Download

PAPER

Quantitative determination of iodine content in iodized table salt marketed in Jordan as an indicator of compliance with national salt iodization standards: A cross-sectional study

Mahmoud Abughoush1,2*, Amin N. Olaimat1, Murad Al-Holy1, Narmeen Jamal Al-Awwad1, Sam Al-Dalali3,4, Huda Al-Hourani1, Lamees Daseh1, Bushra Abazeed1, Maher Al-Dabbas2,5, Balkees Abuawad2, Laith Abu-Ghoush6, Ayoub Al-Jawaldeh7

1Department of Clinical Nutrition and Dietetics, Faculty of Applied Medical Sciences, The Hashemite University, Zarqa, Jordan;

2Science of Nutrition and Dietetics Program, College of Pharmacy, Al Ain University, Abu Dhabi, United Arab Emirates;

3School of Food and Health, Guilin Tourism University, Guilin, China;

4Department of Food Science and Technology, Faculty of Agriculture and Food Science, Ibb University, Ibb, Yemen;

5Department of Nutrition and Food Technology-Faculty of Agriculture, The University of Jordan, Amman, 11942, Jordan;

6Jordanian Royal Medical Services (JRMS), Amman, Jordan;

7Regional Office for the Eastern Mediterranean, World Health Organization, Cairo, Egypt

Abstract

Iodine deficiency (ID) is a significant global public health issue, particularly affecting low-income countries. The iodization of salt is a widely adopted method to prevent iodine deficiency. This study aimed to assess the iodine content of iodized salt at the market level in various cities within the Hashemite Kingdom of Jordan (HKJ). We collected 152 salt samples from 24 different brands across three cities in Jordan: Amman, Zarqa, and Mafraq. The analysis was conducted using a titration method. The mean iodine content in salt samples varied by city, with values of 5.45 ppm in Mafraq, 10.33 ppm in Amman, and 13.22 ppm in Zarqa, ranging from 0 to 36 ppm. Significant differences in iodine concentration were observed within the same city across different brands (P ≤ 0.05). Additionally, variations were noted in iodine content for samples from the same brand collected in different cities, and even among samples from the same brand at the same location. Of the 152 samples evaluated, an average of 76.5% had iodine levels below the 15 ppm recommended by UNICEF. There was considerable variation in mean iodine content among brands, cities, and even within samples of the same brand. This indicates that the salt iodization process requires ongoing monitoring, and the government should enhance efforts to oversee the iodization process and improve the accessibility and utilization of iodized salt.

Key words: iodine content, iodization process, Jordan, salt

*Corresponding Author: Mahmoud Abughoush, Science of Nutrition and Dietetics Program, College of Pharmacy, Al Ain University, Abu Dhabi, United Arab Emirates. Email: [email protected]

Received: 18 April 2024; Accepted: 19 August 2024; Published: 24 September 2024

DOI: 10.15586/ijfs.v36i4.2596

© 2024 Codon Publications
This is an Open Access article distributed under the terms of the Creative Commons Attribution-NonCommercial-ShareAlike 4.0 International (CC BY-NC-SA 4.0). License (http://creativecommons.org/licenses/by-nc-sa/4.0/)

Introduction

The salt iodization process has been extensively studied and widely implemented as a public health measure. Iodine deficiency can lead to hypothyroidism and various other health disorders. Salt iodization involves incorporating trace amounts of iodine into salt to ensure adequate iodine intake in the diet. This method is both cost-effective and scalable, allowing it to reach large populations through existing distribution networks. Recognized as one of the most successful public health interventions of the 20th century, salt iodization has significantly reduced the prevalence of iodine deficiency disorders in many countries (World Health Organization, 2023).

WHO (1994) and UNICEF recommend that all salt for human consumption should be fortified with iodine at levels ranging from 15 to 40 mg iodine/kg of salt. However, despite the proven benefits of salt iodization, many countries still lack mandatory salt iodization policies, or the existing policies are not properly enforced. This can result in unnecessary suffering and lost productivity due to preventable iodine deficiency disorders.

Several studies have shown that iodization of salt can significantly reduce the prevalence of iodine deficiency in populations. A systematic review and meta-analysis of 1116 studies found that salt iodization significantly reduced the prevalence of goiter, cretinism, and hypothyroidism in Ethiopia (Kabthymer et al., 2021). Additionally, a study conducted in Tanzania found that iodization of salt reduced the prevalence of goiter from 43.3% to 5.5% in just 3 years (Assey et al., 2009). Another study conducted in India found that salt iodization significantly improved iodine status among pregnant women (Kant et al., 2017). Furthermore, several studies conducted in Ethiopia indicated that inadequate iodization of salt was a major factor contributing to high rates of iodine deficiency (Hiso and Roba, 2019; Desta et al., 2019).

Many other studies have found a relationship between low iodine consumption and various diseases. Bath et al. (2013) concluded in the UK that there was a strong correlation between iodine status in pregnant women and cognitive functions in their children. Additionally, iodine deficiency (ID) during pregnancy can lead to spontaneous abortion, stillbirth, and other adverse effects (WHO, 2007; Glinoer, 2004; WHO, 2022). Moreover, improvements in cognitive development due to adequate iodine intake could reduce economic losses by nearly US$33 billion (Gorstein et al., 2020).

To our knowledge, no previous research has accurately measured iodine levels in various brands of salt in Jordan. The aim of this study was to estimate the iodization levels of salt available in three different cities in Jordan and to determine the steps necessary to address iodine deficiency. Additionally, the study sought to monitor variations in iodine concentrations among different types of salt consumed in Jordan. This will help assess the efficacy of salt iodization in Jordan and its compliance with the World Health Organization’s global health standards.

Materials and Methods

Sample collections

This study employed a cross-sectional design involving 24 different brands, with a total of 152 salt samples systematically collected from November to December 2022 across three cities in Jordan: Amman (51 samples), Zarqa (51 samples), and Mafraq (50 samples). Iodized salt samples weighing between 500 and 1000 g were purchased, packed in sealed plastic bags or cartons, and labeled with stickers for identification. Information for each sample, including the sampling date, company, whether local or imported, country of origin, city, weight, and batch number, was recorded. Salt samples were obtained from major shops in each city and included all available brands. At least three samples were purchased from each brand. The samples were selected to have been produced within three months of the purchase date according to the production date. Each brand collected from different cities was produced by the same manufacturer. Each salt sample was visually inspected for impurities. Samples from each brand and city were taken from a single batch. To address potential issues with different companies, different codes were assigned to the samples instead of using the original brand names. The collected samples were stored under ambient conditions until further analysis.

Quantitative determination of salt

An iodometric titration method was used to analyze the iodine content of the salt samples (AOAC, 1984) at the Clinical Nutrition and Dietetics Department labs, The Hashemite University. A 10 g sample of salt was dissolved in distilled water and made up to a 50 ml solution. Then, 1 ml of 2N sulfuric acid and 5 ml of 10% potassium iodide were added. The liberated iodine was titrated with a sodium thiosulfate solution, using 1 ml of 1% starch indicator near the end of the titration. The level of thiosulfate in the burette was recorded.

Calculation mg/kg (ppm) iodine = titration volume in mL × 21.15 × Normality of sodium thiosulfate × 1000 / Salt sample weight in g

Statistical analysis

The data were analyzed using analysis of variance (ANOVA) with a random complete design, employing SAS software (version 6.12, SAS Institute, Cary, NC). Differences among treatments were determined using Duncan’s New Multiple Range Test and Tukey’s test. A significance level of 5% was used to ascertain the presence of significant differences among the results. The experiments were conducted in duplicate at a minimum.

Results

Comparison of the iodine concentrations for different salt brands in 3 different cities in Jordan

Figure 1 clearly shows statistically significant variations (P ≤ 0.05) in iodine levels across different salt brands in several cities.

Figure 1. Iodine concentration (mg/kg (ppm)) in different salt brands in three different cities in Jordan (Amman, Mafraq, and Zarqa).

The B/ coarse Himalayan salt sourced from Zarqa exhibited the highest iodine concentration among the various brands available in different cities, while the lowest iodine levels were found in the B/ sea salt, D, and C brands across all cities. Significant differences in iodine concentrations were observed both within the same city and between different cities, as seen with the B/ coarse salt, B/ Himalayan salt, and A brands in Amman, Mafraq, and Zarqa. Moreover, the iodine levels in most samples from all brands were below the recommended amount (≥15 ppm), with approximately 76.5% of the samples in Figure 1 containing less than the recommended amount.

Comparison of iodine concentrations for different salt brands in Zarqa city

There were significant differences (P ≤ 0.05) in the iodine concentrations of salts from different brands collected in Zarqa City, Jordan, as shown in Figure 2. The highest iodine concentration was found in the B/ coarse Himalayan salt, reaching approximately 30 ppm, which was significantly higher than that of other brands. In contrast, the lowest iodine concentration was found in the E/ Himalayan salt, which was lower compared to all other samples. The iodine concentrations for the various collected samples in Zarqa City ranged from 7.5 to 30 ppm. Approximately 50% of the samples contained less than 15 ppm of iodine, as illustrated in Figure 2.

Figure 2. Iodine concentration (mg/kg (ppm)) in different salt brands from Zarqa city, Jordan.

Comparison of iodine concentrations for different salt brands in Mafraq city

There were significant differences (P ≤ 0.05) in the iodine concentrations of salts from different brands collected from Mafraq City in Jordan, as shown in Figure 3. The highest iodine concentration was found in the M brand, which significantly differed from the other brands. The iodine concentration reached approximately 17 ppm. Conversely, the lowest iodine concentrations were observed in the P brand and L brand salts compared to all other collected samples. The iodine concentrations ranged from about zero to 17 ppm for the different samples collected in Mafraq City. Approximately 77% of the samples contained less than 15 ppm of iodine, as depicted in Figure 3.

Figure 3. Iodine concentration (mg/kg (ppm)) in different salt brands from Mafraq city, Jordan.

Comparison of iodine concentrations for different salt brands from Amman city

There were significant differences (P ≤ 0.05) in the iodine concentrations of salts from different brands collected in Amman City, Jordan, as shown in Figure 4. The highest iodine concentration was found in the B/ coarse Himalayan salt, which significantly differed from the other brands. The iodine concentration reached approximately 27 ppm. Conversely, the lowest iodine concentrations were observed in the Q, L, P, and B/ Mediterranean salt brands compared to all other collected samples. The iodine concentrations ranged from zero to 27 ppm for the different samples collected in Amman City. Approximately 75% of the samples contained less than 15 ppm of iodine, as depicted in Figure 4.

Figure 4. Iodine concentration (mg/kg (ppm)) in different salt brands from Amman city, Jordan.

Comparison of iodine concentrations for the same salt brands in Zarqa City

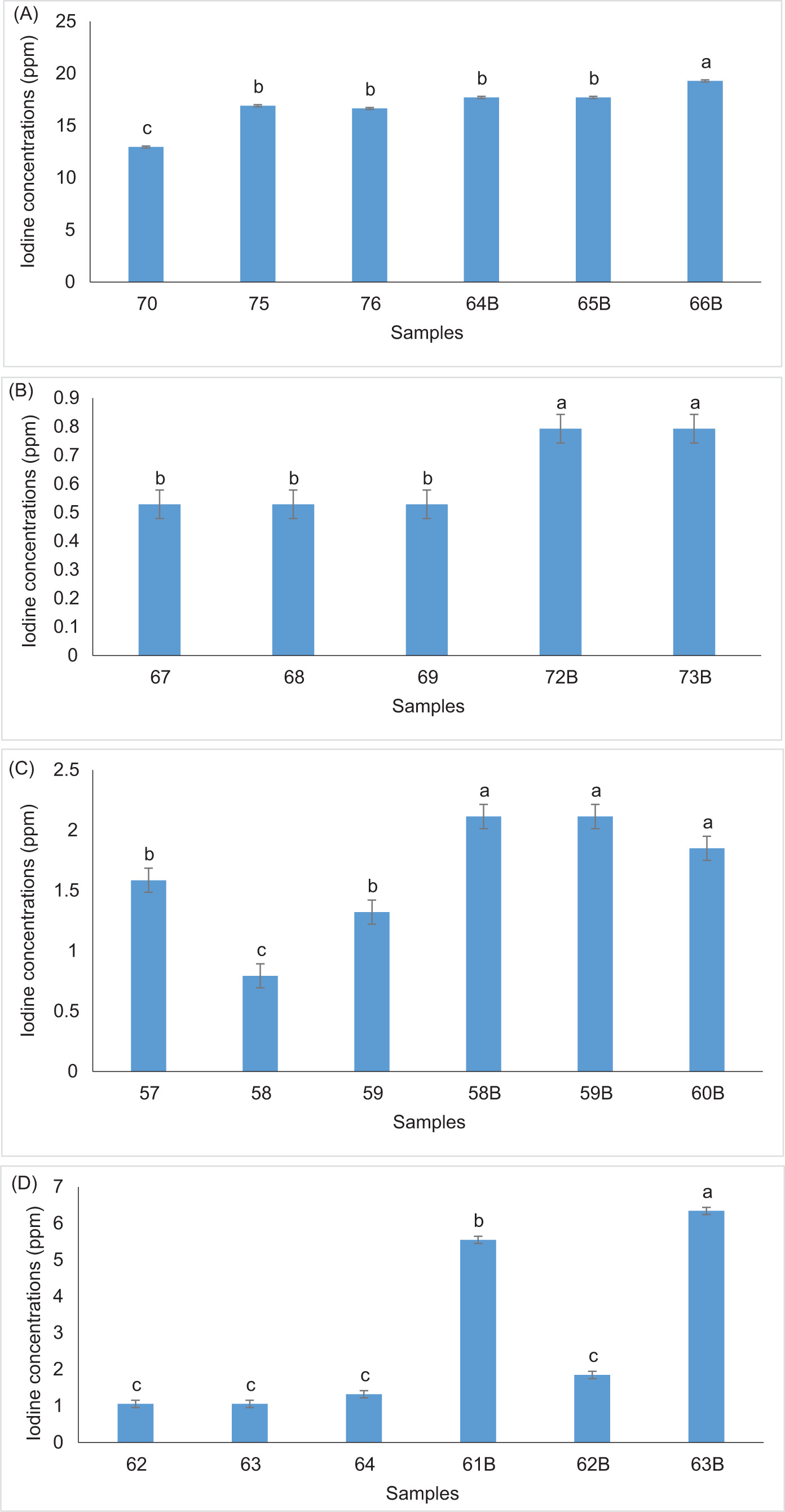
Different salt brands were studied in Zarqa City. Significant differences (P ≤ 0.05) were found in the iodine concentrations among different samples of the same brand, as shown in Figures 5A–E. For all brands (K, G, J, H, and F), there were significant variations (P ≤ 0.05) within the same brand, indicating an inefficient iodine addition process. The G brand exhibited the most consistent iodine addition, with concentrations consistently meeting the recommended amount, as seen in Figure 5B. All samples from the G brand had iodine concentrations exceeding 15 ppm, ranging from 16.3 to 21 ppm. The K and H brands showed the highest variations in iodine concentrations among different samples, as depicted in Figures 5A,D. The K brand had iodine concentrations ranging from 10 ppm to 30 ppm, with 60% of the samples containing iodine below the recommended level, while the H brand had concentrations between 0.2 and 15 ppm, with 50% of the samples containing iodine below the recommended level. The J and F brands (Figures 5C,E) had samples with iodine concentrations below the recommended level, showing significant differences (P ≤ 0.05) among samples of the same brand.

Figure 5. Iodine concentration (mg/kg (ppm)) for different samples in Zarqa city, Jordan; (A) K salt brand; (B) G salt brand; (C) J salt brand. Iodine concentration (mg/kg (ppm)) for different samples in Zarqa city, Jordan; (D) H salt brand; and (E) F salt brand.

Comparison of iodine concentrations for the same salt brands in Mafraq City

Different salt brands were studied in Mafraq City. Significant differences (P ≤ 0.05) were found in the iodine concentrations among different samples of the same brand, as shown in Figures 6A–6D. For all the brands (M, N/ Himalayan Organic, O/ Himalayan, and O/ Sea Salt), there were significant differences (P ≤ 0.05) within the same brand, indicating an inefficient iodine addition process. The M salt brand had the most consistent iodine addition within the recommended amount, as seen in Figure 6A. Most samples from the M salt brand had iodine concentrations exceeding 15 ppm, ranging from 12.3 to 19 ppm, with only 15% of the samples falling below this level. In contrast, all other brands had iodine concentrations below the recommended level, with 100% of the samples from these brands showing insufficient iodine levels, as depicted in Figures 6B–D. It can be concluded that samples from Mafraq contain significantly lower amounts of iodine (P ≤ 0.05) compared to samples from other cities in Jordan.

Figure 6. Iodine concentration (mg/kg (ppm)) for different samples in Mafraq city, Jordan; (A) M salt brand; (B) N/Himalayan organic salt brand; (C) O/Himalayan salt brand; and (D) O/sea salt/Mafraq salt brand.

Comparison of iodine concentrations for the same salt brands in Amman City

Different salt brands were studied in Amman City. Significant differences (P ≤ 0.05) were found in the iodine concentrations among different samples of the same brand, as shown in Figures 7A–C. For all brands (R Himalayan Salt, B Sea Salt, and B Low Sodium), there were significant differences (P ≤ 0.05) within the same brand, indicating an inefficient iodine addition process. The only salt with iodine content within the recommended level was R Himalayan Salt, as shown in Figure 7A, with concentrations ranging between 15 and 35 ppm, except for one sample that contained less than 5 ppm. Consequently, only 20% of the samples from this brand had iodine levels below the recommended threshold. All other brands had iodine concentrations below the recommended level, with 100% of samples from these brands failing to meet the iodine requirement, as seen in Figures 7B,C.

Figure 7. Iodine concentration (mg/kg (ppm)) for different samples in Amman city, Jordan; (A) R Himalayan salt brand; (B) B/coarse sea salt brand; and (C) B/low sodium salt brand.

Discussion

As observed from the results, the iodine concentration varies significantly across most samples of different brands in three cities in Jordan (Amman, Zarqa, and Mafraq). For the majority of samples, iodine levels were below the recommended amount of 15 ppm. On average, 76.5% of the 152 samples analyzed contained less than 15 ppm of iodine, falling short of the World Health Organization (WHO) recommended range of 15–40 ppm (WHO, 2022). The recommended daily iodine intake is 150 µg for adolescents and adults, 250 µg for pregnant and lactating women, and 120 µg for children aged 6–12 years. Approximately 2 billion people worldwide are at risk of insufficient iodine intake (Andersson et al., 2012). Moreover, WHO recommends that all food-grade salt should be fortified with iodine to prevent intellectual and developmental disabilities (IDDs) (WHO, 2014). Comparing these findings to other global studies, it was noted that only 1 out of 7 salt brands had poor iodine content in Bangladesh (Fardousi, 2012). Conversely, a study in Australia found that iodine concentrations in iodized table salts ranged from 32 to 64 mg/kg, which is within the Food Standards range of 25–65 mg/kg (Thomson, 2009). Furthermore, a study conducted in South Africa revealed that the iodine level was below 20 ppm in 12 of the producers, accounting for about 34.8% of the total producers (Jooste, 2003). In Belgrade, it was found that the contents of iodine in the table salt samples were according to standard (16-24 mg/kg), except one (Rajkovic, 2009). Also, another study in North Western Ethiopia showed that 61.54 % of the collected samples were insufficiently iodized. It also showed that the iodine distribution in these samples is not uniform (Bediye and Berihe, 2015). A study in the United States found that the iodine content varied in five samples taken from the same container of different depths (Dasgupta et al., 2008). These results indicated that there are significant variations in the iodine content in the salt that reach consumers in different countries. Several factors influence the stability of the iodine component in iodized salt, including moisture content, atmospheric humidity, light, heat, impurities in the salt, acidity or alkalinity, and the form in which iodine is present (Shi, 2004). Therefore, increased monitoring and quality control procedures are necessary to optimize iodine levels in different salt brands in Jordan and other countries. In the current study, the samples from each brand and city were drawn from a single batch, which may affect the generalizability of the results. Additionally, variability in the amount of iodine added during the iodization process, along with poor mixing or uneven distribution within batches or bags, can lead to variations in iodine content in the salt samples (Shawel et al., 2010).

Conclusions and Recommendations

The iodine levels found in most samples from all brands across three cities in Jordan are below the recommended amount (≥ 15 ppm)) as specified by the AOAC (1984) iodine determination method. Approximately 76.5% of the collected samples contained less than the recommended amount of iodine. Additionally, there were significant differences (P ≤ 0.05) in iodine concentrations within the same brand collected from different cities. The substantial variation in mean iodine levels among different brands, cities, and samples from the same brand indicates inadequate distribution and addition of iodine to the salt. Therefore, it is essential for the government and the Food and Drug Authority/Jordan Authority to implement stringent quality control measures to enhance monitoring and ensure compliance with standard operating procedures and Good Manufacturing Practices for the iodization process. Furthermore, it is crucial to intensify the salt sampling process from various sources to address any potential issues of low iodine content in different salt brands. Additional research is needed to investigate the factors influencing iodine content in salt in Jordan.

Data Availability

The data from this study will be available upon a reasonable request from the corresponding author.

Author Contributions

All authors contributed equally in preparing, writing, and revising this manuscript.

Conflicts of Interest

The authors declare no conflict of interest.

Ethical Approval

This article does not contain any studies with human participants or animals performed by any of the authors.

REFERENCES

Andersson, M., Karumbunathan, V., & Zimmermann, M. B. (2012). Global iodine status in 2011 and trends over the past decade. The Journal of Nutrition, 142(4), 744–750. 10.3945/jn.111.149393

Association of Official Analytical Chemists (AOAC). (1984). Official methods of analysis (15th ed., pp. 23–25). AOAC.

Assey, V. D., Peterson, S., Kimboka, S., Ngemera, D., Mgoba, C., Ruhiye, G., Ndossi, G., Greiner, T., & Tylleskär, T. (2009). Tanzania national survey on iodine deficiency: Impact after twelve years of salt iodation. BMC Public Health, 9, 319. 10.1186/1471-2458-9-319

Bath, S. C., Steer, C. D., Golding, J., Emmett, P., & Rayman, M. P. (2013). Effect of inadequate iodine status in UK pregnant women on cognitive outcomes in their children: Results from the Avon Longitudinal Study of Parents and Children (ALSPAC). The Lancet, 382(9889), 331–337. 10.1016/S0140-6736(13)60436-5

Bediye, M. T., & Berihe, G. K. (2015). Iodometric titration and spectrophotometric method for the determination of iodine in salt samples commercially available in Bahir Dar, North Western Ethiopia. Chemical and Materials Research, 7(4), 59–66.

Dasgupta, K. U., Liu, Y., & Dyke, J. (2008). Iodine nutrition: Iodine content of iodized salt in the United States. Environmental Science & Technology, 42(4), 1315–1323. 10.1021/es702596d

Desta, A. A., Kulkarni, U., Abraha, K., Worku, A., & Sahle, B. W. (2019). Iodine level concentration, coverage of adequately iodized salt consumption, and factors affecting proper iodized salt utilization among households in North Ethiopia: A community-based cross-sectional study. BMC Nutrition, 18(5). 10.1186/s40795-019-0291-x

Fardousi, M. (2012). Determination of iodine content in different brands of table salt in Bangladesh (Unpublished master’s thesis). East West University, Dhaka, Bangladesh.

Glinoer, D. (2004). The regulation of thyroid function during normal pregnancy: Importance of iodine nutrition status. Best Practice & Research: Clinical Endocrinology & Metabolism, 18(1), 133–152. 10.1016/j.beem.2004.03.001

Gorstein, J. L., Bagriansky, J., Pearce, E. N., Kupka, R., & Zimmermann, M. B. (2020). Estimating the health and economic benefits of universal salt iodization programs to correct iodine deficiency disorders. Thyroid, 30(12), 1802–1809. 10.1089/thy.2019.0719

Hiso, D. E., & Roba, K. T. (2019). Utilization of iodized salt and associated factors in Zuway Dugda District, Arsi Zone, Oromia Regional State, South East Ethiopia. East African Journal of Science, 13(1), 75–80.

Jooste, L. P. (2003). Assessment of the iodine concentration in table salt at the production stage in South Africa. Bulletin of the World Health Organization, 81(7), 517–521.

Kabthymer, R. H., Shaka, M. F., Ayele, G. M., & Malako, B. G. (2021). Systematic review and meta-analysis of iodine deficiency and its associated factors among pregnant women in Ethiopia. BMC Pregnancy and Childbirth, 21(1), 106. 10.1186/s12884-021-03584-0.

Kant, S., Haldar, P., Lohiya, A., Yadav, K., & Pandav, C. S. (2017). Status of iodine nutrition among pregnant women attending antenatal clinic of a secondary care hospital: A cross-sectional study from Northern India. Indian Journal of Community Medicine, 42(4), 226–229. 10.4103/ijcm.IJCM_312_16

Rajkovic, M. B. (2009). Determination of potassium iodide in table salt. Journal of Agricultural Sciences, 54(2), 152–165.

Shawel, D., Hagos, S., Lachat, C. K., Kimanya, M. E., & Kolsteren, P. (2010). Post-production losses in iodine concentration of salt hamper the control of iodine deficiency disorders: A case study in northern Ethiopia. Journal of Health, Population, and Nutrition, 28(3), 238–244. 10.3329/jhpn.v28i3.5550

Shi, H. (2004). Adding an oxidant increases the stability of iodine in iodized salt. Food and Nutrition Bulletin, 25(2), 137–141. 10.1177/156482650402500205

Thomson, B. (2009). Levels of iodine in New Zealand retail salt. Institute of Environmental Science & Research Limited (ESR). Christchurch, New Zealand. Available at http://foodsafety.govt.nz/elibrary/industry/levels-iodine-zealand

World Health Organization, & UNICEF. (2007). Assessment of iodine deficiency disorders and monitoring their elimination: A guide for program managers (3rd ed.). World Health Organization.

World Health Organization. (2014). Guideline: Fortification of food-grade salt with iodine for the prevention and control of iodine deficiency disorders. World Health Organization. https://apps.who.int/iris/handle/10665/136908.

World Health Organization. (2022). Universal salt iodization and sodium intake reduction: Compatible, cost–effective strategies of great public health benefit. World Health Organization. ISBN 978-92-4-005371-7 (electronic version), ISBN 978-92-4-005372-4 (printed version)

World Health Organization. (2023). Iodization of salt for the prevention and control of iodine deficiency disorders. World Health Organization. https://www.who.int/tools/elena/interventions/salt-iodization#:~:text=WHO%20Recommendations,in%20stable%20and%20emergency%20settings