Download

ORIGINAL ARTICLE

Food security through triacontanol priming: Mitigating chromium stress and boosting yield in Raphanus sativus L.

Shakil Ahmed1*, Iqra Razzaq1, Rehana Sardar2, M. Nauman Ahmad3, Tariq Aziz4, Ashwag Shami5, Nada K. Alharbi5, Fahad Al-Asmari6, Fakhria A. Al-Joufi7, Jaza Maqbl Alshammari8, Lin Lin4*

1Institute of Botany, University of the Punjab, Lahore, Pakistan

2Department of Biological and Environmental Sciences, Emerson University, Multan, Pakistan

3Department of Agricultural Chemistry & Biochemistry, University of Agriculture, Peshawar, Pakistan

4School of Food & Biological Engineering, Jiangsu University Zhenjiang 212013, China

5Department of Biology, College of Science, Princess Nourah bint Abdulrahman University, P.O. Box 84428, Riyadh 11671, Saudi Arabia

6Department of Food and Nutrition Sciences, College of Agricultural and Food Sciences, King Faisal University, Al Ahsa, Saudi Arabia

7Department of Pharmacology, College of Pharmacy, Jouf University, 72341 Aljouf, Saudi Arabia

8Faculty of Biological and Agriculture Engineering, Applied College, Al-Baha University

Abstract

A major global concern for food security and human health is the indiscriminate discharge and consequent accumulation of heavy metals from various anthropogenic sources into the environment. Chromium (Cr) is one of the most common toxic effluents that pollute agricultural soil. Chromium intake affects plant metabolism, photosynthetic activity, growth, and productivity. In the present study, triacontanol (TRI) was exogenously supplied via seed priming and foliar spraying (10 ppm and 20 ppm) to alleviate Cr (60 mg/kg) stress in Raphanus sativus L. (radish). Chromium reduced shoot length by 65.21%, roots length by 66.28%, gas exchange attributes by 36.23%, mineral content by 52.55%, and phenol content by 11.11%, but the ascorbic acid content increased by 43.23%. Moreover, 2,2-diphenyl-1-picrylhydrazyl (DPPH) activity increased by 26.34%, which reduced the degree of oxidative damage caused by Cr. Additionally, elevated nutritional contents (Zn+2, Mg+2, K+, and Na+), total photosynthetic pigments (34.42%) and proline contents were correlated with relatively higher levels of ascorbic acid. Interestingly, exogenous TRI administration reduced the oxidative damage caused by Cr. In general, our findings demonstrated that seed priming and foliar supplementation with TRI improved R. sativus plant’s tolerance to Cr by reducing its accumulation and restoring oxidative equilibrium.

Key words: nutrients content, plant growth, Raphanus sativus

*Corresponding Authors: Shakil Ahmed, Institute of Botany, University of the Punjab, Lahore 54590, Pakistan. Email: [email protected]; Lin Lin, School of Food & Biological Engineering, Jiangsu University Zhenjiang 212013, China. Email: [email protected]

Academic Editor: Prof. Alessandra Del Caro – (SISTAL)—University of Sassari, Italy

Received: 6 August 2024; Accepted: 1 February 2025; Published: 1 April 2025

DOI: 10.15586/ijfs.v37i2.2741

© 2025 Codon Publications
This is an Open Access article distributed under the terms of the Creative Commons Attribution-NonCommercial-ShareAlike 4.0 International (CC BY-NC-SA 4.0). License (http://creativecommons.org/licenses/by-nc-sa/4.0/)

Introduction

Agriculture has a strong relation with the environment and its primary responsibility is to feed a growing population while lowering environmental stressors and conserving natural resources for future generations. Agriculture’s primary responsibility is to feed a growing population while lowering environmental stressors and conserving natural resources for future generations. (Vasylieva, 2018).

The presence of metal pollution damages vegetation (Dar et al., 2019). Heavy metals are introduced into agricultural soil by a variety of natural and human-made processes, including volcano eruptions, tanning and plating processes, and smoke from industries (Abbassi et al., 2024; Akram et al., 2023; Naveed et al., 2023; Shahid et al., 2017; Zameer et al., 2023). Chromium (Cr) at high levels causes changes in plant’s ultrastructure. In addition to increasing the level of melanium and electrolyte leakage in plants, it causes oxidative stress. Additionally, it is responsible for altering the antioxidant activity of several enzymes, including catalase, ascorbate peroxidase (APX), superoxide dismutase (SOD), and peroxidase (Naveed et al., 2024; Zaheer et al., 2020). Hexavalent chromium (Cr VI) is only transported from the roots to ariel cells, and most plants predominantly retain it in the roots (Da Conceicao Gomes et al., 2017).

The biological activity of Cr VI causes irregular root expansion and growth in plants. Nutrition and organogenesis are affected by Cr toxicity (Wakeel et al., 2019). The growth of crops in soils that contain heavy metals results in the deposition of toxic metals in plants, which are dangerous to both humans and animals. The number of heavy metals that accumulate in plants depends on their species and how well they absorb the metals. It is evaluated via bioaccumulation or the soil-to-plant transfer factor. The ability of roots to bioaccumulate serves as a protective mechanism, shielding the shoot from heavy metals that could interfere with photosynthetic processes (Shehata and Galal, 2020). The ability to tolerate abiotic stress is increased by phytohormones and plant growth regulators (PGRs), which also control several physical and biological functions. The ability of a plant to withstand abiotic stress increases when a PGR is applied externally (Soliman and Shanan, 2017). Plant hormones are a subset of messenger molecules that are involved in the development, biochemistry, anatomy, and photosynthesis of agricultural plants. Although the functions of auxin, gibberellin, cytokinins, jasmonates, nitric oxide, ethylene, abscisic acid, and salicylic acid are well understood, their mode of application varies according to the stress situation (Fariduddin et al., 2019).

Plant phytohormones are used by plants to regulate their development and growth. By promoting plant development, growth, and the transition from source to sink, phytohormones help plants cope with environmental abiotic stress (Ahmad et al., 2020). Triacontanol (TRI), which occurs naturally in several species of plants, is a component of epicuticular waxes (Digruber et al. 2018). Because Cr is not a necessary element, it is instead absorbed beside other substances, such as sulfates, via a sulfate transporter. Chromium limits the intake of water and minerals that are necessary for the growth of plants. It can also alter photosynthesis and respiration (Muszyńska and Labudda, 2019). Numerous plant species turn extinct due to of Cr toxicity (Rosa et al., 2017). Crop productivity is also negatively affected by the unfavorable effects of Cr on photosynthesis (Hussain et al., 2018).

The Green Revolution was implemented in 1960 to increase crop productivity through the use of fertilizers and pesticides (Pereira et al., 2019). The primary alcohol TRI was first discovered in alfalfa plants. Currently, it is believed that a novel PGR affects numerous physiochemical processes found in crop plants. Triacontanol enhances agricultural metabolic processes, such as the development of plants, stomatal conductivity process of photosynthesis, transpiration, intake of water and nutrients, and other processes related to metabolism (Krishnan and Kumari, 2008). Triacontanol is used to evaluate many forms of stress caused by abiotic factors, such as coldness, dryness, salinity, and stress caused by heavy metals. By the exogenous application of TRI in plants, it reduces harmful effects by increasing the biomass of plants, exchange of gas parameters, amount of chlorophyll, mineral nutrient uptake, and enzymatic and non-enzymatic antioxidant defense systems. Furthermore, TRI improves water use efficiency, rate of transpiration, nutrient and water intake, biomass, and rate of photosynthetic activity. It also maintains the level of internal carbon dioxide (Digruber et al., 2018). Triacontanol is used as a seed preparation and foliar spray to alleviate the negative effects of Cr stress in R. sativus. Under 1.5-mM Cd stress, a 20-mL foliar spray of TRI alleviated oxidative damage in canola plants (Karam et al. 2017). Chromium toxicity negatively affects the concentration and compartmentalization of different nutrients in plants. The chlorophyll concentration is decreased by up to 53% after 60 days of exposure to Cr. In all grape vines, Cr toxicity reduces carbon dioxide assimilation, stem water potential, and stomatal conductance because at this stage, Cr increases total phenolic concentration in the plant, as reported by Nikolaou et al. (2022). Therefore, various phytoprotectants are used to decrease the effects of Cr stress on the development of plants.

An economically valuable root vegetable belonging to the Brassicaceae family is Raphanus sativus L. The economic value of this crop has led to its global cultivation. Raphanus sativus vegetables are consumed as a food due to nutritional value such as fiber, minerals, carbohydrates, and other organic nutrients (Park et al., 2016). The photochemical composition of radish is responsible for several of its characteristics. The molecule called isothiocynates is present in radish and is responsible for its characteristic flavor and strong aroma (Nishio, 2017). Although the root of radish is the only edible portion, eating leaves and sprouts is also popular (Manivannan et al., 2019). Radish can be preserved or used as a pickle (Nishio, 2017). According to the the European Prospective Investigation into Cancer and Nutrition study (EPIC cohort) in Europe, radish consumption makes up to 6% of all vegetables belonging to the Brassicaceae family, ranking fifth behind broccoli, cauliflower, white cabbage, and regular cabbage (International Agency for Research on Cancer [IARC], 2004).

Approximately 100 studies have revealed the beneficial effects of phytoprotectants on increasing the growth of plants. Phytoprotectants are used to alleviate the delirious effects of heavy metal stress on crops. However, few studies have used TRI to relieve Cr stress in plants. In this study, an experiment was designed to determine the effect of TRI on R. sativus under Cr stress. The main purpose of this study was to determine the deleterious effects of Cr on photosynthetic pigments, and contents of chlorophyll, minerals, proteins, proline, and phenol. Numerous studies have detailed the impact of various phytohormones on diverse crop species. On the other hand, little is known about TRI-assisted seed priming. This study aimed to determine the beneficial effects of TRI on the growth of R. sativus under Cr stress.

Materials and Methods

Seed priming and growth conditions

Seeds of R. sativus L. were acquired from the Roshan Seed Center, Lahore, Pakistan. The seeds were free of bacterial and fungal infections. R. sativus seeds were sterilized by immersing in sodium hypochlorite solution for a few minutes. Sigma-Aldrich (Saint Louis, MO, USA) provided TRI. Stock mixture comprising 1-mM stock solution combined with 219.4 mg of the compound in 500 mL of distilled water was used to make two concentrations of TRI (10 ppm and 20 ppm). Some seeds were immersed in the TRI solution and others were soaked in water for water assimilation. The experiment was conducted in the botanical garden of the Quaid-e-Azam University of Punjab, Lahore Campus, Pakistan. The experiment was conducted in the botanical garden of the Quaid-e-Azam University of Punjab, Lahore Campus, Pakistan from 1 November, 2022 to 15 February, 2023. Exogenous Cr was mixed in the soil and placed in clay pots for 15 days before seeding. Each pot contained 8 kg of soil. As a source of Cr VI, potassium dichromate (K2Cr2O7) was used. The control comprised Cr-free soil. This was followed by washing the soaked seeds with distilled water and drying them at 25°C for 1 h. In each pot, seven TRI-primed seeds and seven control seeds were sown evenly. A foliar spray of 10-ppm and 20-ppm TRI was also sprayed on certain pots. The experimental work consisted of a total of 14 treatments: control, Cr, TRI-1 SP, TRI-2 SP, TRI-1 FS, TRI-2 FS, TRI-1 SP+FS, TRI-2 SP+FS, TRI-1 SP+Cr, TRI-2 SP+Cr, TRI-1+FS+Cr, TRI-2+FS+Cr, TRI-1 SP+FS+Cr, and TRI-2 SP+FS+Cr. There were four repetitions of each treatment.

Evaluation of morphological parameters

The R. sativus crop was managed via a local crop management technique. Plants in the experimental work were harvested after 105 days. To measure the length of the roots and shoots, the roots and shoots were separated by washing to remove dirt. The fresh and dry weight of the roots was assessed. The roots were oven-dried at 72°C for 2 days, after which the dry weights of the roots and shoots were assessed. The following morphological parameters were recorded: length of the shoot, length of the leaf, number of leaves, width of the leaf, and area of the leaf.

The leaf area was calculated by the following Carleton-Foote formula:

Area of leaf = length of leaf × width of leaf × 0.75 correction factor.

Productivity assessment

The yield parameters of R. sativus were also observed in normal and Cr-treated plants, in which the number of pods, length of pods, and the number of flowers were observed.

Detection of heavy metals

The R. sativus leaves were removed, washed, and dried at 65°C in a drying oven. Dry digestion of nitric acid and perchloric acid (HNO3–HCLO4) (Moseley and Jones, 1984) was used to digest plant material. A 0.5-g sample was taken and homogenized with 5 mL of HNO3. Then, 1.5 mL of HCLO4 was added. This mixture was heated until brown fumes disappeared. This mixture was cooled, and 5 mL of diluted HCl was added to it. The mixture was further diluted by adding water up to 25 mL. Atomic absorption spectrometry (XplorAA) (Chapman and Dale, 1976) was used to determine the content of heavy metals.

Assessment of metal tolerance index and accumulation factor

The accumulation factor was calculated via the following formula (Al-Farraj et al., 2009):

Accumulation Factor = concentration (shoot)concentration (soil).

The metal tolerance index (MTI) was determined by the following formula (Balint et al., 2007):

MTI (%) = Dry weight of the Treated plantsDry weight of the untreated plants×100.

Determination of mineral content

To determine the mineral content, 1 g of shoot sample was mixed with 20 mL of 65% HNO3 (w/v), and 100 mL of deionized water was added. By using flame spectrophotometer, the amount of Na+ and k+ was determined (Sagner et al., 1998), and atomic absorption spectrophotometry was used to determine the quantities of ZnO2 and MgO2 (Chapman, 1976). The mineral content was determined via a standard curve.

Evaluation of photosynthetic pigment and carotenoid contents

The contents of chlorophyll-a and chlorophyll-b in plants were assessed by the Arnon (1949) process. Fresh and healthy leaves were cut into 0.5-cm segments; crushed using a pestle; and mixed with 20 mL of 80% acetone. The extract was transferred into a test tube, which was covered with an aluminium foil. Subsequently, 3 mL of the extract was transferred to a cuvette and observed at the optical densities of 645, 643, and 480 nm using a spectrophotometer (Shimadzu UV 240V. CAT. No. 206-25400-38 SHIMZDZU Corporation, Kyoto Japan). Calculation of chlorophyll-a, chlorophyll-b and carotenoids respectively.

Estimation of 2,2-diphenyl-1-picrylhydrazyl (DPPH) activity

The antioxidant activity was determined using this method. In this method, 1 g of the plant sample was mixed with methanol to prepare an extract. Then, 1 mL of this extract was utilized, and freshly prepared methanolic solution of 5 mL 0.1-mM DPPH was added to this mixture. This mixture was incubated for 60 min in the dark. The color of the mixture faded, and it was subsequently checked at 517 nm using a spectrophotometer (Chen et al. (2008).

Evaluation of gas exchange attribute

The net transpiration rate, photosynthetic rate, and stomatal conductivity were measured from 12:00 noon to 1:00 p.m. from the highest fully extended leaf via a portable gas exchange analyzer (LCA-4 System; ADC, Ltd. 12 Spurling works, Pindar Road, Hoddesdon, Herts, UK) (Rehana et al., 2022).

Determination of ascorbic acid

To determine the concentration of ascorbic acid, 0.5 g of R. sativus leaves was used; 100 mL of distilled water was mixed with 5 g of oxalic acid and 0.75 g of ethylenediaminetetra acetic acid (EDTA) to prepare solvent for extraction. For homogenization of the leaves, 20 mL of the extracted solution was used, and 1 mL of filtered extract was centrifuged for 15 min at 6,000 rpm. The supernatant was then collected in a test tube, and 2,6-dichlorophenol indophenol (DCPIP) was added to it, altering the pink color of the supernatant. A spectrophotometer was used to measure acid absorbance at 520 nm (Keller and Schawager, 1977).

Evaluation of protein

Proteins were quantified by the Peterson (1977) method. Plant leaves, 1 g, were combined with 2 mL of phosphate buffer. The mixture was then centrifuged at 6,000 rpm for 15 min. Following centrifugation, the supernatant was collected and mixed with 2 mL of Folin mixture for 15 min. Subsequently, 0.5 mL of Folin’s reagent was added to each sample, which was left at room temperature for approximately 30 min. After vigorous shaking, a spectrophotometer was used to measure the absorbance at 715 nm. The bovine serum albumin (BSA) standard curve was used to approximate the protein content of the leaves.

Estimation of proline content

This method ascribed by Bates et al. (1973) was used for determining proline content in the plant. For this, 1 g of the leaf sample was mixed with 3% sulfosalicylic acid and centrifuged at 10,000 rpm. An equivalent volume of ninhydrin (2,2-dihydroxyindane-1,3-dione) and glacial acetic acid was added to the leaf sample. The mixture was kept in a hot water bath and then ice cold; 4 mL of toluene was added to it. The superior toluene chromophores were examined at 520 nm, and the resulting curve was compared to the standard curve prepared with the L-proline solution.

Estimation of phenol

For 15 min at 65°C, 2 g of fresh plant material was added to 10 mL of aqueous methanol (80%). Then 1 mL of this extract was mixed with 250 mL of Folin-Ciocalteu reagent (FCR, 1N), and 5 mL of distilled water was added and the mixture was preserved at 30°C. The amount of phenol present was calculated by assessing absorbance of the mixture at 725 nm and comparing with the gallic acid reference curve (Zieslin and Ben Zaken, 1993).

Results

Assessment of morphological parameters

Chromium had a negative effect and caused 65.21% reduction in shoot length, compared to that of the control. Compared to the TRI-1 SP+FS treatment, the TRI-2 SP+FS treatment resulted in better results, in which the shoot length increased by 82.60%, compared to that of the control. The increase in root length caused by seed priming was 7.88% for TRI-1 SP, but for TRI-2 SP, the increase in root length was 41.27% (Table 1). Triacontanol, as a combination of seed priming and foliar spray, increased the root length of TRI-1 SP+FS+Cr plants by 13.58%, compared to that of the plants affected by Cr. Triacontanol, as a combination of seed priming and foliar spray, increased the length of the roots of TRI-1 SP+FS+Cr plants, and the number of leaves from TRI-1 SP+FS+Cr plants was 63.21% more than that from the Cr-affected plants. Compared to the application of Cr, the application of TRI-2 SP+FS+Cr increased the number of leaves by 36.42%. Compared to that of the plants affected by Cr, the weight of the roots of the plants pre-treated with TRI as seeds increased, and the weight of the roots affected by TRI-2 SP+Cr was 58.80%. TRI-1 FS increased the shoot weight by 0.64%, compared to that of the control. TRI-2 SP also increased the shoot weight by 12.17%, compared to that of the control. Triacontanol is a combination of seed priming and foliar spraying, and the root weight of TRI-2 FS+Cr was 26.40% more than that of Cr-affected plants. Compared to the control, Cr reduced the dry weight of the roots by 89.33%. Triacontanol as a foliar spray increased the dry weight of the roots by 20.66%, similar to TRI-1 FS, but TRI-2 FS increased the dry weight of the roots by 23%. Compared to that in the control, the dry weight of the shoots in the Cr treatment was significantly lower (82.63%). Compared to that of the plants affected by Cr, the weight of the roots of the plants subjected to TRI as a seed primer, that is TRI-2 SP+Cr, was 36.85%.

Table 1. Effect of triacontanol (TRI) on the morphological attributes of R. sativus grown under chromium (Cr) stress.

Treatments Shoot length (cm) Root length (cm) Number of leaves Area (cm2) Root fresh weight (g) Shoot fresh weight (g) Root dry weight (g) Shoot dry weight (g)
Control 11.5±0.28c 14.83±0.60e,f 7±0.57d 22±0.57a 1.58±0.08d,e 1.56±0.1a 1±0.1a 0.48±0.08e
Cr 4±0.57f 5±0.57g,h 3.66±0.66a,b 12.33±0.88e,f 0.14±0.2e 0.27±0.07d 0.10±0.05g 0.083±0.01a,b
TRI-1 SP 12.66±0.88c 16±0.57c,d,e 5±0.57b,c 28.5±0.76i 1.74±0.01a,b 1.56±0.05a,c 1.28±0.05b,c 0.50±0.01a
TRI-2 SP 13.5±O.76C 17±0.57b,c 6±0.57a,e 29.33±0.88d,e 1.83±0.01a,b,c 1.75±0.02d 1.29±0.05b 0.54±0.08a,b
TRI-1 FS 14.17±0.72d 20.16±1.01a,b 7±1.00b 23±0.57d,e 1.56±0.012d,e 1.57±0.05d 1.20±0.08d,e 0.46±0.01b,c,d
TRI-2 FS 15.16±0.60e 22±0.57d,e 6±0.57a 26±0.86e 1.62±0.01b,c,d,e 1.62±0.08a,b 1.23±0.05b,c 0.50±0.02a
TRI-1 SP+FS 17±0.76b 24.16±0.60c,d,f 8±0.57e,f 30.33±0.88g,h 1.98±0.011a,c 1.87±0.01a,b 1.33±0.01b 0.72±0.01b
TRI-2 SP+FS 21±0.57a 26±0.57a 9.66±0.88c 35±0.57h 2.06±0.01a,b 1.91±0.08b,c 1.35±0.01b 0.80±0.01c,d
TRI-1 SP+Cr 4.33±0.88e,f 9±0.86e,f 4.33±0.33a 15±0.57d 1.33±0.01d,e 1.19±0.01a,b 0.53±0.01c,d,e 0.32±0.01b
TRI-2 SP+Cr 5.33±0.33c 10±0.57d,e,f 3.33±0.33d,e 17.83±0.82d 1.46±0.01d,e 1.25±0.01c 0.62±0.01d,e 0.35±0.08d
TRI-1 FS+Cr 5±0.57d,e,f 6.5±0.76h 3±0.57f,g 13±0.57f,g 1.22±0.01e 1.32±0.01b 0.47±0.01e 0.20±0.02c,d,q
TRI-2 FS+Cr 6±0.57 8.83±0.60f,g,h 3.66±0.33g,h 15.66±0.88ef 1.36±0.57a 1.34±0.01a,c 0.51±0.08f,g 0.24±0.08a,b,c
TRI-1 SP+FS +Cr 7.83±0.16d,e 12.66±0.44f,g 4.66±0.88f 18±0.57b 1.51±0.05c,d,e 1.47±0.02a 0.85±0.02e,f 0.43±0.01a
TRI-2 SP+FS+Cr 8±1.04d,e 13.5±1.04f,h 5±0.57c 20±0.57h 1.53±0.05b,d,e 1.50±0.01a,b,c 0.93±0.02b,c 0.44±0.01e

Data demonstrate mean±SE of three replicates. Significant difference between the treatments is denoted by superscripted letters. C = control, Cr = 60-mg/kg chromium, TRI-1 SP = 10-ppm TRI-primed seeds, TRI-2 SP = 20-ppm TRI-primed seeds, TRI-1 FS = 10-ppm TRI foliar sprayed, TRI-2 FS = 20-ppm TRI foliar sprayed, TRI-1 SP+FS = 10-ppm TRI primed seeds and foliar sprayed, TRI-2 SP+FS = 20-ppm TRI primed seeds and foliar sprayed.

Productivity assessment

The data presented in Table 2 show the effects of Cr stress on the productivity of R. sativus. Triacontanol significantly increased both fresh and dry weights of the pods. Compared to the control, Cr reduced the number of pods by 57.08%. Triacontanol was applied as a foliar seed priming spray and a combination. Triacontanol, when applied in combination, had the greatest effect on increasing the productivity of the plant. TRI-2 FS increased the pod length by 1.57%, compared to that of the control. TRI-2 FS+Cr resulted in a minimum increase in pod length of 47.06% compared to that of the Cr-affected plants. Compared to the Cr treatment, the TRI-2 SP+Cr treatment increased the pod length by 47.06% (Table 3). TRI-1 Sp Cr had a weaker effect than TRI-2 SP+Cr and increased the fresh weight of the pods by 10.06%, compared to that of the control. TRI-2 FS+Cr increased the fresh weight of the pods by 49.05%, compared to that of the plants affected by Cr (57.23%). TRI-1 FS increased the dry weight of the pods by 5.55% compared to that of the control. Triacontanol was applied as a combination and increased the dry weight of the pods to maximum when TRI-2 SP+FS+Cr was applied, and the fresh weight of the pods was 20.37% more than that of the plants affected by Cr (81.48%). Seed priming increased the number of flowers, but its effects were less pronounced than those of the combination. Compared to those in the control plants, fewer flowers were found in the Cr-treated plants, with a decrease of 34.76%. Compared to that of the control, the percentage of TRI-1 FS+Cr-treated flowers was 54.33%.

Table 2. Effect of triacontanol (TRI) on pod length, pod fresh weight, pod dry weight, and number of flowers.

Treatments Pod length (cm) Pod fresh weight (g) Pod dry weight (g) Numbers of flowers
Control 4.6±0.88b,c 0.53±0.01e 0.18±0.008e 15.33±0.88e
Cr 2±1.3d,e 0.22±0.02i 0.03±0.02c 10±1.3f,g
TRI-1 SP 4.7±0.12b,c 0.85±0.02a 0.20±0.008f 26±0.5c
TRI-2 SP 4.7±0.08b,c 0.84±0.01b 0.22±0.008b 29±0.57b
TRI-1 FS 6±0.81a,b,c 0.79±0.012b 0.17±0.008e 18.5±0.40d
TRI-2 FS 4.7±0.08b 0.77±0.008c 0.17±0.008e 19±1.15d
TRI-1 SP+FS 5.33±0.88a 0.94±0.011a 0.27±0.011c 30.66±0.88b
TRI-2 SP+FS 6.5±0.18a 0.95±0.017a 0.43±0.08b 35.33±0.88a
TRI-1 SP+Cr 2.7±0.05d,e 0.32±0.008g 0.08±0.005a,b 8±0.57g,h
TRI-2 SP+Cr 2.7±0.08d,e 0.34±0.011g 0.07±0.00c,d 11±0.57f
TRI-1 FS+Cr 1.7±0.11e 0.23±0.01h,i 0.03±0.008e 5.3±0.88i
TRI-2 FS+Cr 2.4±0.17d 0.27±0.05h 0.07±0.015a,b 7±0.57h,i
TRI-1 SP+FS+Cr 3.4±0.17c,d 0.47±0.008f 0.60±0.24a 12±0.57f
TRI-2 SP+FS+Cr 3.73±0.12c,d 0.64±0.012d 0.14±0.02f 15±0.57e

Data demonstrate mean±SE of three replicates. Significant difference between the treatments is denoted by superscripted letters. C = control, Cr = 60-mg/kg chromium, TRI-1 SP = 10-ppm TRI-primed seeds, TRI-2 SP = 20-ppm TRI-primed seeds, TRI-1 FS = 10-ppm TRI foliar sprayed, TRI-2 FS = 20-ppm TRI foliar sprayed, TRI-1 SP+FS = 10-ppm TRI-primed seeds and foliar sprayed, TRI-2 SP+FS = 20-ppm TRI-primed seeds and foliar sprayed.

Table 3. Effect of triacontanol (TRI) on the yield attributes of shoot length, root length, number of leaves, and leaf area of reproductive harvest.

Treatments Shoot length (cm) Root length (cm) Number of leaves Leaf area (cm2) Root fresh weight (g) Shoot fresh weight (g) Root dry weight (g) Shoot dry weight (g)
Control 80.33±0.88d 34.33±0.88f 7±0.66g 67.66±0.88d 229±0.57e 100.33±0.88b 79±0.88f 52±0.57d
Cr 38.33±0.88k 22.33±0.88j,k 10±0.57a 27±0.57i 187.66±0.88i 64±0.57f 24.33±0.88i 19.33±0.33j
TRI-1 SP 89.33±0.88d 44±0.57d 6±0.88k 82.33±0.88c 238±0.57b 140.33±0.88a,b 90.33±0.88d 70.33±0.88c
TRI-2 SP 94.16±1.01c 48.5±0.76c 9±0.57h 86.33±0.88b 243.33±0.88b 141.5±0.86 a,b 94.83±0.72c 72±0.57c
TRI-1 FS 78.66±0.88f 32±0.57g 11±0.72g 72.33±0.88a,b 229.33±0.88d 126.5±1.04d,e,f 84±0.57e 47.5±0.76e
TRI-2 FS 81.66±0.88e 39±0.57e 12±0.57b 81.33±0.88b 241.66±0.88c 128.83±0.72b 83.33±0.8e 52±0.57d
TRI-1 SP+FS 106.33±0.88b 55±0.57b 15±0.57c 108.33±0.88a 262.66±0.88a 152±0.57a 103.3±0.88b 80.66±0.88b
TRI-2 SP+FS 109.33±0.88a 62±0.57a 11±0.88e 119.33±0.88a,b,c 264±0.57a 152.66±0.88c,d,e 109.66±0.88a 85.16±0.44a
TRI-1 SP+Cr 54.5±0.76j 28±0.57i 12±0.57i 30.66±0.88i 189.5±1i 78.83±0.60c,d,e 31±0.57j 28±0.57i
TRI-2 SP+Cr 57.83±0.72i 31±0.57g,h 31±0.57g,h 32.33±1,50j 194.330±0.69h 82.83±0.82e,f 36.83±0.82i 32.88±0.82h
TRI-1 FS+Cr 42.66±0.88i 21±0.57k 12±0.57d 20.66±0.88h 203.6±0.88h 68±0.57de,f 26±0.57k 20.83±0.72i
TRI-2 FS+Cr 50.66±0.88k 24±0.57j 10±0.57j 25.66±0.88g 209.33±0.57f 73.83±0.72c,d 27.83±0.7k,l 26.83±0.72i
TRI1SP+FS+Cr 64±0.57h 29.66±0.88h,i 12±0.57h 51±0.50i 218.33±0.12a,c 91.33±0.88c 47.5±1.04 h 37.5±0.76 i
TRI2SP+FS+Cr 67±0.579 32.83±0.72f,g 13±0.57i 60.33±0.88e 223.66±0.88f 94.33±0.88a 53.83±0.72g 42±0.57f

Data demonstrate mean±SE of three replicates. Significant difference between the treatments is denoted by superscripted letters. C = control, Cr = 60-mg/kg chromium, TRI-1 SP = 10-ppm TRI-primed seeds, TRI-2 SP = 20-ppm TRI-primed seeds and foliar sprayed.

Evaluation of photosynthetic pigment and carotenoid content

The chlorophyll content was measured after the application of TRI. Compared to the control, Cr VI had a negative effect on the chlorophyll content and decreased the contents of chlorophyll-a (27.59%), chlorophyll-b (22.98%), total chlorophyll (24.26%), and carotene (4.7%). Compared to the control, TRI foliar spray as TRI-2 FS increased the contents of chlorophyll-a by 29.22%, chlorophyll-b by 29.53%, total chlorophyll by 28.73%, and carotenoid by 1.44% (Table 4). Compared to the control, TRI-1 FS increased the contents of chlorophyll-a by 19.21%, chlorophyll-b by 25.34%, total chlorophyll by 23.50%, and carotenoids by 0.58%. Triacontanol, a seed primer for TRI-1 SP, increased the contents of chlorophyll-a by 30.82%, chlorophyll-b by 32.48%, total chlorophyll by 31.42%, and carotenoid by 4.76%, compared to those of the control. Compared to TRI-1 SP, TRI-2 SP had the best results. Compared to Cr, TRI-2 SP+Cr alleviated the effects of Cr by reducing the contents of chlorophyll-a to 6.04%, chlorophyll-b to 9.31%, total chlorophyll to 9.23%, and carotenoid to 5.66%. TRI-2 SP+FS Cr resulted in maximum increase of chlorophyll content.

Table 4. Effect of triacontanol (TRI) on the chlorophyll-a, chlorophyll-b, total chlorophyll, and carotenoid content of R. sativus.

Treatments Chlorophyll-a (mg/g FW) Chlorophyll-b (mg/g FW) Total chlorophyll (mg/g FW) Carotenoids (mg/g Fw)
Control 0.029±0.004f 0.051f±0.005f 0.053e±0.006e 0.000211c±2.18c
Cr 0.020±0.0038h 0.039i±0.007i 0.040h±0.0078h 0.000120h±2.33h
TRI-1 SP 0.037±0.0026d 0.067±0.0042c 0.069±0.004c 0.000221±1.45c,d
TRI-2 SP 0.038±0.0030c 0.068±0.0049b 0.070±0.0052b 0.000230±1.76c
TRI-1 FS 0.034±0.0042e 0.063±0.0075d,e 0.065±0.0077d 0.000212±1.15c,d
TRI-2 FS 0.037±0.0036d 0.066±0.0063c,d 0.068±0.0065e 0.000214±1.76c,d
TRI-1 SP+FS 0.041±0.0030b 0.073±0.0046b 0.076±0.0042c 0.000250±1.15b
TRI-2 SP+FS 0.042±0.0026a 0.078±0.0050a 0.080±0.0051b 0.000268±2.33a
TRI-1 SP+Cr 0.026±0.0031f 0.045a±0.005a 0.046±0.0057a 0.000198±1.73f
TRI-2 SP+Cr 0.027±0.0024f 0.046±0.0031f,g 0.048±0.0028e,f 0.000199±0.88g
TRI-1 FS+Cr 0.024±0.0035g 0.040±0.006g 0.042±0.0066e 0.000177±1.45a
TRI-2 FS+Cr 0.024±0.0035f,g 0.042±0.0030h 0.043±0.0037a,b 0.000187±1.85a,b,c
TRI-1 SP+FS+Cr 0.027±0.0035e 0.047±0.0040g,h 0.049±0.0043c 0.000210±0.88b
TRI-2 SP+FS+Cr 0.028±0.032a 0.049±0.0064d,e 0.051±0.0065a 0.000211±1.76c

Data demonstrate mean±SE of three replicates. Significant difference between the treatments is denoted by superscripted letters. C = control, Cr = 60-mg/kg chromium, TRI-1 SP = 10-ppm TRI-primed seeds, TRI-2 SP = 20-ppm TRI-primed seeds, TRI-1 FS = 10-ppm TRI foliar sprayed, TRI-2 FS = 20-ppm TRI foliar sprayed, TRI-1 SP+FS = 10-ppm TRI-primed seeds and foliar sprayed, TRI-2 SP+FS = 20-ppm TRI-primed seeds and foliar sprayed.

Estimation of DPPH

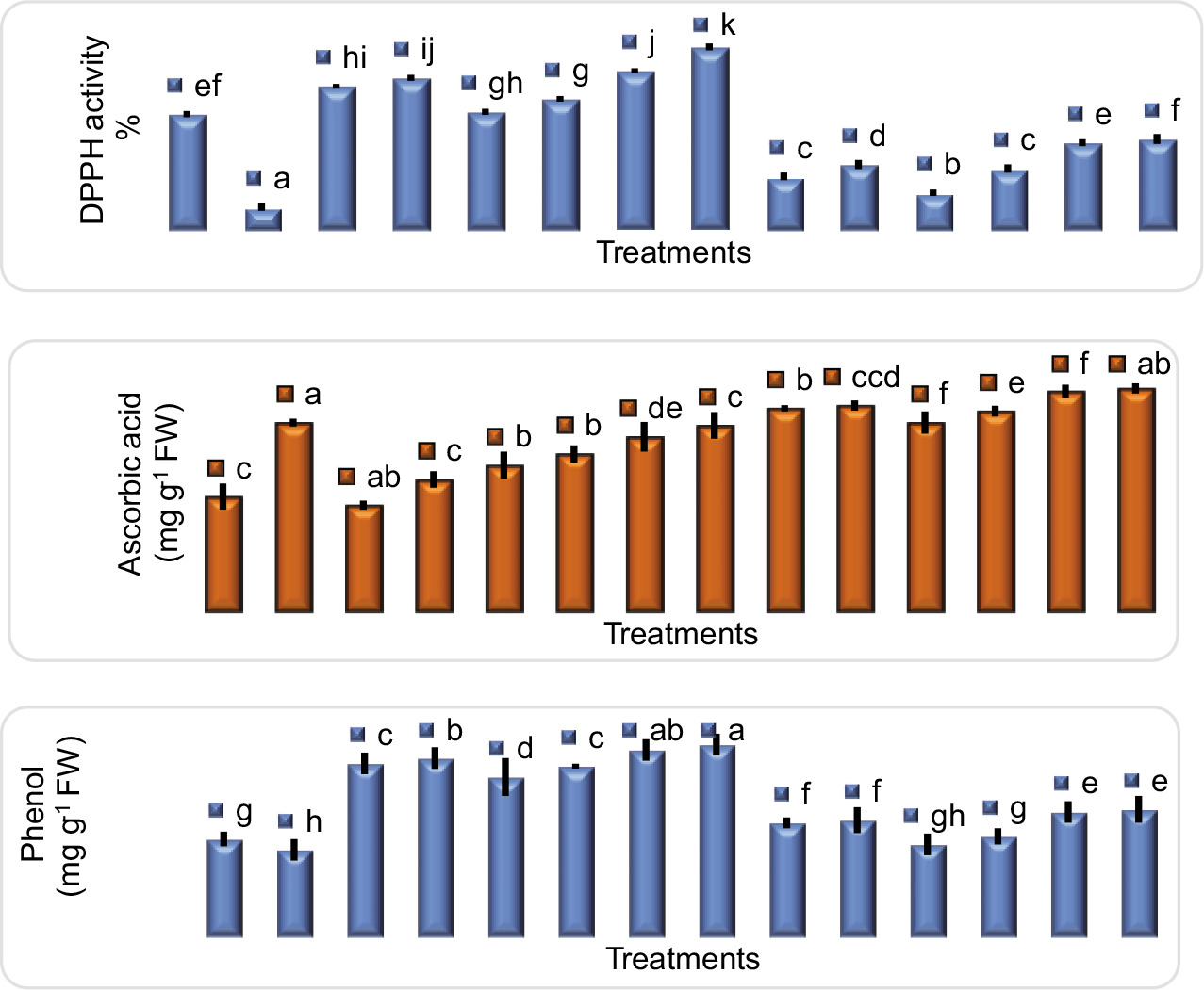
The application of TRI as a TRI-1 FS increased the activity of DPPH in R. sativus, 1.94% as compared to the control. Whereas, application of TRI as TRI 2 FS increased the DPPH activity by 13.16% as compared to the control. The application of TRI in combination resulted in maximum increase in DPPH activity, which was 58.07% with TRI-2 SP+FS and 37.53% with TRI-1 SP+FS. Chromium decreased the scavenging activity of DPPH. TRI was applied as a seed preparation because TRI-1 Sp Cr increased DPPH activity by 53.79%, compared to that of the control. Compared to the control, the combination of TRI-2 SP+Cr decreased the DPPH activity by 43.59%. TRI-2 SP+Cr demonstrated better results than TRI-1 SP+Cr. TRI 1 FS+Cr increased the DPPH activity by 47.02% as compared to the Cr affected plant. But application of TR1 2 FS+Cr increased the DPPH activity by 67.83% as compared to the Cr affected plant. TRI-2 SP+FS+Cr increased the DPPH activity by 24.66%, but the effect was less than that of TRI-2 SP+FS+Cr. TRI-2 SP+FS+Cr showed the greatest effect for improving the DPPH activity by 21.54%, compared to that of the Cr-treated plants (Figure 1).

Figure 1. Influence of triacontanol (TRI) on DPPH, ascorbic acid, and phenol of R. sativus L. under Cr stress conditions. Data demonstrate mean±SE of three replicates. Different letters above the bars indicate significant differences between treatments. Cr = 60-mg/kg chromium; TRI-1 SP =10-ppm TRI-primed seeds; TRI-2 SP = 20-ppm TRI-primed seeds; TRI-1 FS = 10-ppm TRI foliar sprayed; TRI-2 FS = 20-ppm TRI foliar sprayed; TRI-1 SP+FS = 10-ppm TRI combination of primed seeds and foliar sprayed; TRI-2 SP+FS = 20-ppm TRI combination of primed seeds and foliar sprayed.

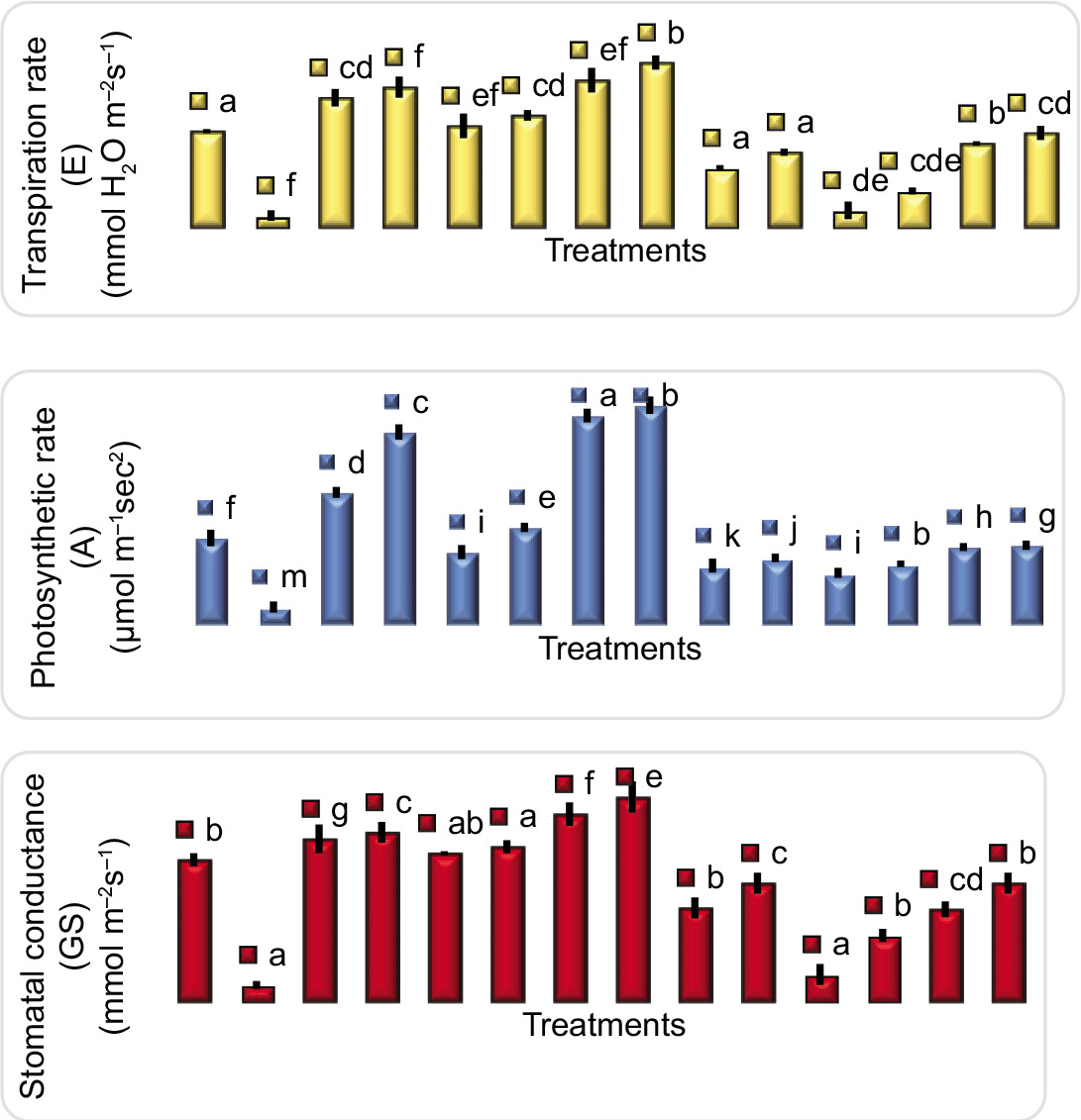
Evaluation of the gas exchange attribute

Gas exchange characteristics, such as photosynthetic rate (A), transpiration rate (E), and stomatal conductance (Gs), were measured using a gas exchange analyser. The transpiration rate, photosynthetic rate, and stomatal conductance of R. sativus plants vary with the mode of TRI application. Compared to the control, the Cr effect negatively affected transpiration (88.88%), photosynthetic rate (80.10%), and stomatal conductance (88.88%) (Figure 2). Triacontanol was applied as a foliar spray, as TRI-1 FS increased transpiration, the photosynthetic rate and stomatal conductance by 5.55%, 16.44%, and 4.62%, respectively, compared to control treatments. The application of TRI 1 SP+FS increased the photosynthetic rate 53%, transpiration rate 94% and stomatal conductance 33% in comparison to control. The application of TRI 1 SP+FS+Cr increased the photosynthetic rate 1.85%, transpiration rate 8.48% and stomatal conductance 16.66% in comparison to Cr affected plant.

Figure 2. Influence of triacontanol (TRI) on transpiration rate, photosynthetic rate and stomatal conductance of R. sativus under Cr stress conditions. Data demonstrate mean±SE of three replicates. Different letters above the bars indicate significant differences between treatments. Cr = 60-mg/kg chromium; TRI-1 SP = 10-ppm TRI-primed seeds; TRI-2 SP = 20-ppm TRI-primed seeds; TRI-1 FS = 10-ppm TRI foliar sprayed; TRI-2 FS = 20-ppm TRI foliar sprayed; TRI-1 SP+FS = 10-ppm TRI combination of primed seeds and foliar sprayed; TRI-2 SP+FS = 20-ppm TRI combination of primed seeds and foliar sprayed.

Determination of ascorbic acid

The ascorbic acid content increased with increasing Cr stress in R. Sativus; compared to the control, the ascorbic acid content in the plants under Cr stress reached a maximum value of 65%. Compared to the control, the application of TRI-1 SP increased ascorbic acid in normal plants by 7.5%, and the percentage of Cr-affected plants was 77.5%. Compared to the control, the application of TRI-2 SP increased ascorbic acid by 27.5%. Compared to the control, TRI-2 FS increased the ascorbic acid content by 37.5%. The application of TRI as TRI 1 SP+FS+Cr increased the ascorbic acid by 52.5% as compared to the Cr affected plant. However, in Cr-treated plants, increase in the concentration of ascorbic acid was 92.5%. The TRI-2 SP+FS+Cr mixture positively increased the content of ascorbic acid to alleviate plant stress. The application of TRI-1 SP+FS+Cr increased the ascorbic acid value by 62.5% compared to that of the control. TRI-2 SP+FS+Cr had the best ability to mitigate the effect of Cr (Figure 1).

Evaluation of total protein

The protein content of the leaves increased with increasing Cr stress. Under Cr stress, the protein content was 40.68% more than that in the control. Compared to that of the control, the protein content of the plants primed with TRI-1 SP increased by 32.35%, and that of the plants primed with TRI-2 SP increased by 36.27%. Compared to that of the Cr-treated plants, the protein content of TRI-1 SP-treated plants was 42.64%, and that of the TRI-2 SP-treated plants was 45.09%. TRI was also applied, as the maximum protein content of the foliar spray was 8.82% more in the TRI-2 FS treatment than in the control, and in the Cr treatment, the increase in protein content was 39.70% more in the TRI-2 FS treatment than in the Cr treatment (Figure 3). TRI was also applied in combination with TRI-1 SP+FS, and the increase in protein content was 38.72%, compared to that of the control. Compared to that of the control, the protein content of the TRI-2 SP+FS group was 40.19% better.

Figure 3. Influence of triacontanol (TRI) on protein content (proline content) of R. sativus under Cr stress conditions. Data demonstrate mean±SE of three replicates. Different letters above the bars indicate significant differences between treatments. Cr = 60-mg/kg chromium; TRI-1 SP = 10-ppm TRI-primed seeds; TRI-2 SP = 20-ppm TRI-primed seeds; TRI-1 FS = 10-ppm TRI foliar sprayed; TRI-2 FS = 20-ppm TRI foliar sprayed; TRI-1 SP+FS = 10-ppm TRI combination of primed seeds and foliar sprayed; TRI-2 SP+FS = 20-ppm TRI combination of primed seeds and foliar sprayed.

Estimation of total proline

The total proline content of R. sativus was determined. The proline contents of a normal plant and a plant affected by Cr were measured. Compared to that in the control plants, the proline content in the Cr-affected plants was 59.75% greater (Figure 3). Compared to the control, the application of TRI-1 FS increased the proline content by 4.8%, and the application of TRI-2 FS increased the proline content by 20.73%. Compared to TRI-2 SP+FS, the application of TRI in combination with TRI-1 SP+FS decreased the proline content by 54.78% (57.31%). Compared to that of the Cr-treated plants, the proline content of the Cr-treated plants increased by 67.07%. Compared to that of the Cr-affected plants, the proline content of the TRI-2 SP+Cr-treated plants was 80.48% better. Compared to Cr, TRI as a foliar spray increased the proline content by 60.97% in TRI-1 FS+Cr and 64.63% in TRI-2 FS+Cr. Compared to the Cr-affected plants, the application of the TRI combination TRI-1 SP+FS+Cr increased the proline content by 92.68%. The proline content of the plants in the TRI-2 SP+FS+Cr treatment was 97.56% more than that of the Cr-treated plants. TRI-2 SP+FS+Cr demonstrated better results than both seed priming and foliar spraying.

Estimation of phenol

The total phenolic content decreased with increasing Cr stress (Figure 4). Compared to that in the control plants, phenolic content in the Cr-treated plants was 11.11% lower. TRI was used for seed priming, as increase in the phenol content of TRI-1 SP was 77.77%, compared to that of the control. Compared to that of the control, the phenol content of foliar spray treated with TRI-1 FS was 63.88%, and that of foliar spray treated with TRI-2 FS was 75% (Figure 1). TRI was applied in combination, with the best result; increase in the phenol content was 91% when TRI-1 FS+Cr was applied, compared to that of the control. Compared to that of the TRI-2 SP+FS+Cr treatment, the phenol content of the plants subjected to TRI-1 SP+FS was 27.77% whereas that of the TRI-2 SP+FS+Cr treatment was 30.55%.

Figure 4. Principal component analysis of the impact of triacontanol (TRI) on growth and physio-biochemical analysis of R. sativus against Cr stress (numbers from 1 to 14 show treatments).

Detection of heavy metal uptake, accumulation factors, and metal-tolerance indices

The Cr uptake accumulation factor and the MTI of R. sativus were affected by the application of TRI (Table 5). Triacontanol has a positive impact and increases the capability of plants to survive under Cr stress conditions. Decrease in Cr uptake by TRI-1 SP was 49.69%, and the accumulation factor was 49.45%, compared to that of the plants affected by Cr. Increase in the MTI was 0.77%, compared to that of the Cr-affected plants. Triacontanol, as a TRI-2 SP, decreased Cr uptake by 56.96%, and the accumulation factor was 56.72%, compared to that of the plants affected by Cr. Compared to Cr, the application of TRI-2 SP improved the MTI by 14.71%. Compared to Cr application, foliar spraying resulted in the greatest increase in Cr uptake of plants, with a value of 46.06%, an accumulation factor of 66.72%, and a MTI of 13.95%. Maximum decrease in Cr uptake was found when TRI-2 SP+FS was applied. Compared to those of the Cr-affected plants, the Cr uptake of the TRI-2 SP+FS-treated plants decreased by 69.69%, the accumulation factor was 69.63% and increase in the MTI was 65.80%.

Table 5. Effect of triacontanol (TRI) on the Mg+2, Zn+, K+, and Na+ contents, chromium (Cr) uptake, accumulation factor, and metal tolerance index of R. sativus.

Treatments Mg+2 (mg/g) Zn+2 (mg/g) K+ (mg/g) Na+ (mg/g) Cr uptake in plant (mg/g) AC factor MTI (%)
Control 2.25±0.67a,b 2.37±0.09b 14.55±0.27b 28.85±0.98a,c - - -
Cr 1.85±0.08b 0.11±0.01f 10.32±0.22g,h 8.88±0.37a,c 1.65±0.99a 5.50±3.30a,b 56.53±0.45c
TRI-1 SP 7.38±0.22c,d 4.04±0.03b 18.19±0.20c 43.66±0.37a,c - - -
TRI-2 SP 7.96±0.08b,c 4.40±0.03a,b 19.57±0.08a 44.52±0.77b - - -
TRI-1 FS 6.55±0.20a,c 2.93±0.05a 14.51±0.06c 36.79±0.93a,b - - -
TRI-2 FS 7.30±0.08f 3.72±0.037b,c 15±0.21f 39.15±0.98g - - -
TRI-1 SP+FS 8.63±0.11g,h 4.56±0.035g,h 19.62±0.02f 55.04±1.3g - - -
TRI-1 SP+FS 9.19±0.14a,c 5.06±0.02a 20.20±0.12c 60.40±1.1a,b - - -
TRI-1 SP+Cr 5.17±0.06g 0.84±0.04b,c 13±0.07a 15.54±1.12f 0.83±0.27d,e 2.78±0.92b,c 56.97±0.48a,b
TRI-2 SP+Cr 5.36±0.02h 1.22±0.020g 13.38±0.11h 19.83±0.74a 0.71±0.25b 2.38±0.83e 64.85±0.60b
TRI-1 FS+Cr 4.15±0.03a,b 0.38±0.03a 11.75±0.07b,c 9.96±0.93c 0.99±0.38a,b 3.31±1.28d,e 44.34±0.99a,c
TRI-2 FS+Cr 4.67±0.04b,c 0.053±0.02g 12.29±0.07h 14.89±1.13f 0.89±0.40e 2.97±1.34a,b 48.64±0.87a,b
TRI-1 SP+FS+Cr 5.54±0.02b 1.57±0.08e 13.50±0.06a,c 23.26±0.93c,d 0.54±0.22b 1.83±0.73b 86.94±0.28a
TRI-2 SP+FS+Cr 5.65±0.03a,c 1.85±0.039a,b,c 14.12±0.21c 26.27±0.74d 0.50±0.13a 1.67±0.46a,c 93.73±1.54a,d

Data demonstrate mean±SE of three replicates. Significant difference between the treatments is denoted by superscripted letters. C = control, Cr = 60-mg/kg chromium, TRI-1 SP = 10-ppm TRI-primed seeds, TRI-2 SP = 20-ppm TRI-primed seeds, TRI-1 FS = 10-ppm TRI foliar sprayed, TRI-2 FS = 20-ppm TRI foliar sprayed, TRI-1 SP+FS = 10-ppm TRI-primed seeds and foliar sprayed, TRI-2 SP+FS = 20-ppm TRI-primed seeds and foliar sprayed.

Determination of mineral content

Chromium toxicity affects the mineral uptake of Mg+2, Zn+2, Na+, and K+ by R. sativus through the application of TRI in different modes of application, such as seed priming, foliar spraying, and combination (Table 5). Compared to the TRI-1 SP, the TRI-2 SP showed better results. Compared to the control, the TRI-2 SP had greater effects on Mg+2 (17.40%), Zn+2 (85.65%), Na+ (54.31%), and K+ (34.50%) contents than the effect of TRI-1 SP on Mg+2 (20.94), Zn+2 (48.52%), K+ (8.04%), and Na+ (31.26%) in the plants affected by Cr. TRI was also applied as a foliar spray, as the increase in the Mg+2 uptake of TRI-2 FS was 7.66%, that of Zn+2 was 56.96%, that of K+ was 3.09%, and that of Na+ was 35.70% more than that of the control. TRI-2 SP+FS+Cr had the greatest effect on increasing the mineral content in both normal and Cr-affected plants. However, in the Cr-treated plants, the contents of Mg+2, Zn+2, K+, and Na+ were higher (16.66%, 21.94%, 2.95%, and 8.94%, respectively) than those in the control. TRI-2 SP+FS+Cr showed maximum effect on the mineral content of the plant.

Principal component analysis (PCA)

R. sativus grown on Cr-contaminated soil with exogenously applied TRI was shown to be associated with growth parameters and physio-biochemical traits by loading plots from the analysis of principal components (Figure 4). A total of 90.8% of the entire database consisted of two primary components, Dim 1 and Dim 2, which made up the largest proportion of all the components. Dim 1 consisted of 79.2% whereas Dim 2 consisted of 11.6% of the whole dataset. The first set of variables, PC1, was positively correlated with Mg+2, Na+, Zn+2, fresh root weight, dry root weight, fresh shoot weight, dry shoot weight, photosynthetic rate, phenol content, stomatal conductance, carotenoids, DPPH free radical scavenging activity, total chlorophyll, transpiration rate, shoot length, root length, and number of leaves. Factors related to proline, protein, and ascorbic acid contents, MTI, and accumulation coefficient were strongly related negatively to PC1 variables.

Pearson’s correlation

Pearson’s correlation was used to determine relationships between the growth and physiochemical characteristics of R. sativus grown in Cr-contaminated soil with exogenously applied TRI (Figure 5). The Cr concentration in the shoot was positively correlated with the Cr accumulation coefficient in the shoot and the proline content in R. sativus plants. TRI-1 and TRI-2 application was negatively correlated with the Cr accumulation coefficient and positively correlated with proline content. On the other hand, Cr concentration in the shoot was negatively correlated with MTI; Mg+2, Na1, Zn+2 contents; dry weight of the root; phenol content; stomatal conductance; total chlorophyll; transpiration rate; dry weight of the shoot; photosynthetic rate; soluble protein content; fresh weight of the root; DPPH free radical scavenging activity; fresh weight of the shoot; root length; carotenoids; and number of leaves. The application of TRI was positively correlated with MTI; Mg+2, Na+, and Zn+2 contents; dry weight of the root; phenol content; stomatal conductance; total chlorophyll content; transpiration rate; dry weight; photosynthetic rate; protein content; fresh weight of the root; free radical scavenging activity DPPH; leaf area; fresh weight of the shoot; length of the root; carotenoids; and number of leaves. This relationship revealed a close relationship between growth and Cr uptake in R. sativus.

Figure 5. Pearson correlation of impact of triacontanol (TRI) on the growth and physio-biochemical analysis of R. sativus against Cr stress.

Discussion

A variety of environmental contaminants have grown exponentially with countless anthropogenic activities since the Industrial Revolution and the globalization of economy. Problems with food security have gained attention worldwide, especially given their close connection to human health (Pereira et al., 2019). Crops that are more nutritious and less susceptible to diseases, drought, soil salinity, and heavy metals are in high demand (Bulgari et al., 2019). Plants are frequently exposed to contaminated soil and water, which adversely affect their ability to grow. Heavy metals end up in edible plant parts and seriously harm the human health (Anjum et al., 2017). The present study explores the major responses of R. sativus to the vulnerability of Cr, which considerable reduces biomass (based on fresh and dry weights) and a large assemblage of Cr in seedlings. Ahmed et al. (2023) explained that it is difficult for plants to take essential nutrients in the Cr regime. Therefore, growth attributes (shoot length, root length, number of leaves, and leaf area) decrease due to decreased nutrient uptake. The reduced plant growth caused by Cr phytotoxicity is attributed to various factors, such as the breakdown of chlorophyll pigments, imbalanced nutrient uptake, excessive production of reactive oxygen species (ROS), damage to the cellular ultrastructure and disorganization of antioxidant defense machinery (Ahmad et al., 2020).

Triacontanol seed priming increased growth and germination percentage and improved fresh and dry biomass under Pb-amended and Pb-controlled conditions. Seeds pre-treated with TRI presented increased α-amylase activity, helping them to withstand heavy metal stress. In addition, this method improved seedling germination and growth by improving nitrate reductase activity, soluble sugar concentration, and nitrogen content. The use of seed priming increased grain yield and quality. Owing to creative ways of producing SOD, malondialdehyde (MDA), ascorbic acid, glutathione reductase, catalase, and specific protein release under stress, several vital components, particularly the antioxidant system, are enhanced (Chen and Arora, 2013). El-Beltagi et al. (2022) reported that TRI improved the quality of fruit under stressed conditions by increasing its contents of sugar and vitamin C as well as quantity of anthocyanin. TRI may increase plant height by producing an excess of 9-ß-l (+)-adenosine, which beneficially stimulates plant development (Ries, 1999). Through the disruption of enzymes involved in the metabolism of carbohydrates, TRI is shown to increase physiological and metabolic responses in plants (Singh et al. 2012). Perveen et al. (2014) reported that TRI increases plant metabolism, leading to increased growth under typical and variable environmental conditions. This maintains plant water–nutrient interactions along with the synthesis of organic molecules. Pre-germination metabolic processes, such as improved energy metabolism, early mobilization of seed stores, embryo cell growth, and endosperm disintegration, are triggered by seed priming. Higher germination rates are the result of these actions (Chen, 2011). An increase in the level of Cr competes with binding sites for a decrease in mineral uptake (Gupta et al., 2021).

Increased Cr accumulation pushes mineral nutrients away from their binding sites, limiting their absorption and resulting in a lower mineral content under Cr stress (Gupta et al. 2019). Reduced plant root growth and xylem blockage are associated with decreased K+ levels (Javed et al. 2021). Mg2+ is essential for the normal structure of the chloroplast and plays a role in the synthesis of chlorophyll (Hafeez et al. 2022). According to research conducted by Yan and Hou (2018), Mg2+ promotes the breakdown of adenosine triphosphate (ATP) or adenosine diphosphate (ADP), which produces phosphoric acid and energy. It also stimulates ATP production, ATPase (a class of enzymes that catalyze the decomposition of ATP into ADP and a free phosphate ion or the inverse reaction) activity, and phosphorylation (Chen et al. 2018). Poor Mg2+ absorption in tobacco roots and shoots under Cr stress resulted in a decrease in chlorophyll synthesis (Hayat et al. 2012). The production of second mediator (TRIM or TRI-mediated formation/release of l (+)-adenosine) when TRI is administered by seed priming or foliar application opens channels for Ca2+, Mg2+, and K+ ions in the plasma membrane, thus promoting their inflow (Islam et al., 2021). By upregulating genes, such as RbcS, psbO, glycine decarboxylase complex (GDC), and serine hydroxymethyl transferase (SHMT), that regulate photosynthetic processes and by promoting the synthesis of organic compounds and the activity of antioxidant enzymes for a variety of metabolic processes, TRI-induced TRIM improves water absorption and mineral nutrient-to-ion ratio (Chen et al. 2002).

Under abiotic stress, they produce more ROS in their chloroplasts, which may result in photorespiration, cyclic electron flow through photosystem I (PSI) or photosystem II (PSII), and reduced PSII quantum yield that is controlled by the xanthophyll cycle and proton gradient of the thylakoid membrane (Gill et al., 2016). Under Cr stress, chlorophyll biosynthetic enzyme is damaged, which could be the cause of decrease in chlorophyll content (Gill et al., 2016). Cr inhibits the enzyme involved in chlorophyll biosynthesis, that is, δ-aminolevulinic acid dehydratase (ALAD), because of the difficulty in utilizing δ-aminolevulinic acid (Chandra and Kulshreshtha, 2004). One of the primary effects of the application of TRI is an increase in chlorophyll content, even under challenging circumstances, such as high salinity (Perveen et al., 2012). In the present study, TRI treatment increased the photosynthetic rate and pigment production. It decreased the rate at which chlorophyll was broken down (Sardar et al., 2022). According to Alharbi et al. (2021), increasing the size and quantity of chloroplasts after TRI treatment improved the photosynthetic rate in addition to production of chlorophyll. Triacontanol, which has a relatively high carotenoid content, acts as an antioxidant and reduces oxidative stress. Increase in carotenoid content may decrease Cr-induced oxidative damage (Zaid et al., 2020). According to Alharbi et al. (2021), TRI preserves the genes encoding aquaporins (water channel), osmolyte synthesis, transpiration rate, and stomatal movement in stressed plants, all of which contribute to increased stomatal conductance.

In the current study, the plant protein concentration was decreased by Cr phytotoxicity. The accumulation of Cr in the plant, which results in the breakdown of soluble proteins in the cell, is the reason for this decrease in protein concentration. The seed primer and foliar application of TRI resulted in greater amounts of protein for cell integrity and better resistance to metal stress.

One of the most interesting and promising types of antioxidants are phenols. Phenols can chelate metal ions, which decrease the negative effects of redox-metal ions (Sahreen et al., 2011). The secondary function of phenols is to halt the chain reaction involving free radicals, thereby preventing the generation of ROS (Shah and Smith 2020). As previously demonstrated in Pasivum sativum (Umar et al., 2023), TRI supplementation in the present study enhanced non-enzymatic (phenolic compounds) antioxidants under Cr stress, although plants afforded TRI did not use as many intricate antioxidant systems because such an antioxidant defense mechanism was sufficient to reduce H2O2 levels and counteract the detrimental effects of metal stress, as observed in plants that were exposed to metal stress (Keramat et al., 2017). The improved development of R. sativus in this study may be associated with the TRI-mediated reduction in oxidative stress, most likely by reducing H2O2.

Enzymatic and non-enzymatic antioxidants make up plant antioxidant defense systems, which play important roles in a variety of biological processes and responses to environmental factors (Naveed et al., 2025; Xu et al., 2012). According to Saad et al. (2018), this detoxification system lessened the harmful effects of metal toxicity caused by the ROS ameliorative system. The constant production of ROS during photosynthesis is scavenged by different antioxidant enzymes, which aid in controlling electron transport (Gill and Tuteja, 2010). In plants, proline, phenol, and ascorbic acid are primarily involved in non-enzymatic detoxification processes. H2O2 is produced from O•- through the process of detoxification. According to the study findings, proline, phenol, and ascorbic acid activities increased with administration of Cr. Triacontanol affects antioxidant enzymes that aid in the scavenging of reactive oxygen, which increases photosynthetic activity and preserves redox state. Triacontanol modulates antioxidant enzymes that aid in the elimination of ROS, which increases photosynthetic activity and preserves the redox state. Similar to our current findings, Yadav and Singh (2023) reported a modest increase in phenolic content after exogenous supplementation with phytohormones. Antioxidants called phenols are able to bind metal ions and lessen their harmful effects (Ahmed et al., 2023). Consequently, the higher DPPH activity and phenolic content of the TRI-treated R. sativus seedlings increased their antioxidant capacity, thereby alleviating Cr toxicity and promoting development.

Conclusion

The results of the present study revealed the effects of TRI on reducing Cr stress in R. sativus L. Two concentrations of TRI, 10 ppm and 20 ppm, were used. Different modes of TRI applications were used, and the best results were obtained with the combination of seed priming and foliar spraying. The effective concentration of TRI was 20 ppm. Triacontanol increases the growth and biomass of plants that are affected by Cr. The application of TRI improved gas exchange parameters, photosynthetic pigments, and DPPH activity of plants. The increase in protein and proline contents associated with heavy metal stress decreased in response to the combination of seed priming and foliar spraying. Seed priming was more effective than foliar spraying in compensating the effects of Cr. TRI helped radish to grow in challenging environments. Additional field and omics research into the use of TRI is needed to better understand the Cr stress alleviation mechanism in plants.

Authors Contributions

Conceptualization, S.A.; Methodology: I.R.; Validation, R.S.; Formal analysis, M.N.A.; Investigation, T.A.; Resources, L.L.; Data curation, J.M.A.; Writing—original draft preparation, A.S.; writing—review and editing, F.A-A.; visualization, F.A.A.J.; supervision, S.A. and L.L.; Project administration, S.A.; Funding acquisition, L.L.

Conflict of Interest

The authors declare no conflict of Interest.

Funding

The authors express their gratitude to Princess Nourah bint Abdulrahman University Researchers Supporting Project number (PNURSP2025R31), Princess Nourah bint Abdulrahman University, Riyadh, Saudi Arabia. The authors also thank the Deanship of Scientific Research (DSR) at King Faisal University under project no. [KFU250798].

REFERENCES

Abbassi M, Khan I, Rehman A, Rahman MU, Hayat A, Shah TA, Khan AA, Haq TU, Aziz T, Alharbi M, Alasmari AF, Albekairi HT. (2024). Bioremediation of Heavy Metals contaminated Soil by using Indigenous Metallotolerant Bacterial Isolates. Appl Ecol Environ Res. 22(2):1623–1648. 10.15666/aeer/2202_16231648

Ahmad R., Ali S., Rizwan M., Dawood M., Farid M., Hussain A., Wijaya L., Alyemeni M.N., and Ahmad, P. 2020. Hydrogen sulfide alleviates chromium stress on cauliflower by restricting its uptake and enhancing antioxidative system. Physiol Plant. 168(2):289–300. 10.1111/ppl.13001

Ahmed S., Amjad M., Sardar R., Siddiqui M.H., and Irfan M. 2023. Seed priming with triacontanol alleviates lead stress in Phaseolus vulgaris L. (Common Bean) through improving nutritional orchestration and morpho-physiological characteristics. Plants. 12(8):1672. 10.3390/plants12081672

Akram BM, Khan I, Rahman MU, Sarwar A, Ullah N, Rahman SR, Aziz T, Alharbi M, Alshammari A. (2023). Mycoremediation of Heavy Metals Contaminated Soil by Using Indigenous Metallotolerant Fungi. Polish J Chem Tech. 25(3), 1-13. 10.2478/pjct-2023-0019

Al-Farraj A.S., Al-Otabi T.G., and Al-Wabel, M.I. 2009. Accumulation coefficient and translocation factor of heavy metals through Ochradenus baccatus plant grown on mining area at Mahad AD’Dahab, Saudi Arabia. WIT Trans Ecol Environ. 122:459–468. 10.2495/ECO090421

Alharbi B.M., Abdulmajeed A.M., and Hassan H., 2021. Biochemical and molecular effects induced by triacontanol in acquired tolerance of rice to drought stress. Genes. 12(8):1119. 10.3390/genes12081119

Anjum S.A., Ashraf U., Khan I., Tanveer M., Shahid M., Shakoor A., and Wang L. 2017. Phyto-toxicity of chromium in maize: oxidative damage, osmolyte accumulation, anti-oxidative defense and chromium uptake. Pedosphere. 27(2):262–273. 10.1016/S1002-0160(17)60315-1

Arnon D.I. 1949. Copper enzymes in isolated chloroplasts. Polyphenoloxidase in Beta vulgaris. Plant Physiol. 24(1):1. 10.1104/pp.24.1.1

Bates L.S., Waldren R.A., and Teare I.D. 1973. Rapid determination of free proline for water-stress studies. Plant Soil. 39:205–207. 10.1007/BF00018060

Bulgari R., Franzoni G., and Ferrante A. 2019. Biostimulants application in horticultural crops under abiotic stress conditions. Agronomy. 9(6):306. 10.3390/agronomy9060306

Chandra P., and Kulshreshtha K. 2004. Chromium accumulation and toxicity in aquatic vascular plants. Bot Rev. 70(3):313–327. 10.1663/0006-8101(2004)070[0313:CAATIA]2.0.CO;2

Chen K. 2011. Antioxidants and Dehydrin Metabolism Associated with Osmopriming Enhanced Stress Tolerance of Germinating Spinach (Spinacia oleracea L. cv. Bloomsdale) Seeds. Graduate Dissertations 10471, Iowa State University, Iowa.

Chen K., and Arora R. 2013. Priming memory invokes seed stress-tolerance. Environ Exp Bot. 94:33–45. 10.1016/j.envexpbot.2012.03.005

Chen I.N., Chang C.C., Ng C.C., Wang C.Y., Shyu Y.T., and Chang T.L. 2008. Antioxidant and antimicrobial activity of Zingiberaceae plants in Taiwan. Plant Foods Hum Nutr. 63:15–20. 10.1007/s11130-007-0063-7

Chen Z.C, Peng W.T., Li J., Liao H. 2018. Functional dissection and transport mechanism of magnesium in plants. Semin Cell Dev Biol. 74:142–152. 10.1016/j.semcdb.2017.08.005

Chen, X., Yuan, H., Chen, R., Zhu, L., Du, B., Weng, Q., and He, G. 2002. Isolation and characterization of triacontanol-regulated genes in rice (Oryza sativa L.): possible role of triacontanol as a plant growth stimulator. Plant and Cell Physiology, 43(8), 869–876.

Da Conceicao Gomes M.A., Hauser-Davis R.A., Suzuki M.S., and Vitoria A.P. 2017. Plant chromium uptake and transport, physiological effects and recent advances in molecular investigations. Ecotoxicol Environ Saf. 140:55–64. 10.1016/j.ecoenv.2017.01.042

Dar, M.A., Kaushik, G., and Villarreal-Chiu, J.F. 2019. Pollution status and bioremediation of chlorpyrifos in environmental matrices by the application of bacterial communities: A review. Journal of environmental management, 239, 124–136.

Digruber T., Sass L., Cseri A., Paul K., Nagy A.V., Remenyik J., Molnar I., Vass I., Toldi O., Gyuricza C., and Dudits D. 2018. Stimulation of energy willow biomass with triacontanol and seaweed extract. Ind Crops Prod. 120:104–112. 10.1016/j.indcrop.2018.04.047

Fariduddin Q., Zaid A., and Mohammad F. 2019. Plant growth regulators and salt stress: mechanism of tolerance trade-off. Salt Stress Microbes Plant Interact Causes Sol. 1:91–111. 10.1007/978-981-13-8801-9_4

Gill S.S., and Tuteja N., 2010. Reactive oxygen species and antioxidant machinery in abiotic stress tolerance in crop plants. Plant Physiol Biochem. 48(12):909–930. 10.1016/j.plaphy.2010.08.016

Gill R.A., Zhang N., Ali B., Farooq M.A., Xu J., Gill M.B., Moa B., and Zhou W. 2016. Role of exogenous salicylic acid in regulating physio-morphic and molecular changes under chromium toxicity in black-and yellow-seeded Brassica napus L. Environ Sci Pollut Res (ESPR). 23:20483–20496. 10.1007/s11356-016-7167-2

Gupta P., Kumar V., Usmani Z., Rani R., Chandra A., and Gupta V.K. 2019. A comparative evaluation towards the potential of Klebsiella sp., and Enterobacter sp. in plant growth promotion, oxidative stress tolerance and chromium uptake in Helianthus annuus (L.). J Hazard Mate. 377:391–398. 10.1016/j.jhazmat.2019.05.054

Gupta, S., and Seth, C. S. (2021). Salicylic acid alleviates chromium (VI) toxicity by restricting its uptake, improving photosynthesis and augmenting antioxidant defense in Solanum lycopersicum L. Physiology and Molecular Biology of Plants, 27, 2651–2664.

Hafeez A., Rasheed R., Ashraf M.A., Rizwan M., and Ali S. 2022. Effects of exogenous taurine on growth, photosynthesis, oxidative stress, antioxidant enzymes and nutrient accumulation by Trifolium alexandrinum plants under manganese stress. Chemosphere. 308:136523. 10.1016/j.chemosphere.2022.136523

Hayat S., Khalique G., Irfan M., Wani A.S., Tripathi B.N., Ahmad A. 2012. Physiological changes induced by chromium stress in plants: an overview. Protoplasma. 249:599–611. 10.1007/s00709-011-0331-0

Hussain A., Ali S., Rizwan M., Zia ur Rehman M., Hameed A., Hafeez F., Alamri S.A., Alyemeni M.N., and Wijaya L. 2018. Role of zinc–lysine on growth and chromium uptake in rice plants under Cr stress. J Plant Growth Regul. 37:1413–1422. 10.1007/s00344-018-9831-x

IARC Working Group on the Evaluation of Carcinogenic Risks to Humans, World Health Organization, & International Agency for Research on Cancer. (2004). Some drinking-water disinfectants and contaminants, including arsenic (Vol. 84). Iarc.

Islam S., Zaid A., and Mohammad F. 2021. Role of triacontanol in counteracting the ill effects of salinity in plants: a review. J Plant Growth Regul. 40:1–10. 10.1007/s00344-020-10064-w

Jaafar N.A., Ahmed A.S., and Al-Sandooq D.L. 2000. Detection of active compounds in Radish (Raphanus sativus L.) and their various biological effects. Plant Arch. 20:1647–1650.

Javed M.T., Tanwir K., Abbas S., Saleem M.H., Iqbal R., and Chaudhary H.J. 2021. Chromium retention potential of two contrasting Solanum lycopersicum Mill. cultivars as deciphered by altered pH dynamics, growth, and organic acid exudation under Cr stress. Environ Sci Pollut Res. 28:27542–27554. 10.1007/s11356-020-12269-8

Karam E.A., Keramat B., Asrar Z., and Mozafari H. 2017. Triacontanol-induced changes in growth, oxidative defense system in Coriander (Coriandrum sativum) under arsenic toxicity. Indian J Plant Physiol. 21:137–142. 10.1007/s40502-016-0213-8

Kaur G., and Bhatia S. 2021. Characterization of radish leaf protein concentrates for biochemical, functional properties, antioxidant activity, mineral content and microbial stability. Int J Agricul Sci. 17(2):185–193. 10.15740/HAS/IJAS/17.2/185-193

Keller T., and Schwager H. 1977. Air pollution and ascorbic acid. Eur J Forest Pathol. 7(6):338–350. 10.1111/j.1439-0329.1977.tb00603.x

Keramat B., Sorbo S., Maresca V., Asrar Z., Mozafari H., and Basile A. 2017. Interaction of triacontanol and arsenic on the ascorbate-glutathione cycle and their effects on the ultrastructure in Coriandrum sativum L. Environ Exp Bot. 141:161–169. 10.1016/j.envexpbot.2017.07.012

Krishnan R.R., and Kumari B.D. 2008. Effect of N-triacontanol on the growth of salt stressed soybean plants. J Biosci. 19(2):53–62.

Moseley, G., and Jones, J.R. 1984. The physical digestion of perennial ryegrass (Lolium perenne) and white clover (Trifolium repens) in the foregut of sheep. Br J Nutr. 52(2):381–390. 10.1079/BJN19840104

Muszyńska E., and Labudda M. 2019. Dual role of metallic trace elements in stress biology—from negative to beneficial impact on plants. Int J Mol Sci. 20(13):17–31. 10.3390/ijms20133117

Naveed, M., Khatoon, K., Aziz, T. Naveed R, Majeed MN, Maida SD, Javed T, Khan AA, A lasmari AF. (2025). Scrutinizing the evidence of anthracene toxicity on adrenergic receptor beta-2 and its bioremediation by fungal manganese peroxidase via in silico approaches. Sci Rep 15, 3795. 10.1038/s41598-025-85889-0

Naveed, M., Naveed, R., Aziz, T. Iqbal F, Hassan A, Saleem A, Waseem M, Rahman SR, Alharbi M, Alshammari A, Alasmari AF. (2024). Exploring the potential application of peroxidase enzyme from Acinetobacter baumannii as an eco-friendly agent for the bioremediation of the highly noxious pyrethroid compounds through molecular docking analysis. Biomass Conv. Bioref. 15, 155–173. 10.1007/s13399-023-05160-2

Naveed M, Shabbir MA, Aziz T, Saleem A, Naveed R, Khan AA, Ul Haq T, Alharbi M, Alshammari A, Alasmari AF. (2023). In silico explorations of bacterial mercuric reductase as an ecofriendly bioremediator for noxious mercuric intoxications. Acta Biochim Pol. 70(3):661-669. 10.18388/abp.2020_6838.

Nikolaou K.E., Chatzistathis T., Theocharis S., Argiriou A., Koundouras S., and Zioziou E. 2022. Effects of chromium toxicity on physiological performance and nutrient uptake in two grapevine cultivars (Vitis vinifera L.) growing on own roots or grafted onto different rootstocks. Horticulturae. 8(6):493. 10.3390/horticulturae8060493

Park C.H., Baskar T.B., Park S.Y., Kim S.J., Valan Arasu M., Al-Dhabi N.A., ..., and Park S.U. 2016. Metabolic profiling and antioxidant assay of metabolites from three radish cultivars (Raphanus sativus). Molecules. 21(2):157. 10.3390/molecules21020157

Pereira A.D.E.S., Oliveira H.C., and Fraceto L.F. 2019. Polymeric nanoparticles as an alternative for application of gibberellic acid in sustainable agriculture: a field study. Sci Rep. 9(1):1–10. 10.1038/s41598-019-43494-y

Perveen S., Shahbaz M., and Ashraf M. 2012. Is pre-sowing seed treatment with triacontanol effective in improving some physiological and biochemical attributes of wheat (Triticum aestivum L.) under salt stress? J App Bot Food Qual. 85(1):41.

Perveen S., Shahbaz M., and Ashraf M. 2014. Triacontanol-induced changes in growth, yield, leaf water relations, oxidative defence system, minerals, and some key osmoprotectants in Triticum aestivum under saline conditions. Turk J Bot. 38(5):896–913. 10.3906/bot-1401-19

Peterson G.L. 1977. Modified Lowry procedure for protein determination. Anal Biochem. 83:346–356. 10.1016/0003-2697(77)90043-4

Ries S. 1991. Triacontanol and its second messenger 9-β-L (+)-adenosine as plant growth substances. Plant Physiol. 95(4):986–989. 10.1104/pp.95.4.986

Rosa M., Prado C., Chocobar-Ponce S., Pagano E., and Prado F. 2017. Effect of seasonality and Cr (VI) on starch-sucrose partitioning and related enzymes in floating leaves of Salvinia minima. Plant Physiol Biochem. 118:1–10. 10.1016/j.plaphy.2017.05.014

Saad R.B., Hsouna A.B., Saibi W., Hamed K.B., Brini F., and Ghneim-Herrera T. 2018. A stress-associated protein, LmSAP, from the halophyte Lobularia maritima provides tolerance to heavy metals in tobacco through increased ROS scavenging and metal detoxification processes. J Plant Physiol. 231:234–243. 10.1016/j.jplph.2018.09.019

Sagner S., Kneer R., Wanner G., Cosson J.P., Deus-Neumann B., and Zenk M.H. 1998. Hyperaccumulation, complexation and distribution of nickel in Sebertia acuminata. Phytochemistry. 47(3):339–347. 10.1016/S0031-9422(97)00593-1

Sahreen S., Khan M.R., and Khan R.A. 2011. Phenolic compounds and antioxidant activities of Rumex hastatus D. Don. leaves. J Med Plants Res. 5(13):2755–2765.

Sardar R., Zulfiqar A., Ahmed S., Shah A.A., Iqbal R.K., Hussain S., ... & Datta R. 2022. Proteomic changes in various plant tissues associated with chromium stress in sunflower. Saudi J Bio Sci. 29(4):2604–2612. 10.1016/j.sjbs.2021.12.042

Shah, A., and Smith D.L. 2020. Flavonoids in agriculture: chemistry and roles in biotic and abiotic stress responses, and microbial associations. Agronomy. 10(8):1209. 10.3390/agronomy10081209

Shahid M., Shamshad S., Rafiq M., Khalid S., Bibi I., Niazi N.K., Durmat C., and Rashid M.I. 2017. Chromium speciation, bioavailability, uptake, toxicity and detoxification in soil-plant system: a review. Chemosphere. 178:513–533. 10.1016/j.chemosphere.2017.03.074

Shehata H.S., and Galal T.M. 2020. Trace metal concentration in planted cucumber (Cucumis sativus L.) from contaminated soils and its associated health risks. J Consum Prot Food Saf. 15:205–217. 10.1007/s00003-020-01284-z

Singh M., Khan M.M.A., Moinuddin and Naeem M. 2012. Augmentation of nutraceuticals, productivity and quality of ginger (Zingiber officinale Rosc.) through triacontanol application. Plant Biosyst Int J Dealing Aspects Plant Bio. 146(1):106–113. 10.1080/11263504.2011.575891

Soliman A.S., and Shanan N.T. 2017. The role of natural exogenous foliar applications in alleviating salinity stress in Lagerstroemia indica L. seedlings. J Appl Horticul. 19:35–45. 10.37855/jah.2017.v19i01.06

Umar, A., Sarkingobir, Y., Gobir, S. S., Aliyu, S., Tambari, U., and Hamza, A. 2023. Evaluation of some heavy metals contents in soil and tobacco grown in Sokoto, Nigeria. Kaunia: Integration and Interconnection Islam and Science Journal. 19(1), 9–14.

Vasylieva N. 2018. Ukrainian agricultural contribution to the world food security: economic problems and prospects. Montenegrin J Econ. 14(4):215–224. 10.14254/1800-5845/2018.14-4.15

Wakeel, A., Ali, I., Wu, M., Raza Khan, A., Jan, M., Ali, A., Liu, Y., Ge, S., Wu, J., Liu, B., et al. 2019. Ethylene mediates dichromate-induced oxidative stress and regulation of the enzymatic antioxidant system-related transcriptome in Arabidopsis thaliana. Environ Exp Bot. 161:166–179. 10.1016/j.envexpbot.2018.09.004

Xu J., Zhu Y., Ge Q., Li Y., Sun J., Zhang Y., and Liu X., 2012. Comparative physiological responses of Solanum nigrum and Solanum torvum to cadmium stress. New Phytol. 196 (1):125–138. 10.1111/j.1469-8137.2012.04236.x

Yadav, A., and Singh, S. 2023. Effect of exogenous phytohormone treatment on antioxidant activity, enzyme activity and phenolic content in wheat sprouts and identification of metabolites of control and treated samples by UHPLC-MS analysis. Food Research International. 169:112811.

Yan B., and Hou Y. 2018. Effect of soil magnesium on plants: a review. IOP Conf Ser Earth Environ Sci. 170:22168. 10.1088/1755-1315/170/2/022168

Zaheer I.E., Ali S., Saleem M.H., Noor I., El-Esawi M.A., Hayat K., Rizwan M., Abbas Z., EI-Sheikh M.A., Alyemeni M.N., and Wijaya L. 2020. Iron–lysine mediated alleviation of chromium toxicity in spinach (Spinacia oleracea L.) plants in relation to morpho-physiological traits and iron uptake when irrigated with tannery wastewater. Sustainability. 12(16):66–90. 10.3390/su12166690

Zaid A., Asgher M., Wani I.A., and Wani S.H., 2020. Role of triacontanol in overcoming environmental stresses. In Fahad S, Saud S, Chen Y, Wu C, Wang D (eds.), Protective Chemical Agents in the Amelioration of Plant Abiotic Stress Chap. 25, IntechOpen, pp. 491–509. 10.1002/9781119552154.ch25

Zameer M, Tahir U, Khalid S, Zahra N, Sarwar A, Aziz T, Saidal A, Alhomrani M, S Alamri A, Dablool AS, Sameeh MY, Mohamed AA, Alharbi A. (2023). Isolation and characterization of indigenous bacterial assemblage for biodegradation of persistent herbicides in the soil. Acta Biochim Pol. 70(2):325-334. 10.18388/abp.2020_6563

Zieslin N., and Ben-Zaken R. 1993. Peroxidase activity and presence of phenolic substances in peduncles of rose flowers. Plant Physiol Biochem (Paris). 31(3):333–339.