

Regarding CA II, the binding pocket is of several angstroms in size, and it is found to be placed around the zinc ion which is tetrahedrally coordinated to three histidine residues (HIS94, HIS96, and HIS119) and either a water molecule or a hydroxide ion. The PUFA binding site and locus are required for the enzyme’s catalytic action.

Visual inspection

Molecular visualization softwares such as PyMOL, Chimera, or other available programs can be utilized to perform a visual study of the structure. The emphasis on the zinc ion and the coordinating residues for better visualization will bring into light the binding pocket region.

Ligand information

If the PDB entry contains an interacting partner such as a bound inhibitor or substrate, assess its orientation by using the “Orientation” field. In 1BP4, there may be some details about the bound ligands that can certainly shed light on the binding pocket profile.

Amino acids of 1bp4

The binding residue of 1bp4 contains different amino acids these are given below in Figures 3 and 4.

Figure 3. 3D picture of 1bp4 protein.

Figure 4. Ligands of 1bp4.

Prediction of the active site of 4x37

CYS25, TRP26, GLY66, TYR67, PRO68, TRP69, SER131, VAL132, VAL133, VAL157, ASP158, HIS159, ALA160, THR204, SER205, PHE207

Retrieve the string values of the coordinates of the particular protein in 3D space from PDB. In the case of 4x37, one would download the PDB file of the special chain indicated.

Visualization of the protein structure

It becomes desirable to use molecular modeling programs such as PyMOL, Chimera, or Jmol to analyze the protein structure. This helps in imagining possible locations where binding can occur. This is just for a qualitative evidence of binding.

Identify potential binding sites

Automated tools: Use of computational software that goes in search of the binding pockets in a manner that is not necessarily tinged with intricate inputs from the human race.

FT site: Establish where ligands might fit within the protein tertiary structure based on the shape of the proteins.

DoGSiteScorer: It employs a categorization as well as an evaluation method of the binding pockets known as the Gaussian filter technique.

CastP: To maximize binary locations of the protein structure, the look seems to have empty spaces and tubes.

Pock Drug: Targets druggable pockets.

Homology modeling: If there is an existing orthologous protein to the model organism with many known ligand interacting sites, then the sequences and structures can be compared to indicate as to where the binding zones may be.

Fasta file sequence of the predicted binding pockets

This helps validate the quality of the estimated binding pockets in terms of size and shape, as well as the hydrophobicity or hydrophilicity balance. Out of these, there will be facets, for example, if the form exists and contains residues that can be able to bind ligands.

Molecular docking

Conduct molecular docking and assess the individuals depending on the potential loci according to molecular modeling. As for this, there is Auto Dock, Glide, or GOLD software that will be useful for this function (Figures 5 and 6).

Figure 5. 3D image of 4x37 protein.

Figure 6. Ligands of 4.

A ranking of the docking scores and poses to evaluate the potential binding sites.

Amino acids of 4x37

ALA3, PHE4, PRO56, ARG57, GLY58, SER59, ALA60, ILE100, SER102, VAL103, THR106, TYR111, ALA126, ALA127, PRO129

The binding affinity of the ligand to the protein

Anti-inflammatory activity

In anti-inflammatory activity, all three compounds that are selected and analyzed dock into the binding site of 1bp4 perfectly. The ability of quercetin and its analogs to bind was found to be highest at −6. And for diclofenac, it is −5 kcal/mol compared to the earlier value of 4 kcal/mol. That is, for each, the actual enthalpy change of reaction for acetylsalicylic acid is 9 kcal/mol, while for paracetamol it is −4 kcal/mol–9 kcal/mol. The more negative the value is, the relatively high binding affinity of the ligand to the active site of protein, which is demonstrated in Figure 7.

Figure 7. Binding energy of 1bp4 with ligands.

Antipyretic activity

Interleukin-1 (4x37) was involved in the antipyretic activity. Quercetin is found in methanol fruit extract of C. papaya and diclofenac, and paracetamol is a standard drug is docked with 4x37. It was evident that quercetin had a very high binding affinity of −7. 5 kcal/mol, diclofenac had −6.1 kcal/mol, and paracetamol had −5.5kcal/mol, as shown in Figure 8.

Figure 8. Binding energy of 4x37 with ligands.

Active site analysis

Protein purpose

Papain is produced by C. papaya and is a proteolytic enzyme commonly used in medicines and industrial processes. It mainly serves the function of degrading proteins into smaller peptides and amino acids and is beneficial in many situations. In healthcare, papain is used to manage gastric disorders for protein digestion and in conditions associated with inflammation and swelling. Papain is also used in the treatment of wounds or ulcers; it can clear out dead tissues and facilitate their formation. In the food industry, papain is applied as a meat tenderizer because it can affect the proteins that create the meat texture making it softer and easier to chew. In addition, it is used in beer filtration and in cosmetics where it is used for abrasive skin treatments. The versatility of papain evidences its place among the widely useful enzymes with many applications to human and industrial health.

Quercetin ligand

Quercetin is a flavonoid, which is a category of plant pigments. It is present in many vegetables and food products, including red wine, onions, green tea, apples, and berries. Quercetin has antioxidant and anti-inflammatory properties that help lower irritations, kill cancer cells, regulate blood glucose levels, and prevent heart diseases, as shown in Figure 9.

Figure 9. Showing the surface of 1bp4 with (A) Quercetin (B) Paracetamol (C) Diclofenac.

Standard Drugs are Diclofenac, acetic acid, and yeast.

Antipyretic

Interleukin-1 (IL-1) is one of the most potent update-laden cytokines, which plays a central role in the coordination and orchestration of immune and inflammatory events. Much as it is fairly complex and intriguing, the allure of this component can be explained by the fact that it has a very significant role in regulating the immunity of the body to diseases and injuries as shown in Figure 10.

Figure 10. Showing the surface of 4x37 (A) Quercetin (B) Paracetamol (C) Diclofenac.

Inflammatory response: Clearly, IL-1 is one of the primary cytokines, being bioactive proteins involved in the initiation and development of an inflammatory response. It stimulates the synthesis of other cytokines that present inflammation and incite leukocyte migration at the site of the infection or tissue damage and enhances the adhesion molecule on endothelium that is required for the migration of leukocytes.

Immune regulation: Integrin beta IL-1 is involved in modulating the activities of several immune cells such as macrophage T cells and B cells. The subsequent steps of this work have also proved that the differentiation and activation of such cells are boosted and form a key cog in the complex mechanism of immunity.

Fever induction: Indeed, from the fact that IL-1 is a pyrogen it can be inferred that it can cause fever. They stimulate the hypothalamus to raise body temperature, thus highlighting the fact that the defense mechanism is part of the body to prevent the replication of pathogens.

Cellular proliferation and differentiation: It plays a vital role in directing the growth and development of various forms of cells and tissues in the human body. For instance, it promotes the formation of osteoclasts that are related to bone resorption and stimulates the production of fibroblast, and endothelial cells which are imperative in tissue remodeling and new blood vessel formation respectively.

Acute phase response: IL-1 stimulates acute-phase protein synthesis in the liver which includes CRP and SAA related to the immune task and the removal of pathogens.

Role in disease: Pathophysiological changes in the control of the IL-1 system are related to different diseases such as autoimmune diseases thus rheumatoid arthritis, and inflammatory diseases that include inflammatory bowel disease and chronic inflammation.

Thus, IL-1 is charged with coordinating the response to injury or infection and the regulation of inflammatory processes that can alter tissue and be considered pathologic from the standpoint of evolutionary biology.

Docking results

Docking with 1bp4

The molecular dock is the procedure of predicting the preferred orientation of a ligand when it is bound to the protein’s active site, specifically for 1BP4, the PDB code is used which is a protein structure. It can also help elucidate the interactions at the molecular level and in cases of drug design as shown in Figure 11 and Table 5.

Figure 11. Docking complex of 1bp4.

Figure 12. Docking complex of 4x37.

Table 1. Percentage inhibition of anti-inflammation Carica papaya versus dose of extract and standard.

Groups Treated dose
(mg/kg)
Paw volume % inhibition of anti-inflammatory activity
Control 50 0.6 0
100 1.1 0
200 0.5 0
400 1.5 0
Standard 50 1.5 33.3
100 0.5 50
200 1.5 60
400 1 70
Fruit 50 1.5 50
100 0.5 80
200 1.5 65
400 1 94

Table 2. Percentage inhibition of antipyretic Carica papaya versus dose of extract and standard.

Groups Treated dose
(mg/kg)
Pyrexia % inhibition of antipyretic activity
Control 50 2.3 0
100 1 0
200 1.1 0
400 0.9 0
Standard 50 1.9 50
100 1 75
200 2 70
400 0.5 85
Fruit 50 1 65
100 0.3 78
200 1.6 74
400 1.2 87

Table 3. Percentage inhibition of analgesic Carica papaya versus dose of extract and standard.

Groups Treated dose
(mg/kg)
Writhing % inhibition of analgesic activity
Control 50 7.5 0
100 8 0
200 8.7 0
400 8.9 0
Standard 50 10.8 45
100 13.5 55
200 14.9 74
400 15.2 83
Fruit 50 12.6 69
100 13.77 73
200 14 85
400 18.3 100

Table 4. Amino acids and hydrogen bonds of protein and ligands.

Quercetin Diclofenac Paracetamol
1bp4 SER205, HIS159, THR204, VAL157, ASP158, VAL133, VAL132, PHE207, ALA160, SER131 ASP158, HIS159, VAL157, THP204, SER205, VAL133, VAL132, PHE207, SER131, ALA160 SER205, HIS159, VAL157, THP204, SER205, VAL133, VAL132, PHE207, SER131, ALA160
4x37 ARG77, GLN29, LEU78, GLN79, LEU67, VAL131, LEU80, PRO130, LEU30, ASN28 LEU80, ARG77, LEU78, GLN79, LEU67, VAL131, LEU80, PRO130, LEU30, ASN28 PRO130, LEU30, ARG77, LEU78, GLN79, LEU67, VAL131, LEU80, PRO130, LEU30, ASN28

Table 5. bonding interaction of 1bp4.

Ligands Hydrogen bonding interaction Bond distance A Protein
Quercetin Serine205 1.87A 1bp4
Histidine159 2.44A
Diclofenac Aspartic acid158 1.78A 1bp4
Histidine159 2.07A
Paracetamol Serine205 2.30A 1bp4
Histidine159 2.44A

Docking with 4x37

Molecular docking with the protein structure mentioned above 4x37 means predicting the strength of the ligand and its position within the protein active pocket. This process is essential in drug discovery and design since it assists in determining how the drug or molecule associates with the target at the molecular level. Docking is a two-step process, the first of which is to retrieve the 3D structure of 4x37 from the PDB, then prepare the protein by checking that the protonation state is correct, removing the water molecules, and adding hydrogen atoms. Subsequently, the potential ligands are constructed in the proper geometry and at the appropriate ionization state (Figure 12).

Table 6. Showing bonding interaction of 4x37.

Ligands Hydrogen bonding interaction Bond distance A Protein
Quercetin Glutamine29 2.05A 4x37
Arginine77 2.33 A
Diclofenac Leukine80 2.27A 4x37
Arginine77 2.15A
Paracetamol Proline130 1.89A 4x37
Leukine30 1.89A
Arginine77 2.34A

The prepared protein and ligands are then performed with the help of docking software such as AutoDock Vina. The software estimates the binding conformations likely to occur based on every pose assigned a score of binding energy (Table 6). The output involves different binding poses, which are also ranked according to the calculated binding energy. The outcomes of these assays are used to predict the most favorable binding mode in which the ligand interacts with the protein’s active-site residues using software such as PyMOL or Chimera.

Discussion

As for this study, it explores the pharmaceutical potential of C. papaya concerning properties such as anti-inflammatory, anticancer, antidiabetic, and antiviral activities (Singh et al., 2020). It also emphasizes the use of C. papaya extract in treating various ailments as pointed out by the rich phytochemicals such as alkaloids, glycosides, tannins, saponins, and flavonoids (Bacha et al., 2024; Benkirn et al., 2024; Maryam et al., 2024; Abbas et al., 2024; Afsar et al., 2024; Khurshaid et al., 2023; Riaz et al., 2023; Nureen et al., 2023). This research reveals the important role of the above bioactive substances in. the therapeutic effects of papaya leaves that have antimicrobial, antiviral, anticancer, antidiabetic, and anti-inflammatory properties (Shahrajabian and Sun, 2023). It is therefore quite fascinating to note that the C. papaya has anti-inflammatory properties given their use in managing illnesses such as arthritis, asthma, and inflammatory bowel diseases. This work further reestablishes that papain and chymopapain, which are protease-class enzymes, significantly contribute to inflammation mitigation owing to their ability to break down proteins and inhibit the actions of proinflammatory agents, including cytokines. Also, the flavonoids and phenolic compounds that are found in papaya fruit help fight inflammation because they come with the ability to scavenge radicals and minimize oxidation. (Maheshwari et al., 2022).

Comparing these observations from the present study with other related studies, it can be concluded that the anti-inflammatory effect of C. papaya supports the previous findings. For instance, it has been stated that the administration of papaya leaf extracts ultimately decreases animal paw volume swelling in rats through the carrageenan method of inducing inflammation. Furthermore, this study found that the extract from the papaya leaves has strong immunomodulatory abilities since it boosts immunity power and helps to fight against a variety of pathogens (Rasheed et al., 2024; Alhazmi et al., 2021). Moreover, this study underlines the antidiabetic efficacy of C. papaya and describes the ability of the papaya leaf extract to stimulate the decrease of blood glucose levels in diabetic rats (Hartanti et al., 2023). This hypoglycemic effect is a result of the alkaloids and flavones that help release insulin and also facilitate the uptake of glucose by tissues in the body (Ma et al., 2022). Therefore, the current research supports the use of C. papaya in modern pharmacology based on the anti-inflammation, anticancer, antidiabetic, and antiviral effects of plants. However, these effects should be further investigated in additional clinical trials to verify the effects of the substance in humans and analyze the various methods of action in detail. These results support and align with prior work that highlights the applicability of papaya leaf extracts as therapy (Aljuhani et al., 2024).

As discussed, there have been multiple attempts and research to demonstrate the anti-inflammatory effects of C. papaya extract (Dotto and Abihudi, 2021). In line with the previous findings, this study has also provided evidence of a reduction in inflammation by papain and chymopapain enzymes. Furthermore, the glutathione peroxidase and superoxide anion radical scavenging activities of papaya flavonoids and phenolic compounds as demonstrated in this study findings attribute to the plant’s anti-inflammatory and antioxidant actions to such compounds (Lopez-Corona et al., 2023). Furthermore, the reduction in blood glucose levels as observed in this study is in concordance with the work that found that the extract of papaya leaves can reduce blood sugar levels in patients with diabetes. This fact draws more reliability to the outcomes of all such studies or the application of C. papaya in the management of diabetes (Prabhakar et al., 2023).

The antiviral potential of C. papaya, discussed in this study, found that the dengue virus inhibitory effects of papaya leaf extract were found to increase platelet count and thus better patient prognosis. This goes further to explain why papaya leaf extracts have the potential to serve as a therapeutic remedy for viral diseases (Mishra et al., 2022). Conclusively, the present study results agree with previous research conducted on the use of C. papaya in the treatment of various diseases. The cohesiveness of these findings across multiple types of research further serves to validate the therapeutic properties of papaya leaves and the need for additional clinical trials to elucidate the full potential of this product in maintaining human health (Munir et al., 2022).

Conclusions

Carica papaya is mainly used as a fruit, but it also exhibits several therapeutic properties and the growing evidence from various research has demonstrated its potential and has made it more valuable. This study demonstrated that the methanolic extract of C. papaya fruit proved less efficient against pain while more efficient against inflammation and fever via in-silico and in-vivo studies. These results will open new avenues for the researchers to further analyze the capabilities of the methanolic extracts, leaves, stems and even the whole fruit as a therapeutic strategy for different diseases in in-vivo and in-vitro models.

Conflict of Interest

The authors declare no conflict of interest.

Acknowledgement

The authors extend their appreciation to Taif University, Saudi Arabia, for supporting this work through project number (TU-DSPP-2024-15).

REFERENCES

Abbas M., Khan A.A., Khan T., Qadir R., Aziz T., Alharbi M., Alasmari A.F., Alshammari A. 2024. Elucidation and Comparative Assessment of Photochemical content and Antibacterial activity of Parthenium Hysterophorus Extract in different solvents. Appl Ecol Environ Res. 22(1):761–775.

Abdulazeez, M.A. and Sani, I., 2011. Use of fermented papaya (Carica papaya) seeds as a food condiment, and effects on pre-and post-implantation embryo development. Nuts and Seeds in Health and Disease Prevention. 101: 855–863. 10.1016/B978-0-12-375688-6.10101-X

Adane, F., Asres, K., Ergete, W., Woldekidan, S., Abebe, A., Lengiso, B., et al., 2021. Composition of the essential oil Thymus schimperi and evaluation of its acute and subacute toxicity in wistar albino rats: In silico toxicity studies. Evidence-based Complementary and Alternative Medicine. 2021(1): 5521302. 10.1155/2021/5521302

Afsar, M., Zia, A., Us Salam, M.B., Ahmad, M.N., Khan, A.A., ul Haq T., Aziz, T., Alasmari, A.F. (2024). A multifaceted analysis of spent mushroom substrate of selected oyster mushrooms for enzymatic activity, proximate composition, and antimicrobial activity. Italian Journal of Food Science, 36(1), 165–174. 10.15586/ijfs.v36i1.2457

Afzan, A., Abdullah, N.R., Halim, S.Z., Rashid, B.A., Semail, R.H.R., Abdullah, N., et al., 2012. Repeated dose 28-days oral toxicity study of Carica papaya L. leaf extract in Sprague Dawley rats. Molecules. 17: 4326–4342. 10.3390/molecules17044326

Agada, R., Usman, W.A., Shehu, S. and Thagariki, D., 2020. In vitro and in vivo inhibitory effects of Carica papaya seed on α-amylase and α-glucosidase enzymes. Heliyon. 6: e03618. 10.1016/j.heliyon.2020.e03618

Ahmad, E., Jahangeer, M., Mahmood Akhtar, Z., Aziz, T., Alharbi, M., Alshammari, A., et al., 2023. Characterization and gastroprotective effects of Rosa brunonii Lindl. fruit on gastric mucosal injury in experimental rats—A preliminary study. Acta Biochimica Polonica. 70(3): 633–641. 10.18388/abp.2020_6772

Ahmed, M. and Ramabhimalah, S., 2012. Anti-Inflammatory activity of aqueous extract of Carica papaya seeds in albino rats. Biomedical and Pharmacology Journal. 5: 173–177. 10.13005/bpj/340

Alhazmi, H.A., Najmi, A., Javed, S., Taha, M.M., Khalid, A., Mohan, S., et al., 2021. Medicinal plants and isolated molecules demonstrating immunomodulation activity as potential alternative therapies for viral diseases including COVID-19. Frontiers in Immunology. 12: 637553. 10.3389/fimmu.2021.637553

Aljuhani, S., Rizwana, H., Aloufi, A.S., Alkahtani, S., Albasher, G., Almasoud, H., et al., 2024. Antifungal activity of Carica papaya fruit extract against Microsporum canis: In vitro and in vivo study. Frontiers in Microbiology. 15: 1399671. 10.3389/fmicb.2024.1399671

Amazu, L.U., Azikiwe, C.C.A., Njoku, C.J., Osuala, F.N., Nwosu, P.J.C., Ajugwo, A.O., et al., 2010. Antiinflammatory activity of the methanolic extract of the seeds of Carica papaya in experimental animals. Asian Pacific Journal of Tropical Medicine. 3: 884–886. 10.1016/S1995-7645(10)60212-X

Aruoma, O.I., Colognato, R., Fontana, I., Gartlon, J., Migliore, L., Koike, K., et al., 2006. Molecular effects of fermented papaya preparation on oxidative damage, MAP Kinase activation and modulation of the benzo[a]pyrene mediated genotoxicity. Biofactors. 26: 147–159. 10.1002/biof.5520260205

Atkinson, T.J. and Fudin, J., 2020. Nonsteroidal antiinflammatory drugs for acute and chronic pain. Physical Medicine and Rehabilitation Clinics. 31(2): 219–231. 10.1016/j.pmr.2020.01.002

Aziz, T., Qadir, R., Anwar, F., Naz, S., Nazir, N., Nabi, G., et al., 2024. Optimal enzyme-assisted extraction of phenolics from leaves of Pongamia pinnata via response surface methodology and artificial neural networking. Applied Biochemistry and Biotechnology. 2024:1–8. 10.1007/s12010-024-04875-w

Aziz T., Ihsan F., Ali Khan A., Ur Rahman S., Zamani G.Y., Alharbi M., Alshammari A., Alasmari A.F. 2023. Assessing the pharmacological and biochemical effects of Salvia hispanica (Chia seed) against oxidized Helianthus annuus (sunflower) oil in selected animals. Acta Biochim Pol. 70(1):211–218. 10.18388/abp.2020_6621.

Babalola, B.A., Akinwande, A.I., Otunba, A.A., Adebami, G.E., Babalola, O. and Nwufo, C., 2024. Therapeutic benefits of Carica papaya: A review on its pharmacological activities and characterization of papain. Arabian Journal of Chemistry. 17(1): 105369. 10.1016/j.arabjc.2023.105369

Bacha A. W., Hamza, A., Ali Khan, A., Aziz, T., Wu, J., Al-Asmari, F., et al.. 2024. Scrutinizing the antidiabetic, antidiarrheal, and anti-inflammatory activities of methanolic extract of pomegranate peel via different approaches. Italian Journal of Food Science, 36(1): 1–14. 10.15586/ijfs.v36i1.2459

Bashir, A., Muhammad, Y.A, Maria, H., Khan, A.A., Aziz, T., Alharbi, M., Alsahammari, A. et al. 2023. Curative Effects of Dianthus orientalis against Paracetamol Triggered Oxidative Stress, Hepatic and Renal Injuries in Rabbit as an Experimental Model. Separations. 10(3):182. 10.3390/separations10030182

Bhat, M.M., Ansari, A.P., Ahmad, A., Qayoom, I. and Reshi, B.M., 2024. Antipyretic activity of the hydro-alcoholic extract of Artemisia absinthium L. as a standalone and as an adjuvant with barley water against yeast-induced pyrexia in albino Wistar rats. Journal of Complementary and Integrative Medicine. 21(1): 46–52. 10.1515/jcim-2023-0307

Benkiran, S., Zinedine, A., Aziz, T., Miguel Rocha, J., Ayam, I.M., Raoui, S.M., Chabir, R., Errachidi, F., et al. 2024. Wound-healing potentiation in mice treated with phenolic extracts of Moringa oleifera leaves planted at different climatic areas. Italian Journal of Food Science, 36(1), 28–43. 10.15586/ijfs.v36i1.2454

Binshaya, A.S., Alkahtani, O.S., Aldakheel, F.M., Hjazi, A. and Almasoudi, H.H., 2024. Structure-based multitargeted docking screening, pharmacokinetics, DFT, and dynamics simulation studies reveal mitoglitazone as a potent inhibitor of cellular survival and stress response proteins of lung cancer. Medical Oncology. 41(5): 101. 10.1007/s12032-024-02342-4

da Silva, C.R., Oliveira, M.B.N., Motta, E.S., de Almeida, G.S., Varanda, L.L., de Pádula, M., et al., 2010. Genotoxic and cytotoxic safety evaluation of papain (Carica papaya L.) using in vitro assays. Journal of Biomedicine & Biotechnology. 2010: 197898. 10.1155/2010/197898

Dar, A.H., Kumar, N., Shah, S., Shams, R. and Aga, M.B., 2022. Processing of fruits and vegetables. Agro-Processing and Food Engineering. 535–579. https://link.springer.com/chapter/10.1007/978-981-16-7289-7_13

Dotto, J.M. and Abihudi, S.A., 2021. Nutraceutical value of Carica papaya: A review. Scientific African. 13: 1–15. 10.1016/j.sciaf.2021.e00933

Ejaz, A., Muhammad, J., Nadeem, I.B., Abid, S., Tariq, A., Metab, A., et al., 2023. Isolation, structure elucidation and antidiabetic potential of Rosa brunonii L. fruit—Fight diabetes with natural remedies. Journal of the Chilean Chemical Society. 68(2): 5887–5894. 10.4067/s0717-97072023000205887

Fallas-Corrales, R. and Zee, S.E., 2020. Diagnosis and management of nutrient constraints in papaya. Fruit Crops. 31:607–628. 10.1016/B978-0-12-818732-6.00042-3

Fayez, N., Khalil, W., Abdel-Sattar, E. and Abdel-Fattah, A.-F.M., 2024. Involvement of TNFα, IL-1β, COX-2 and NO in the anti-inflammatory activity of Tamarix aphylla in Wistar albino rats: An in-vivo and in-vitro study. BMC Complementary Medicine and Therapies. 24(1): 57. https://link.springer.com/article/10.1186/s12906-024-04359-8

Gul, R., Qureshi, R., Hazrat, A., Ahmad, B., Khan, A.A., Aziz, T., et al., 2023. Phytochemical, antimicrobial, radical scavening and in-vitro biological activities of Teucurium stocksianum leaves. Journal of the Chilean Chemical Society. 68(1): 5748–5754. 10.4067/S0717-97072023000105748

Halim, S.Z., Abdullah, N., Afzan, A., Abd Rashid, B., Jantan, I. and Ismail, Z., 2012. Acute toxicity study of Carica papaya leaf extract in Sprague Dawley rats. Journal of Medicinal Plants Research. 5: 1867–1872.

Hartanti, D., Chatsumpun, N., Kitphati, W., Peungvicha, P. and Supharattanasitthi, W., 2023. The standardized Jamu pahitan, an Indonesian antidiabetic formulation, stimulating the glucose uptake and insulin secretion in the in-vitro models. Heliyon. 9(3): e14018. 10.1016/j.heliyon.2023.e14018

Hasan, M.K., Akhter, S., Fatema, K., Hossain, M.R., Sultana, T. and Uzzaman, M., 2023. Selective modification of diclofenac to reduce the adverse effects; A computer-aided drug design approach. Informatics in Medicine Unlocked. 36: 101159. 10.1016/j.imu.2023.101159

Heena, D. and Sunil, T., 2019. Carica papaya: Potential implications in human health. Current Traditional Medicine. 5(4): 321–336. 10.2174/2215083805666190705170022

Kong, Y.R., Jong, Y.X., Balakrishnan, M., Bok, Z.K., Weng, J.K.K., Tay, K.C., et al., 2021. Beneficial role of Carica papaya extracts and phytochemicals on oxidative stress and related diseases: A mini review. Biology. 10(4): 287. 10.3390/biology10040287

Khurshaid, I., Ilyas S., Zahra, N., Ahmad, S., Aziz, T., Al-Asmari, F., Almowallad, S., Al-Massabi, R.F., et al. 2023. Isolation, preparation and investigation of leaf extracts of Aloe barbadensis for its remedial effects on tumor necrosis factor alpha (TNF-α) and interleukin (IL-6) by in vivo and in silico approaches in experimental rats. Acta Biochim Pol. 70(4):927–933. 10.18388/abp.2020_6827

Laddu, D.R., Lavie, C.J., Phillips, S.A. and Arena, R., 2021. Physical activity for immunity protection: Inoculating populations with healthy living medicine in preparation for the next pandemic. Progess in Cardiovascular Diseases. 64: 102–104. 10.1016/j.pcad.2020.04.006

Lopez-Corona, A.V., Valencia-Espinosa, I., González-Sánchez, F.A., Sánchez-López, A.L., Garcia-Amezquita, L.E. and Garcia-Varela, R., 2023. Antioxidant, anti-inflammatory and cytotoxic activity of phenolic compound family extracted from raspberries (Rubus idaeus): A general review. Antioxidants (Basel). 11(6): 1192. 10.3390/antiox11061192

Ma, W., Xiao, L., Liu, H. and Hao, X., 2022. Hypoglycemic natural products with in vivo activities and their mechanisms: A review. Food Science and Human Wellness. 11(5): 1087–1100. 10.1016/j.fshw.2022.04.001

Maheshwari, S., Kumar, V., Bhadauria, G. and Mishra, A., 2022. Immunomodulatory potential of phytochemicals and other bioactive compounds of fruits: A review. Food Frontiers. 3(2): 221–238. 10.1002/fft2.129

Mata, R., Figueroa, M. and Rivero-Cruz, I., 2019. Chemistry and biology of selected Mexican medicinal plants. Progress in the Chemistry of Organic Natural Products. 108: 1–142. 10.1007/978-3-030-01099-7_1

Maryam B, Waseem M, Hussain N, Aziz T, Alasmari AF. 2024. Investigating the interplay of genetic variations, MCP-1 polymorphism, and docking with phytochemical inhibitors for combatting dengue virus pathogenicity through in silico analysis» Open Chemistry, 22 (1), 20240014. 10.1515/chem-2024-0014

Mishra, K.P., Bakshi, J., Sharma, G., Singh, S. and Panjwani, U., 2022. A comparative analysis of effectiveness of recombinant interleukin-11 versus papaya leaf extract for treatment of thrombocytopenia: A review. Indian Journal of Clinical Biochemistry. 38: 297–304. 10.1007/s12291-022-01097-x

Mohapatra, D., Kumar, D.N., Shreya, S., Pandey, V., Dubey, P.K., Agrawal, A.K., et al., 2023. Quality by design–based development and optimization of fourth-generation ternary solid dispersion of standardized Piper longum extract for melanoma therapy. Drug Delivery and Translational Research. 13: 3094–3131. 10.1007/s13346-023-01375-y

Munir, S., Liu, Z.-W., Tariq, T., Rabail, R., Kowalczewski, P. Ł., Lewandowicz, J., et al., 2022. Delving into the therapeutic potential of Carica papaya leaf against thrombocytopenia. Molecules. 27(9): 2760. 10.3390/molecules27092760

Murakami, S., Eikawa, S., Kaya, S., Imao, M. and Aji, T., 2016. Anti-tumor and immunoregulatory effects of fermented papaya preparation (FPP: SAIDOPS501). Asian Pacific Journal of Cancer Prevention. 17: 3077–3084.

Musidlak, O., Bałdysz, S., Krakowiak, M. and Nawrot, R., 2020. Plant latex proteins and their functions. Advances in Botanical Research. 93: 55–97. 10.1016/bs.abr.2019.11.001

Nureen Z, Tahira F, Muhammad H., Basit Z, Abid S., Tariq A., Metab A., Abdulrahman A., Abdullah F.A. 2023. In-Vivo and In-Silico analysis of Anti-Inflammatory, Analgesic, and Anti pyretic activities of Citrus paradisi Leaf Extract. J. Chil. Chem. Soc., 68, (2), 5813–5821. https://www.jcchems.com/index.php/JCCHEMS/article/view/2335/595.

Ofeimun, J.O., Aghulor, H.A. and Nworgu, Z.A., 2022. Phytochemical screening and analgesic effect, in mice, of the methanolic leaf extract of Manniophyton fulvum Mull.-Arg. (Euphorbiaceae). Journal of Pharmacy & Bioresources. 9(1): 24–32. 10.4314/jpb.v19i1.4

Owoyele, B.V., Adebukola, O.M., Funmilayo, A.A. and Soladoye, A.O., 2008. Anti-inflammatory activities of ethanolic extract of Carica papaya leaves. Inflammopharmacology. 16: 168–173. 10.1007/s10787-008-7008-0

Pathak, N., Khan, S., Bhargava, A., Raghuram, G.V., Jain, D., Panwar, H., et al., 2014. Cancer chemopreventive effects of the flavonoid-rich fraction isolated from papaya seeds. Nutrition and Cancer. 66: 857–871. 10.1080/01635581.2014.904912

Prajitha, N., Athira, S.S. and Mohanan, P.V., 2019. Comprehensive biology of antipyretic pathways. Cytokine. 116: 120–127. 10.1016/j.cyto.2019.01.008

Rajendran, P., Chen, Y.-F., Chen, Y.-F., Chung, L.-C., Tamilselvi, S., Shen, C.-Y., et al., 2018. The multifaceted link between inflammation and human diseases. Journal of Cellular Physiology. 233(9): 6458–6471. 10.1002/jcp.26479

Ramachandra, J.T., Veerappa, S.R. and Udupi, D.A., 2022. Assessment of spatiotemporal variability and trend analysis of reference crop evapotranspiration for the southern region of Peninsular India. Environmental Science and Pollution Research. 29: 41953–41970. 10.1007/s11356-021-15958-0

Rasheed HA, Rehman A, Chen X, Aziz T, Asmari FA, Alamri AS, Alhomrani M, Cui H, Lin L. 2024. Unveiling the anti-listerial effect of Citrus bergamia essential oil: Mechanism of membrane disruption and anti-hemolytic activity. Food Bioscience, 61, 104742. 10.1016/j.fbio.2024.104742

Rather, L.J. and Mohammad, F.J.S.C., 2015. Acacia nilotica (L.): A review of its traditional uses, phytochemistry, and pharmacology. Sustainable Chemistry and Pharmacy 2. 2: 12–30. 10.1016/j.scp.2015.08.002

Riaz, M., Nawaz, M., Qadir, R., Hussain, S., Roheen, T., Afzal, M., et al. 2023. Characterization and antioxidant potential of white mustard (Brassica hirta) leaf extract and stabilization of sunflower oil” Open Chemistry, 21 (1), 20230175. 10.1515/chem-2023-0175

Sachin, K.S., Kiran, T., Vishal, S., Mamta, S., Diksha, S., Sukriti, V., et al., 2023. Exploring the multifaceted potential of chlorogenic acid: Journey from nutraceutical to nanomedicine. South African Journal of Botany. 159: 658–677. 10.1016/j.sajb.2023.06.038

Samrot, A.V., Mun, C.Y., Qi, N.X., Saigeetha, S., Wilson, S., Rajesh, V.V., et al., 2022. Plant latex: Phytochemistry, medicinal properties and application. Journal of Pharmaceutical Negative Results. 13(7): 5351. 10.47750/pnr.2022.13.S07.658

Shah, S.W., Afridi, M.S., Rehman, M., Hayat, A., Sarwar, A., Aziz, T., et al., 2023. In-vitro evaluation of phytochemicals, heavy metals and antimicrobial activities of leaf, stem and roots extracts of Caltha palustris var. alba. Journla of the Chilean Chemical Society. 68(1): 5807–5812. 10.4067/S0717-97072023000105807

Shahrajabian, H.M. and Sun, W., 2023. Survey on medicinal plants and herbs in traditional Iranian medicine with anti-oxidant, anti-viral, anti-microbial, and anti-inflammation properties. Letters in Drug Design & Discovery. 20: 1707–1743. 10.2174/1570180819666220816115506

Sharma, A., Sharma, R., Sharma, M., Kumar, M., Barbhai, M.D., Lorenzo, J.M., et al., 2022. Carica papaya L. Leaves: Deciphering its antioxidant bioactives, biological activities, innovative products, and safety aspects. Oxidative Medicine and Cellular Longevity. 2022: 2451733. 10.1155/2022/2451733

Singh, A.K., Singla, K.R. and Pandey, A.K., 2023. Chlorogenic acid: A dietary phenolic acid with promising pharmacotherapeutic potential. Current Medicinal Chemistry. 30(34): 3905–3926. 10.2174/0929867329666220816154634

Somanah, J., Bourdon, E. and Bahorun, T., 2017. Extracts of Mauritian Carica papaya (var. solo) protect SW872 and HepG2 cells against hydrogen peroxide induced oxidative stress. Journal of Food Science and Technology. 54: 1917–1927. 10.1007/s13197-017-2626-4

Srivastav, G., Gupta, D., Dubey, A. and Kumar, N., 2022. Investigation of anti-pyretic activity of cinnamon oil in wistar rat. Journal for Research in Applied Sciences and Biotechnology. 1(3): 51–56. 10.55544/jrasb.1.3.7

Prabhakar, P., Mukherjee, S., Kumar, A., Kumar, S., Verma, D.K., Dhara, S., et al., 2023. Optimization of MAE for Carica papaya phytochemicals, and its in silico, in vitro, and ex vivo evaluation: For functional food and drug applications. Food Bioscience. 54(1): 102861. 10.1016/j.fbio.2023.102861

Tarkang, P., Agbor, G., Armelle, T., Tchokouaha, L.R., David, K., Ngadena, Y., 2012. Acute and chronic toxicity studies of the aqueous and ethanol leaf extracts of Carica papaya Linn in Wistar rats. Journal of Natural Product and Plant Resources. 2(5): 617–627.

Umer E, Afzal M, Naveed M, Aziz T, Kainat G, Mehmood N, Alharbi, Alasmari AF. 2024. Pharmacological evaluation and phytochemical profiling of butanol extract of L. edodes with in-silico virtual screening. Sci Rep 14, 5751. 10.1038/s41598-024-56421-7

Waly, M.I., Al-Rawahi, A.S., Al Riyami, M., Al-Kindi, M.A., Al-Issaei, H.K., Farooq, S.A., et al., 2014. Amelioration of azoxymethane induced-carcinogenesis by reducing oxidative stress in rat colon by natural extracts. BMC Complementary Alternative Medicine. 14: 60. 10.1186/1472-6882-14-60.

Wijesooriya, A., Deraniyagala, S. and Hettiarachchi, C., 2019. Antioxidant, anti-inflammatory and antibacterial activities of the seeds of a Sri Lankan variety of Carica papaya. Biomedical and Pharmacology Journal. 12: 539–547. 10.13005/bpj/1673

Xiang, L., Huang, Q., Chen, T., He, Q., Yao, H. and Gao, Y., 2023. Ethanol extract of Paridis rhizoma attenuates carrageenan-induced paw swelling in rats by inhibiting the production of inflammatory factors. BMC Complementary Medicine and Therapies. 23(1): 437. 10.1186/s12906-023-04264-6

Zuhrotun Nisa, F., Astuti, M., Mubarika Haryana, S. and Murdiati, A., 2020. Effect of papaya leaves (Carica papaya L.) extract on immune response (TLR-7, TLR-9) and inflammation (COX-2) in rats induces DMBA (7,12-Dimethylbenz[a]antrasen). Pakistan Journal of Biological Sciences. 23: 1450–1455. 10.3923/pjbs.2020.1450.1455