Download

ORIGINAL ARTICLE

Scrutinizing the antidiabetic, antidiarrheal, and anti-inflammatory activities of methanolic extract of pomegranate peel via different approaches

Waqas A. Bacha1, Amir Hamza1, Ayaz Ali Khan1*, Tariq Aziz2, Jianbo Wu3, Fahad Al-Asmari4, Manal Y Sameeh5, Abdulhakeem S Alamri6, Majid Alhomrani6, Ahmad A. Alghamdi6, Abdullah A. Alqasem7, Bandar K. Baothman8, Naif ALSuhaymi9, Suzan M. Fathuldeen10, Waqar Ahmad3*

1Immunology Laboratory, Department of Biotechnology, University of Malakand, Chakdara, Pakistan;

2Department of Agriculture, University of Ioannina, Arta, Greece;

3Basic Medicine Research Innovation Centre for Cardiometabolic Diseases, Ministry of Education, Southwest Medical University, Luzhou, China;

4Department of Food and Nutrition Sciences, College of Agricultural and Food Sciences, King Faisal University, Ahsa, Saudi Arabia;

5Department of Chemistry, Al-Leith University College, Umm Al-Qura University, Makkah, Saudi Arabia;

6Department of Clinical Laboratories Sciences, College of Applied Medical Sciences, Taif University, Taif, Saudi Arabia;

7Department of Medical Laboratory Science, College of Applied Medical Sciences, Prince Sattam bin Abdulaziz University, Al-Kharj, Saudi Arabia;

8Department of Medical Laboratory Technology, Faculty of Applied Medical Sciences in Rabigh, King Abdulaziz University, Jeddah, Saudi Arabia;

9Department of Emergency Medical Services, Faculty of Health Sciences – Al Qunfudah, Umm Al-Qura University, Mekkah, Saudi Arabia;

10University Medical Services Center, King Abdulaziz University, Jeddah, Saudi Arabia

Abstract

The objective of the current study was to evaluate the potential of Punica granatum L peel in mice as an antidiarrheal and antidiabetic agent. In an antidiarrheal study, different doses (50, 100, 150, and 200 mg/kg) of methanolic pomegranate peel extract (PPE) were administrated to castor oil-induced (1 mL/kg) diarrheal mice. Mice administered loperamide hydrochloride (3 mg/kg) were treated as a baseline group. During the experiment, electrolyte and hematological levels were analyzed, and at the end, histopathology of the intestine was performed. For antidiabetic activity, PPE doses (50, 100, 150, and 200 mg/kg) and metformin hydrochloride were administered to alloxan-induced (150 mg/kg) diabetic mice groups, and biochemical and hematological parameters were analyzed. Liver histopathology was done at the end of the experiment. The study found that castor oil caused diarrhea and had a significant (p < 0.05) impact on hematological parameters and electrolyte levels, compared with negative control group. PPE helped to restore altered parameters to normal levels. Histopathology of positive control group revealed abnormal cell structures, with irregularly arranged villi, unclear mucosal architecture of the ileal section, and nuclei cells were damaged and prone to collapsing. Significant dose-dependent recovery was observed in PPE-fed mice groups. After inducing and confirmation of diabetes with alloxan, all groups, except the negative control group, had significantly high glucose levels (p < 0.05). Levels of C-reactive protein and bilirubin were significantly altered, but PPE and metformin hydrochloride showed potential to improve these parameters. In positive control group mice, liver histology showed microvesicular fatty changes throughout the acinus, reactive Kupffer cells, mid-portal inflammation, reduced portal triad, centrilobular visibility, and well-differentiated central vein with well-formed nuclei. Similarly, significant dose-dependent recovery was observed in PPE-administrated mice groups. These results demonstrated that PPE had promising antidiarrheal and antidiabetic potential.

Key words: alloxan, castor oil, antidiabetic, antidiarrheal, pomegranate peel extract

*Corresponding Authors: Ayaz Ali Khan, Immunology Laboratory, Department of Biotechnology, University of Malakand, Chakdara 18800, Pakistan. Email: [email protected]; Waqar Ahmad, Basic Medicine Research Innovation Centre for Cardiometabolic Diseases, Ministry of Education, Southwest Medical University, Luzhou 646000, China. Email: [email protected]

Received: 25 October 2023; Accepted: 13 November 2023; Published: 1 January 2024

DOI: 10.15586/ijfs.v36i1.2459

© 2024 Codon Publications
This is an Open Access article distributed under the terms of the Creative Commons Attribution-NonCommercial-ShareAlike 4.0 International (CC BY-NC-SA 4.0). License (http://creativecommons.org/licenses/by-nc-sa/4.0/)

Introduction

Medicinal plants are a valuable source of medications (Semwal et al., 2010) because they are a reservoir of biologically active compounds with therapeutic uses (Ahmad et al., 2023a, 2023b; Hayat et al., 2023; Muhammad et al., 2023; Naveed et al., 2022a). Medicinal plants have been used extensively against various infections and for traditional therapies across the world. These medicinal plants are being used for centuries and could potentially be considered the genesis of modern medicine (Ammara et al., 2023; Aziz et al., 2023; Ejaz et al., 2023; Naveed et al., 2022b; Saleem et al., 2022; Salmerón-Manzano et al., 2020; Zawar et al., 2023).

Based on the World Health Organization (WHO) reports, 70% of the world’s population uses 35–70 plant species for their health care (Iram et al., 2023; Mamedov, 2012; Riasat et al., 2023). As opposed to manufactured pharmaceuticals, researchers have concentrated more on medicinal plants, as they don’t have adverse reactions (Arnold, 2013). Additionally, 25% of the ingredients used widely in pharmaceuticals are derived from medicinal plants (Robbers et al., 1996). Many phytochemicals are reported to be present in profusion in these plants (Munuswamy et al., 2013). Phytochemicals are non-nutritive compounds thought to be a type of defence system of plants used against hazards, such as illness, herbivorous animals, and ultraviolet (UV) radiation (Elfalleh et al., 2012).

In recent years, researchers have increasingly prioritized medicinal plants because of their eco-friendliness, compared to synthetic pharmaceuticals, often having dangerous adverse reactions (Arnold, 2013). From this perspective, the importance of therapeutic herbs is unavoidable. Pomegranate, scientifically known as Punica granatum L. and belonging to the Lythraceae family, is used globally due to its rich medicinal and nutritional heritage (Boroushaki et al., 2016, Ismail et al., 2012). It is the healthiest fruit with high phenolic compounds (Kaderides et al., 2021). The constituents of pomegranate provide a wide range of therapeutic benefits (Lansky and Newman, 2007). Naturally, pomegranate is grown in many countries, including Iran, Afghanistan, Morocco, India, Italy, China, and Pakistan (Shaygannia et al., 2016). Parts of pomegranate, including the bark, seed, and leaves, are used to treat various diseases. Its peel is used to cure different diseases, including syphilis and bronchitis, as the peel is thought as one of the finest sources of bioactive compounds (Sreekumar et al., 2014). Furthermore, pomegranate peel is renowned for its anticancer, antiatherosclerotic, wound-healing, and antioxidant properties (Cerdá et al., 2003, Navarro et al., 1996, Rajan et al., 2011). Antioxidant compounds found in peel are flavonoids, proanthocyanidins, ellagitannins, and phenols (Mekawi et al., 2019).

Pomegranate peel constitutes nearly half of the entire weight of the fruit which has been used to treat diabetes, diarrhea, and other diseases (Boroushaki et al., 2016, Hou et al., 2019). Diabetes is a category of metabolic disease induced by high glucose levels in the blood, characterized by damaged beta cells, causing a decrease in insulin production (Udeogu et al., 2019). It is a serious health issue because of its high prevalence (Tan et al., 2019), with 425 million diabetics worldwide in 2017, which will be 642 million by 2040 (Magliano and Boyko, 2022). Synthetic antidiabetic medications used for diabetes are expensive and cause adverse reactions, including hypoglycemic coma and kidney and liver diseases (Rasouli et al., 2020). An important area of study involves the pursuit of safer and more effective medication (Gaonkar and Hullatti, 2020). Diarrhea is abnormally loose or watery feces caused by bacteria, viruses, or parasites. Although various antidiarrheal medications are available, the disease remains at the top of causing mortality and morbidity worldwide (Bustreo et al., 2015). Consequently, this study aims to assess the in vivo effects of the methanolic extract of pomegranate peel extract (PPE) on alloxan-induced diabetes in mice to determine its potential antidiabetic activity. Similarly, the experiment evaluated the PPE impact on castor oil-induced diarrhea in mice to explore its potential as an antidiarrheal agent. Also, this study aimed to identify the effects of PPE on the structure and function of the liver and intestine.

Material and Methods

Plant materials

Pomegranate peel sample was collected from the local area (Mingora) of District Swat, Khyber Pakhtunkhwa (KPK), Pakistan. This peel sample was kept at the herbarium of the Department of Botany, University of Malakand, Chakdara, Pakistan until further processing. Peel was cleaned properly twice with sterile water and for one time with tap water, and then kept for drying for 4–6 days in a covered place at room temperature (25°C).

Extract preparation

The dry peel was crunched into powder form using an electric grinder. After that, methanolic extract was prepared using the procedure described by Mutahar et al. (2012) with slight adjustments; the methanol concentration was increased to 95%, sonication was performed for 10 min, and the centrifugation was increased to 15 min. The resulting peel powder was mixed with methanol at a ratio of 1:10. The mixture was placed in a 250-mL flask and agitated using a shaker for 24 h at room temperature at 15 revolutions per minute (rpm). After being shaken for 24 h, the mixture was sonicated for 10 min at room temperature. Following that, the mixture was filtered by using Whattman No. 1 filter paper. After filtration, the extract was centrifuged at 1,300 rpm for 5 min to separate supernatant. The supernatant was shaded for 72 h on a petri plate. The concentrated peel crude extract was obtained at evaporation’s end and kept at 40°C for further usage.

Animals and experimental design

Both male and female albino mice were used in the current study. A day-old albino mice were raised at the University of Malakand BioPark for this experiment. The mice were reared in an appropriate environment for 40 days, in a proper temperature of 22–25°C and 12-h light-dark cycles, and provided a proper diet. On the 40th day of upbringing, different groups of animals were formed, each with five animals having the same weight. In the current study, two activities were performed.

Chemicals and drugs

The following chemicals and drugs were used in the study: alloxan (Sigma Chem. Co., St. Louis, MO, USA), loperamide hydrochloride (Imodium) purchased from a pharmacy, metformin hydrochloride (Getz Pharma, Pakistan), and castor oil (Micko Industrial Chemicals) purchased from a local pharmacy.

Antidiabetic activity

This study assessed the antidiabetic activity of PPE. G1 was the negative control group; normal water and a typical diet were provided to G1 mice. The second group (G2) was the positive control group; alloxan was given intravenously at a dosage of 150-mg/kg body weight. The mice were given normal food and water. Alloxan was given intraperitoneally to the remaining five mice groups (G3–G7) at a dosage of 150 mg/kg to induce diabetes. After 48 h of intoxication, diabetes was confirmed in these mice groups. These mice groups were fed different amounts of PPE per kilogram of body weight regularly for 1 month: 50-mg PPE was given to G3, 100 mg to G4, 150 mg to G5, and 200 mg to G6. Metformin hydrochloride was given to G7 animals at a dosage of 50-mg/kg body weight. Throughout the experiment, animals received their usual water and food supplies. Animals were monitored under surveillance to check changes in their weight loss or gain, eye color, their locomotion, and feeding activity. Also, the blood glucose levels of these animals were checked while receiving PPE regularly.

Analysis of biochemical and hematological parameters

After feeding PPE for 1 month, blood samples were taken after the animals were euthanized in heparinized tubes; blood samples were analyzed for hematology parameters using a fully automated blood hematology analyzer (SYS MIX, Japan). Also, gel tubes were used to collect blood samples to separate serum for measuring biochemical parameters. Standard reagent kit methods were used to measure C-reactive protein (CRP), glucose levels, and bilirubin (direct and indirect) using the analyzer.

Examining histopathology

After euthanasia of animals, liver samples were taken out and stored in distilled water-diluted formalin solution (1:10). Tissue was sectioned using a microtome (Rotary Microtome Minux® S700A, China), and the slides were stained by the usual protocol (Slaoui and Fiette, 2011). The slides were analyzed at Anwar Clinical Laboratory (Saidu Sharif Swat, Khyber Pakhtunkhwa, Pakistan). DCM 130 (USB) microscopic digital camera, with a resolution of 1.3 MP, was used to capture images.

Antidiarrheal activity

The primary objective of this research was to establish the antidiarrheal efficacy of PPE. As mentioned, G1 mice were treated as a negative control, and fed with normal water and food supply. G2 mice were given castor oil (1-mL/100 g body weight), and these served as a positive control; animals received normal water and food supply. Mice of other groups (G3–G7) were given castor oil (1-mL/kg body weight) to induce diarrhea. A white paper was spread underneath the animals to confirm diarrhea, which was induced 15 min after giving castor oil. Following initiation of diarrhea, different amount of PPE was given to each group: 50 mg to G3, 100 mg to G4, 150 mg to G5, and 200 mg to G6 mice. The trial was carried out consistently over a period of 7 days, with repeated iterations. Loperamide hydrochloride was administrated at a dosage of 3 mg/kg to (G7 animals (Antonisamy et al., 2015). All animal groups received regular supplies of food and water.

Analysis of hematological and electrolyte parameters

In order to test serum electrolytes, blood samples (2 mL) were collected in gel tube vacutainers. Evaluated serum electrolytes were ionized Ca ion (ICa), Na+, Cl, and K+. Blood samples underwent 15 min of centrifugation at 5,000 rpm to obtain clear serum samples. The isolated serum was examined using a CBS 400 auto electrolyte analyzer (B&E Scientific Inc., China).

Examining histopathology

Intestine samples were collected and stored in diluted (distilled water) formalin solution (1:10). Tissues were sectioned using microtome (Rotatory Microtome Minux® S700A, China). Slide preparation and staining were carried out according to a protocol (Slaoui and Fiette, 2011). Slides were examined at Anwar Clinical Laboratory (Swat, Khyber Pakhtunkhwa, Saidu Sharif, Pakistan), and images were taken with 1.3-MP resolution DCM 130 microscope digital camera (USB 2.0).

Statistical analysis

The mean and standard deviation of collected data were obtained. Mean values of different parameters were compared with ANOVA and Tukey’s test. A significant difference was shown by p ≤ 0.05.

Results

Antidiarrheal activity

This study examined the impact of different doses of PPE (50, 100, 150, 200 mg/kg body weight) in castor oil-induced diarrhea in mice.

Electrolyte analysis

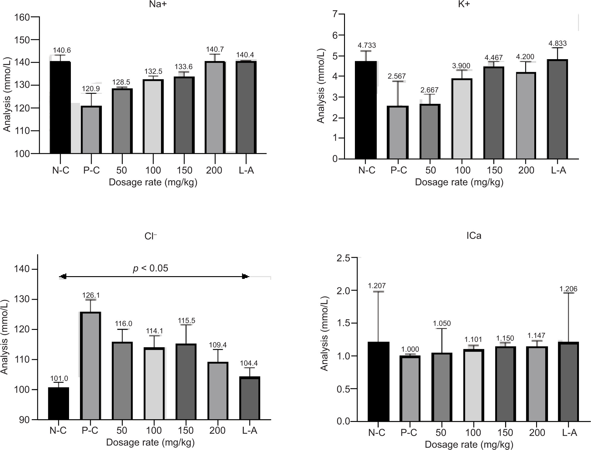
Electrolyte analysis was conducted by isolating blood serum from diarrhea-induced mice and treated with PPE. Animal groups that received varying amounts of PPE and loperamide hydrochloride did not demonstrate any significant alteration (p < 0.05) in sodium, potassium, and ionized calcium ions, compared to the control group. However, the chloride ion showed a significant variance, compared to the control group as illustrated in Figure 1.

Figure 1. Effects of methanolic pomegranate peel extract on levels of different electrolytes in diarrhea-induced mice. (A) Sodium ion (Na+), (B) potassium ion (K+), (C) chlorine ion (Cl-), (D) ionized calcium ion (ICa). Values of the control group are compared with PPE-fed doses (50, 100, 150, and 200 mg/kg body weight) and loperamide hydrochloride (L-A) dose, and presented as mean ± standard error mean (SEM); n = 5 and p < 0.05.

Hematological values

Hematological parameters of mice with diarrhea are shown in Table 1. A significant difference (p < 0.05) was observed in the levels of white blood corpuscles (WBCs) in the PPE doses of 50 mg/kg and 150 mg/kg, while no significant difference was observed in the doses of 100 mg/kg, and 200 mg/kg as well as the loperamide hydrochloride-mediated group (G7), compared to the control group. Granulocytes (GRA) and hematocrit (HCT) mean values demonstrated no significant differences (p < 0.05) in different PPE doses- and loperamide hydrochloride-treated groups. On the other hand, a significant difference (p < 0.05) was observed in the levels of hemoglobin in all PPE-treated groups, compared to the control group. PPE doses of 50, 100, and 200 mg/kg demonstrated significant differences (p < 0.05) in the levels of lymphocytes (LYM), compared to the control group. In case of red blood cells (RBCs), PPE doses of 50 mg/kg and 100 mg/kg showed significant differences (p < 0.05), compared to the control group. A significant difference (p < 0.05) was observed between PPE dosage groups of 100, 150, and 200 mg/kg, compared to the control group. The mean value of platelets (PLT) in groups treated with PPE doses of 50, 100, and 150 mg/kg showed a significant difference (p < 0.05), compared to the control group.

Table 1. Effect of pomegranate peel extract on the hematological parameters of mice following castor oil feeding.

Parameter Varying doses
Negative control Positive
control
50 mg/kg 100 mg/kg 150 mg/kg 200 mg /kg Loperamide hydrochloride
WBC (×109/L) 7.36±0.25a 11.57±0.60b 11.73±0.25b 8.06±0.20a 4.16±0.25c 6.60±0.36a 7.50±0.30a
LYM (%) 37.17±2.46a 67.43±6.00b 51.10±2.81c 59.33±3.55b,c 35.77±4.69a 41.27±3.53a,c 32.60±2.56a
GRA (%) 44.43±5.37a 19.30±3.94b 28.50±7.69a,b 22.20±3.14b,c 57.20±5.98a 37.47±8.48a,c 49.83±5.00a
RBC (×1012/L) 4.10±0.36a 8.16±0.47b 7.23±0.58b 7.00±0.458b 5.36±0.40a 4.46±0.450a 4.43±0.40a
Hgb (g/dL) 14.23±0.87a 17.90±0.60b 17.10±0.65b,c 16.17±0.65a–c 16.47±0.76b,c 15.27±0.55a,c 14.43±0.86a

Values of different parameters in all mice groups, including the loperamide hydrochloride-administrated group, and PPE-treated groups with various doses (50, 100, 150, and 200 mg/kg body weight), compared to the control group are presented as mean ± standard error mean (SEM); n = 5, p < 0.05 is represented by different superscripted letters(a,b,c).

Effects of pomegranate peel extract on histology of the intestine

Samples of the intestines isolated from each group were examined. Mice in the negative control group (G1; fed normally) showed no changes in the gut, mucosal epithelium, villi, and nuclei cell structure. However, significant gastrointestinal changes were observed in the positive control group G2 (fed with 1-mL/kg castor oil), arrangement of the villi was inconsistent and unclear, and mucosal epithelial cells exhibited reduced clarity. Cellular delineation lines and disrupted mucosal morphology of the ileal section were also observed. Nuclei cells were damaged and vulnerable to collapse. G3 with 50-mg/kg PPE dosage showed villus atrophy because of changes in mucosal architecture and cellular structure. However, nuclei were found to be normal. In G4, which received 100-mg/kg PPE, noticeable changes in cellular structure, including reduced villus atrophy, were observed. On the other hand, G5 (150-mg/kg PPE) showed fewer changes in cellular structure, compared to changes in G3 and G4. However, reduced visibility of the villi was observed in G5 due to cytoplasmic vacuoles. In other groups, the only noticeable change in G6 (PPE dosage of 200 mg/kg) was the presence of vacuoles in mucosal epithelial cells. In G7 (treated with 3-mg/kg loperamide hydrochloride), no changes were observed in cellular structure, and the villi exhibited a well-defined shape and structure. All the results are shown in Figure 2.

Figure 2. Photomicrographs of the intestine in diarrhea-induced mice groups fed with PPE doses and the loperamide hydrochloride group. (A) The intestine in the negative control group (G1) showed no changes in the gut, mucosal epithelium, villi, and nuclei cells; (B) the intestine in the positive control group (G2) showed an inconsistent arrangement of the villi and mucosal epithelial cells were unclear and disrupted. The nuclei cells were damaged and prone to collapse in the ileal section; (C) the intestine in G3 (fed with 50-mg/kg PPE) showed changes in mucosal lining caused by villus atrophy, but nuclei were normal; (D) the intestine in G4 (fed with 100-mg/kg PPE) showed changes in cellular structure with reduced villus atrophy; (E) in G5 (fed with 150-mg/kg PPE), fewer changes were observed in cellular structure and cytoplasmic vacuoles, with less visibility of villi in the intestine; (F) intestine histology in G6 (fed with 200-mg/kg PPE) showed typical cell structure with clear and regular villi and vacuoles present in mucosal epithelial cells with no changes; (G) in G7, the intestine of the loperamide hydrochloride-treated mice showed no changes in the cellular structure, and shape and structure of the villi were also normal.

Antidiabetic activity of PPE

In this study, all mice groups, except the negative control group, were treated with a single dose of alloxan (150 mg/kg) to induce diabetes. One of the groups also received metformin hydrochloride. Blood glucose levels were assessed in all groups of mice on day 2, 8, 15, 22, and 28. After 48 h of feeding PPE to the mice, a significant difference (p < 0.05) was observed between the control group and other PPE-treated groups. Furthermore, significant decrease in glucose levels was observed in the animals on a daily basis in a dose-dependent manner as depicted in Figure 3. A PPE dose of 200 mg/kg was found to be the most effective treat in normalizing glucose levels.

Figure 3. Antidiabetic activity on different days (day 2, 8, 15, 22, and 28) after being fed with different doses of PPE (50, 100, 150, and 200 mg/kg) in alloxan-induced diabetic mice groups. Values are presented as standard error mean (SEM); n = 5, p < 0.05, compared to the standard control group.

Biochemical parameters

Based on the statistical analysis, no significant difference was observed (p < 0.05) between the average levels of biochemical parameters (total bilirubin, and direct and indirect bilirubin) in mice fed with PPE and those treated with metformin hydrochloride, compared to the negative control group. However, a significant increase (p < 0.05) was observed in CRP values, as illustrated in Figure 4.

Figure 4. Effects of methanolic pomegranate peel extract on biochemical parameters in diabetes-induced mice. Values of the control group are compared with PPE-fed groups (50, 100, 150, and 200 mg/kg), and metformin hydrochloride-administrated group, and presented as standard error mean (SEM); n = 5, p < 0.05.

Hematological parameters

During the 28-day study, significant differences were observed in the levels of RBCs, platelets, and hematocrit in various groups treated with PPE and metformin hydrochloride, compared to the control group, as shown in Table 2. However, differences in dosage were noted in other hematological parameters. For instance, a dose of 50 mg/kg of PPE resulted in significant differences in WBCs, while doses of 100, 150, and 200 mg/kg showed significant differences in GRA and mean corpuscular volume (MCV), compared to the control group. Lymphocytes exhibited significant differences in the PPE-fed mice groups, but not in the metformin hydrochloride group. Furthermore, no significant association (p < 0.05) was observed between the mean values of hemoglobin (Hgb) in the PPE-fed mice groups and the metformin hydrochloride-mediated mice group, compared to the control group.

Table 2. The effect of pomegranate peel extract on hematological parameters after mice were administered alloxan.

Parameter Different doses
Negative
control
Positive
control
50 mg/kg 100 mg/kg 150 mg/kg 200 mg /kg Metformin hydrochloride
WBC (×109/L) 6.76±0.75a 12.67±0.41b 13.90±1.65b 6.96±0.35a 7.00±0.50a 9.06±0.58a,b 6.80±0.70a
LYM (%) 28.30±2.96a 65.80±41.15b 66.43±8.29b 62.70±5.14b 58.67±4.24b 53.37±4.18b 26.80±5.14a
GRA (%) 40.23±5.14a 15.03±3.63b 15.67±2.65b 35.97±3.22a 45.00±3.90a 44.03±4.19a 42.87±3.80a
RBC (×1012/L) 4.333±0.41a 6.900±0.50b 7.303±0.80b 5.733±0.31b,c 5.127±0.20a,c 4.967±0.41a,c 4.433±0.60a,c
Hgb (g/dL) 13.00±0.50a 18.13±0.47b 13.90±1.44a 13.00±2.107a 13.00±105a 15.43±0.60a,b 14.27±1.06a
HCT (%) 40.67±1.25a 56.50±6.26a,b 49.63±2.82a,b 32.20±3.27a 25.70±5.10a 42.44±4.05a,b 44.63±4.91a
MCV (fl) 81.87±3.27a 61.50±6.62b 66.30±3.14a,b 58.27±3.32b 55.20±12.59b 59.17±8.46b 82.90±4.75a
PLT (×109/L) 323.0±27.51a 739.0±92.70b 847.7±52.79b 475.3±51.50a 420.7±42.91a 325.0±45.00a 381.0±27.22a

LYM: lymphocytes; Hgb: hemoglobin; HCT: hematocrit; MCV: mean corpuscular volume; PLT: platelets. Values of different parameters in all mice groups, including metformin hydrochloride, and PPE-administrated groups, compared to the control group, are presented as mean ± standard error mean (SEM); n = 5, p < 0.05 is represented by different superscripted letters(a,b,c).

Histopathology of liver

The analysis of liver histology showed mild to moderate toxic effects. The negative control group (G1) exhibited no changes in sinusoids, hepatic cords, and Kupffer cells. In the positive control group (G2, treated with 150-mg/kg alloxan), the histology of liver tissues revealed the existence of microvesicular fatty alterations throughout the acinus and central lobule, portal triad regions appeared less distinct/visible, and Kupffer cells exhibited sign of reactivity. In addition, mid-portal inflammation was observed and the central vein displayed well-differentiated features in histology of G2 animals. Nuclei structures were well formed and the hepatic lobules showed well-formed structures, with noticeable alterations in fatty microvesicular within the hepatic cords in histology of G3 (fed with 50-mg/kg PPE) animals. Also, G3 demonstrated regular orientation reactivity was observed in Kupffer cells and well-differentiated endothelial lining in the central vein with normal morphology. Similarly, in G4 (fed with 100-mg/kg PPE), liver histology revealed an arrangement of well-organized Kupffer cells and reactive changes. Well-organized hepatic cords demonstrated clear acinar microvesicular fatty changes, and proper endothelial lining was found in the central vein. The histology of G5 (fed with 150-mg/kg PPE) showed normal central vein and endothelial lining, with no fibrosis around blood vessels; a significant microvesicular fatty change from the central vein to portal triads and pan acinar microvesicular fatty changes were observed; reactive Kupffer cells and dilated sinusoid cells were also observed, with a healthy and normal central vein and well-formed hepatic cords. In G6 (fed with 200-mg/kg PPE), most hepatocytes showed microvesicular fatty alterations and normal nuclei; reactive Kupffer cells were observed in sinusoid walls that appeared relatively dilated with elevated bile pigment in their lumen. In G7 (fed with 50-mg/kg metformin hydrochloride), the central vein and endothelial lining were well formed, walls were not thickened, nuclei appeared normal, with reactive Kupffer cells and well-formed hepatic cords. The detailed data of all groups are shown in Figure 5.

Figure 5. Photomicrographs of the liver in diabetes-induced mice groups fed with PPE and metformin hydrochloride. (A) Negative control mice group, no alteration was observed in hepatic cords, Kupffer cells, or sinusoids; (B) positive control mice group (G2, treated with alloxan) showed microvesicular fatty changes, reactive Kupffer cells, mid-portal inflammation, portal triad and central lobule less visibility, intact nuclei, and well-differentiated central vein; (C) G3 (fed with 50-mg/kg PPE) showed hepatic lobules with distinct structures with evident fatty microvascular changes in the hepatic cords, intact Kupffer cell orientation, and normally formed endothelial lining in the central vein; (D) G4 (fed with 100-mg/kg PPE) showed well-organized Kupffer cells, and reactive changes. Well-organized hepatic cords demonstrated clear acinar microvesicular fatty changes, and proper endothelial lining was discovered in the central vein; (E) G5 (fed with 150-mg/kg PPE) showed healthy central vein and endothelial lining, with widespread microvesicular fatty changes throughout the acinar zones, reactive Kupffer cells, and dilated sinusoids; (F) G6 (fed with 200-mg/kg PPE) showed microvesicular fatty alterations with intact nuclei in hepatocytes, and dilated sinusoids with increased bile pigments activated Kupffer cells; (G) G7 (treated with metformin hydrochloride) showed well-formed hepatic cords, activated Kupffer cells, and intact endothelial lining of the central vein without thickened walls.

Discussion

Medicinal plants are extensively used globally as an integral component of primary healthcare because of their natural origin, leading to fewer adverse effects, compared to synthetic drugs (Aqib et al., 2023; Hussain et al., 2023; Rauf et al., 2023; Waseem et al., 2023). The present study investigated the in vivo effects of methanolic PPE on mice to assess their potential in alleviating diabetes and diarrhea. Diabetes was induced by intraperitoneal administration of 150-mg/kg body weight alloxan whereas diarrhea was induced by oral administration of 1-mL/kg castor oil. To assess antidiabetic and antidiarrheal activities, mice were given various doses of PPE (50, 100, 150, and 200 mg/kg). The administrated castor oil resulted in loose, uniform stools of watery consistency, corresponding to the results of the study conducted by Zhao et al. (2018). According to the results of the studies conducted by Ammon et al. (1974), Pierce et al. (1971), and Tunaru et al. (2012), castor oil-induced diarrhea was due to the presence of ricinoleic acid. The antidiarrheal effects of PPE in different mice groups were assessed by examining changes in hematology and levels of electrolyte parameters. No notable association (p < 0.05) was determined in the mean values of electrolytes (Na+, K+, and ICa), except for chloride (Cl) ions. Contrary to a positive control, PPE was able to revive the electrolytes (Na+, K+, Cl-, and ICa) to normal levels. The study revealed a dose-dependent relationship between positive changes toward normalcy, with high effectiveness in the highest dose (200 mg/kg) of PPE, compared to other doses. Similar impact of PPE was discovered as that of loperamide hydrochloride (an effective antidiarrheal drug). It was indicated in prior studies (Baker, 2007, Pannemans and Corsetti, 2018, Sahi et al., 2020) that loperamide hydrochloride had the effect of decelerating colonic transit time. In addition, it lessened the digestive tract’s peristalsis and fluid output while improving the absorption of fluids and electrolytes. According to Qnais et al. (2007), PPE’s antidiarrheal activity could be due to numerous mechanisms, such as inhibiting the release of prostaglandins in the intestine, decrease in mucosal secretion, and promoting reabsorption of water and sodium chloride, thus facilitating the overall absorption of fluids and electrolytes. Furthermore, antidiarrheal effects of PPE were attributed to the presence of bioactive compounds (corilagin, punicalagin, and ellagic acid) by Zhao et al. (2018). In addition, Palombo’s (2006) findings revealed that the presence of high tannin and alkaloid contents in PPE could be responsible for antidiarrheal characteristics. In this study, a noticeable rise in Cl- values was determined in positive control groups. These positive control groups correlated with the previous studies (Nagami, 2016; Walker et al., 1990). Phenolic compounds, such as flavonoids, tannins, and alkaloids, present in PPE could have positive effects to change levels of the electrolytes (Palombo, 2006).

In the present research, significant increase was observed in RBCs, hemoglobin, WBCs, platelets, and hematocrit. Conversely, a significant decrease was observed in total leucocyte count (TLC), lymphocytes, and mean corpuscular volume. The PPE dose of 200 mg/kg was more effective than other doses (50, 100, and 150 mg/kg), as it could significantly normalize the altered parameters. The groups that received the stated doses of PPE, except 200 mg/kg, showed distinct changes in their intestinal histology, such as changes in cell structure, visible villi, and mucosal architecture alteration, which were aligned with the previous findings of El-Kady et al. (2021) and Zhao et al. (2018). Results of the prior studies showed that urolithins were produced from pomegranate by metabolizing ellagitannins of intestinal microbiota in pigs, mice, and humans (Cerdá et al., 2003, 2005, Espín et al., 2007). In a study conducted by Yan et al. (2013), PPE demonstrated effectiveness in regulating intestinal function and supporting homeostasis. In contrast to the findings of Zhao et al. (2018), a normal cellular structure was observed in a group treated with 200-mg/kg PPE. Variations in this study could be attributed to differences in experimental models, duration PPE feeding regimen, and environmental conditions.

In the present study, diabetes was induced in mice groups by injecting alloxan intraperitoneally. According to a prior research conducted by Szabadfi et al. (2014), Kliber et al. (1996), and Naseer et al. (2014), alloxan triggers a short-term release of insulin while inhibiting the islet’s response to glucose. This prolonged suppression may contribute to hyperglycemic conditions. Additionally, Weaver et al. (1978), reported that alloxan caused type 1 diabetes mellitus by destroying β cells of islets of Langerhans.

After administering PPE for 28 days, a noticeable decrease in glucose level was observed on different days (day 2, 8, 15, and 22). To lower glucose levels, a maximum dose of PPE (200 mg/kg) was found to be more effective than lower doses (50, 100, and 150 mg/kg), which was in line with the results of prior studies (Attia et al., 2014, Jain e t al., 2012, Khalil, 2004). According to Khalil (2004), PPE effectively reduced post-treatment levels of blood glucose, elevated insulin levels, and increased the number of β cells.

In addition, it was reported that PPE has antioxidant properties of a scavenger of free radicals, and effectively protects β cells of islets of Langerhans from damage (Chidambara Murthy et al., 2002). After 28 days, a substantial increase in bilirubin and CRP values was observed in the positive control G2 group. According to a prior study conducted by Wang et al. (2017), pre- and newly onset diabetes could have elevated bilirubin levels because of oxidative stress and inflammation.

Additionally, a consistently high glucose levels elevate CRP levels (Levy et al., 2004). Compared to the positive control group (G2), a significant decrease was observed in the total bilirubin levels of PPE-administrated groups. The results were the same as reported by Tehseen et al (2022) and Moneim et al. (2011). Also, a significant decrease in CRP values was observed, which was in agreement with the findings of Salama et al. (2021). A similarly significant decrease was observed in direct and indirect bilirubin levels. This decrease in bilirubin levels could be due to presence of a bioactive compound (ellagic acid) in PPE (Ríos et al., 2018; Yağmur and Şahin, 2020). According to the findings of Zhang et al. (2017), a considerable increase was observed in the total counts of RBCs, WBCs, granulocytes, lymphocytes, and platelets in untreated diabetic mice. Findings of Khalil (2004) disagreed with the results of our study, which could be the result of various experimental models, feeding regimens, and environmental variables. Even though different doses of PPE tended to reduce hematological parameters, the results were not in the accepted reference range. PPE at a dosage of 200-mg/kg along with metformin hydrochloride significantly normalizes hematological parameters. Moreover, Machado et al. (2002) also concluded in a study that the homeostatic properties of Punica granatum L. could normalize hematological levels in diabetes.

Similar features were observed in liver histology after comparing PPE-treated groups to the metformin hydrochloride-mediated group in non-diabetic mice. Contrary to the positive control mice (G2), groups that received PPE and metformin hydrochloride showed a dose-dependent improvement. Current investigations concurred with the findings of the studies conducted by Zhang et al., (2023), Faddladdeen and Ojaimi (2019), and Almuttairi RS. 2023. The primary characteristics observed were the central vein with a well-defined shape and regular endothelial lining, absence of perivascular fibrosis, and well-differentiated hepatic cords and nuclei. Studies have shown that the hepatoprotective function of PPE could be due to its phenolic compounds (Faddladdeen and Ojaimi, 2019) and enhancement of enzymatic and nonenzymatic activities (Zhai et al., 2018). According to Khan et al. (2018), PPE has hepatoprotective properties against the toxic effects of carbon tetrachloride in mice liver.

Conclusion

The current study was carried out to find the therapeutic potential of PPE against in vivo-induced diabetes and diarrhea in mice. A significant effectiveness of various doses of PPE (50, 100, 150, 200 mg/kg) was discovered in biochemical and hematological parameters in both diabetes and diarrhea. The therapeutic role of PPE was further confirmed with histopathology of the liver and intestine. Restoration of altered parameters was observed in the experimental models of both antidiabetic and antidiarrheal mice groups, compared to the negative control group. The effectiveness of PPE varied from lower to higher dose. The higher dose (200 mg/kg) was found more effective in normalizing the parameters. The therapeutic restoration of these parameters by PPE confirmed its medicinal potential against diabetes and diarrhea.

Data Availability Statement

All the data generated in the study is given in the manuscript.

Conflicts of Interest

The authors declared no conflict of interest.

Acknowledgments

The authors acknowledged the Deanship of Scientific Research (DSR) at King Faisal University under Ambitious Researcher Track with project No. GRANT 5141. This work was supported by Joint Innovation Special Project of Science and Technology Plan of Sichuan Province (2022YFS0617) to JW and Southwest Medical University postdoctoral grant (00040177) to WA.

REFERENCES

Ahmad E., Jahangeer M., Mahmood A.Z., Aziz T., Alharbi M., Alshammari A., et al. 2023a. Characterization and gastroprotective effects of Rosa brunonii Lindl. fruit on gastric mucosal injury in experimental rats–a preliminary study. Acta Biochim Pol. 70(3): 633–641. 10.18388/abp.2020_6772

Ahmad B., Muhammad Yousafzai A., Maria A., Khan A.A., Aziz T., Alharbi M., et al. 2023b. Curative Effects of Dianthus orientalis against paracetamol-triggered oxidative stress, hepatic and renal injuries in rabbit as an experimental model. Separations, 10: 182. 10.3390/separations10030182

Almuttairi R.S. 2023. The Effects of Metformin Treatment on Diabetic Albino Rats’ Pancreas, Liver, and Kidney Histology. Arch Razi Inst. 28;78(1): 459–463. 10.22092/ARI.2022.359289.2394

Ammara A., Sobia A., Nureen Z., Sohail A., Abid S., Aziz T., et al. 2023. Revolutionizing the effect of Azadirachta indica extracts on edema induced changes in C-reactive protein and interleukin-6 in albino rats: in silico and in vivo approach. Eur Rev Med Pharmacol Sci. 27(13): 5951–5963. 10.26355/eurrev_202307_32947

Ammon H., Thomas P. and Phillips S. 1974. Effects of oleic and ricinoleic acids on net jejunal water and electrolyte movement. Perfusion studies in man. J Clin Invest. 53: 374–379. 10.1172/JCI107569

Ansari M.N., Saeedan A.S., Bajaj S. and Singh L. 2021. Evaluation of antidiabetic and hypolipidemic activity of Barleria cristata Linn. leaves in alloxan-induced diabetic rats. 3 Biotech. 11(4): 170. 10.1007/s13205-021-02728-5

Antonisamy P., Duraipandiyan V., Ignacimuthu S. and Kim J.-H. 2015. Anti-diarrhoeal activity of friedelin isolated from Azima tetracantha lam. in wistar rats. South Ind J Biol Sci. 1: 34–37.

Aqib M.S., Muhammad N., Shafiq U.R., Noor U.L., Tariq A., Alharbi M., et al. 2023. Iron oxide nanoparticles synthesis from madhuca indica plant extract, and assessment of its cytotoxic, antioxidant, anti-inflammatory and anti-diabetic properties via different nano informatics approaches. ACS Omega. 8(37): 33358–33366. 10.1021/acsomega.3c02744

Arnold C. 2013. The new danger of synthetic drugs. Lancet. 382: 15–16. 10.1016/S0140-6736(13)61512-3

Attia N.Y., Abd El-Aleem I.M., El Tobgy K.M., Mohamed H.F. 2014. Biochemical studies on pomegranate. Biochem Studies Pomegranate. 10.21608/assjm.2014.111897

Aziz T., Ihsan F., Ali Khan A., Ur Rahman S., Zamani G.Y., Alharbi M., et al. 2023. Assessing the pharmacological and biochemical effects of Salvia hispanica (Chia seed) against oxidized Helianthus annuus (sunflower) oil in selected animals. Acta Biochim Pol. 70(1): 211–218. 10.18388/abp.2020_6621

Baker D.E. 2007. Loperamide: a pharmacological review. Rev Gastroenterologic Disorders. 7: S11–S8. PMid: 18192961

Boroushaki M.T., Mollazadeh H. and Afshari A.R. 2016. Pomegranate seed oil: a comprehensive review on its therapeutic effects. Int J Pharm Sci Res. 7: 430. 10.13040/IJPSR.0975-8232.7

Bustreo F., Okwo-bele J. and Kamara L. 2015. World Health Organization perspectives on the contribution of the global alliance for vaccines and immunization on reducing child mortality. Arch Dis Childhood 100: S34–S37. 10.1136/archdischild-2013-305693

Cerdá B., Cerón J.J., Tomás-Barberán F.A. and Espín J.C. 2003. Repeated oral administration of high doses of the pomegranate ellagitannin punicalagin to rats for 37 days is not toxic. J Agric Food Chem. 51: 3493–3501. 10.1021/jf020842c

Cerdá B., Tomás-Barberán F.A. and Espín J.C. 2005. Metabolism of antioxidant and chemopreventive ellagitannins from strawberries, raspberries, walnuts, and oak-aged wine in humans: identification of biomarkers and individual variability. J Agric Food Chem. 53: 227–235. 10.1021/jf049144d

Chidambara M.K.N., Jayaprakasha G.K. and Singh R.P. 2002. Studies on antioxidant activity of pomegranate (Punica granatum) peel extract using in vivo models. J Agr Food Chem. 50: 4791–4795. 10.1021/jf0255735

Ejaz A., Muhammad J., Nadeem I.B., Sarwar A., Aziz T., Alharbi M., et al. 2023. Isolation, structure elucidation & antidiabetic potential of Rosa brunonii L. fruit–fight diabetes with natural remedies. J Chil Chem Soc. 68(2): 5887–5894.

Elfalleh W., Hannachi H., Tlili N., Yahia Y., Nasri N. and Ferchichi A. 2012. Total phenolic contents and antioxidant activities of pomegranate peel, seed, leaf and flower. J Med Plants Res. 6: 4724–4730. 10.5897/JMPR11.995

El-Kady A.M., Abdel-Rahman I.A., Fouad S.S., Allemailem K.S., Istivan T., Ahmed S.F., et al. 2021. Pomegranate peel extract is a potential alternative therapeutic for giardiasis. Antibiotics. 10(6): 705. 10.3390/antibiotics10060705.

Espín J.C., González-Barrio R., Cerdá B., López-Bote C., Rey A.I., Tomás-Barberán F.A. 2007. Iberian pig as a model to clarify obscure points in the bioavailability and metabolism of ellagitannins in humans. J Agric Food Chem. 55: 10476–10485. 10.1021/jf0723864

Faddladdeen K.A. and Ojaimi A.A. 2019. Protective effect of pomegranate (Punica granatum) extract against diabetic changes in adult male rat liver: histological study. J Microsc Ultrastruct. 7: 165. 10.4103/JMAU.JMAU_6_19

Gaonkar V.P. and Hullatti K. 2020. Indian traditional medicinal plants as a source of potent anti-diabetic agents: a review. J Diabetes Metab Disord Control (JDMDC). 19: 1895–1908. 10.1007/s40200-020-00628-8

Hayat P., Khan I., Rehman A., Jamil T., Hayat A., Rehman M.U., et al. 2023. Myogenesis and analysis of antimicrobial potential of silver nanoparticles (AgNPs) against pathogenic bacteria. Molecules. 28: 637. 10.3390/molecules28020637

Hou C., Zhang W., Li J., Du L., Lv O., Zhao S. and Li J. 2019. Beneficial effects of pomegranate on lipid metabolism in metabolic disorders. Mol Nutr Food Res. 63: 1800773. 10.1002/mnfr.201800773

Hussain Z, Jahangeer M, Abid S, Najeeb U, Tariq A, Metab A, and Abdulrahman A. 2023. Synthesis and characterization of silver nanoparticles mediated by the mentha piperita leaves extract and exploration of its antimicrobial activities. J Chil Chem Soc. 68(2): 5865–5870.

Iram K., Sobia I., Nureen Z., Suhail A., Tariq A., Fahad A.A., et al. 2023. Isolation, preparation and investigation of leaf extracts of aloe barbadensis for its remedial effects on tumor necrosis factor alpha (TNF-α) and interleukin (IL-6) by in vivo and in silico approaches in experimental rats. Acta Biochim Pol. 6827: 1–7. 10.18388/abp.2020_6827

Ismail T., Sestili P. and Akhtar S. 2012. Pomegranate peel and fruit extracts: a review of potential anti-inflammatory and anti-infective effects. J Ethnopharmacol. 143: 397-405. 10.1016/j.jep.2012.07.004

Jain V., Viswanatha G.L., Manohar D. and Shivaprasad H. 2012. Isolation of antidiabetic principle from fruit rinds of Punica granatum. Evid Based Complement Alternat Med. 10.1155/2012/147202

Kaderides K., Kyriakoudi A., Mourtzinos I. and Goula A.M. 2021. Potential of pomegranate peel extract as a natural additive in foods. Trends Food Sci Technol. 115: 380–390. 10.1016/j.tifs.2021.06.050

Khalil E.A. 2004. Antidiabetic effect of an aqueous extract of pomegranate (Punica granatum L.) peels in normal and alloxan diabetic rats. Egypt J Hosp Med. 16: 92–99.

Khan B.H., Ahmad J., Ahmad F. and Yunus S.M. 2018. Hepatoprotective effect of aqueous extracts of root and peel of in Punica granatum wistar rats. Asian J Pharm Pharmacol. 4: 888–898. 10.31024/ajpp.2018.4.6.26

Lansky E.P. and Newman R.A. 2007. Punica granatum (pomegranate) and its potential for prevention and treatment of inflammation and cancer. J Ethnopharmacol. 109: 177–206. 10.1016/j.jep.2006.09.006

Levy A.P., Gerstein H.C., Miller-Lotan R., Ratner R., McQueen M., Lonn E. and Pogue J. 2004. The effect of vitamin E supplementation on cardiovascular risk in diabetic individuals with different haptoglobin phenotypes. Diabetes Care. 27: 2767–2767. 10.2337/diacare.27.11.2767.

Machado T.D.B., Leal I.C., Amaral A.C.F., Santos K., Silva M.G.D. and Kuster R.M. 2002. Antimicrobial ellagitannin of Punica granatum fruits. J Braz Chem Soc. 13: 606–610. 10.1590/S0103-50532002000500010

Magliano D.J. and Boyko E.J. 2022. IDF Diabetes Atlas. PMid: 35914061

Mamedov N. 2012. Medicinal plants studies: history, challenges and prospective. Med Aromat Plants. 1: e133. 10.4172/2167-0412.1000e133

Mekawi E.M., Sharoba A.M. and Ramadan M.F. 2019. Reduction of acrylamide formation in potato chips during deep-frying in sunflower oil using pomegranate peel nanoparticles extract. J Food Meas charact. 13: 3298–3306.

Moneim A.E.A., Dkhil M.A. and Al-Quraishy S. 2011. Studies on the effect of pomegranate (Punica granatum) juice and peel on liver and kidney in adult male rats. J Med Plants Res. 5: 5083–5088.

Muhammad N., Makhdoom S.I., Rehman S.U., Tariq A., Bashir F., Ali U., et al. 2023. Biosynthesis and mathematical interpretation of zero-valent iron NPs using nigella sativa seed tincture for indemnification of carcinogenic metals present in industrial effluents. Molecules. 28(8): 3299. 10.3390/molecules28083299

Munuswamy H., Thirunavukkarasu T., Rajamani S., Elumalai E.K. and Ernest D. 2013. A review on antimicrobial efficacy of some traditional medicinal plants in Tamilnadu. J Acute Dis. 2: 99–105. 10.1016/S2221-6189(13)60107-9

Mutahar S.S., Mutlag M.A.-O. and Najeeb S.A.-Z. 2012. Antioxidant activity of pomegranate (Punica granatum L.) fruit peels. Food Nutr Sci. 10.4236/fns.2012.37131

Nagami G.T. 2016. Hyperchloremia–why and how. Nefrologia. 36: 347–353. 10.1016/j.nefro.2016.04.001

Naseer A.S. and Muhammad R.K. 2014. Antidiabetic Effect of Sida cordata in Alloxan Induced Diabetic Rats, BioMed Research International. 671294: 15. 10.1155/2014/671294

Navarro V., Villarreal M.L., Rojas G. and Lozoya X. 1996. Antimicrobial evaluation of some plants used in Mexican traditional medicine for the treatment of infectious diseases. J Ethnopharmacol. 53: 143–147. 10.1016/0378-8741(96)01429-8

Naveed M., Batool H., Rehman S.U., Javed A., Makhdoom S.I., Aziz T., et al. 2022a. Characterization and evaluation of the antioxidant, antidiabetic, anti-inflammatory, and cytotoxic activities of silver nanoparticles synthesized using brachychiton populneus leaf extract. Processes. 10(8): 1521. 10.3390/pr10081521

Naveed M., Bukhari B., Aziz T., Zaib S., Mansoor M.A., Khan A.A., et al. 2022b. Green synthesis of silver nanoparticles using the plant extract of acer oblongifolium and study of its antibacterial and antiproliferative activity via mathematical approaches. Molecules. 27(13): 4226. 10.3390/molecules27134226

Palombo E.A. 2006. Phytochemicals from traditional medicinal plants used in the treatment of diarrhoea: modes of action and effects on intestinal function. Phytother Res. 20: 717–724. 10.1002/ptr.1907

Pannemans J. and Corsetti M. 2018. Opioid receptors in the GI tract: targets for treatment of both diarrhea and constipation in functional bowel disorders? Curr Opin Pharmacol. 43: 53–58. 10.1016/j.coph.2018.08.008

Pierce N.F., Carpenter J.R.C.C., Elliott H.L. and Greenough III W.B. 1971. Effects of prostaglandins, theophylline, and cholera exotoxin upon transmucosal water and electrolyte movement in the canine jejunum. Gastroenterology. 60: 22–32. 10.1016/S0016-5085(71)80003-3

Qnais E., Elokda A., Abu Ghalyun Y. and Abdulla F. 2007. Antidiarrheal activity of the aqueous extract of Punica granatum (pomegranate) peels. Pharm Biol. 45: 715–720. 10.1080/13880200701575304

Rajan S., Mahalakshmi S., Deepa V., Sathya K., Shajitha S. and Thirunalasundari T. 2011. Antioxidant potentials of Punica granatum fruit rind extracts. Int J Pharm Pharm Sci. 3: 82–88.

Rasouli H., Yarani R., Pociot F. and Popović-Djordjević J. 2020. Anti-diabetic potential of plant alkaloids: revisiting current findings and future perspectives. Pharmacol Res. 155: 104723. 10.1016/j.phrs.2020.104723

Rauf B., Alysai B., Zahra N., Ahmad S., Sarwar A., Aziz T., et al. 2023. Evaluating the influence of Aloe barbadensis extracts on edema induced changes in C-reactive protein and interleukin-6 in albino rats through in vivo and in silico approaches. Acta Biochim Pol. 70(2): 425–433. 10.18388/abp.2020_6705

Riasat A., Jahangeer M., Sarwar A., Saleem Y., Shahzad K., Ur Rahman S., et al. 2023. Scrutinizing the therapeutic response of phyllanthus exmblica’s different doses to restore the immunomodulation potential in immunosuppressed female albino rats. Eur Rev Med Pharmacol Sci. 27(20): 9854–9865. 10.26355/eurrev_202310_34162

Ríos J.-L., Giner R.M., Marín M. and Recio M.C. 2018. A pharmacological update of ellagic acid. Planta Medica. 84: 1068–1093. 10.1055/a-0633-9492

Robbers J.E., Speedie M.K. and Tyler V.E. 1996. Pharmacognosy and pharmacobiotechnology. (No Title).

Szabadfi K., Pinter E., Reglodi D. and Gabriel R. 2014. Neuropeptides, trophic factors, and other substances providing morphofunctional and metabolic protection in experimental models of diabetic retinopathy. Int Rev Cell Mol Biol. 311:1–121. 10.1016/B978-0-12-800179-0.00001-5

Sahi N., Nguyen R. and Santos C. 2020. Loperamide. In: StatPearls [Internet]. Treasure Island (FL): StatPearls Publishing; 2023 Jan. 2023 Mar 20.

Salama A.A., Ismael N.M. and Bedewy M. 2021. The anti-inflammatory and antiatherogenic in vivo effects of pomegranate peel powder: from waste to medicinal food. J Med Food. 24: 145–150. 10.1089/jmf.2019.0269

Saleem A., Afzal M., Naveed M., Makhdoom S.I., Mazhar M., Aziz T., et al. 2022. HPLC, FTIR and GC-MS analyses of thymus vulgaris phytochemicals executing in vitro and in vivo biological activities and effects on COX-1, COX-2 and gastric cancer genes computationally. Molecules. 27: 8512. 10.3390/molecules27238512

Salmerón-Manzano E., Garrido-Cardenas J.A. and Manzano-Agugliaro F. 2020. Worldwide research trends on medicinal plants. Int J Environ Res Public Health. 17: 3376. 10.3390/ijerph17103376

Semwal D.K., Badoni R., Semwal R., Kothiyal S.K., Singh G.J.P. and Rawat U. 2010. The genus Stephania (Menispermaceae): chemical and pharmacological perspectives. J Ethnopharmacol. 132: 369–383. 10.1016/j.jep.2010.08.047

Shaygannia E., Bahmani M., Zamanzad B. and Rafieian-Kopaei M. 2016. A review study on Punica granatum L. J Evid Based Compl Altern Med. 21: 221–227. 10.1177/2156587215598039

Slaoui M. and Fiette L. 2011. Histopathology procedures: from tissue sampling to histopathological evaluation. Drug Safe Eval Methods Protocols. 69–82. 10.1007/978-1-60761-849-2_4

Sreekumar S., Sithul H., Muraleedharan P., Azeez J.M. and Sreeharshan S. 2014. Pomegranate fruit as a rich source of biologically active compounds. BioMed Res Int. 10.1155/2014/686921

Tan S.Y., Wong J.L.M., Sim Y.J., Wong S.S., Elhassan S.A.M., Tan S.H., et al. 2019. Type 1 and 2 diabetes mellitus: a review on current treatment approach and gene therapy as potential intervention. Diabetes Metab Syndr Clin Res Rev. 13: 364–372. 10.1016/j.dsx.2018.10.008

Tehseen I., Haq T.U., Ilahi I., Khan A.A., Attaullah M., Zamani G.Y., Zaman S. and Ismail I. 2022. Antidiabetic and hepato-renal protective effects of medicinal plants in STZ induced diabetic rats. Braz J Biol. 10(84): e260189. 10.1590/1519-6984.260189

Tunaru S., Althoff T.F., Nüsing R.M., Diener M. and Offermanns S. 2012. Castor oil induces laxation and uterus contraction via ricinoleic acid activating prostaglandin EP3 receptors. Proc Nat Acad Sci. 109: 9179–9184. 10.1073/pnas.1201627109

Udeogu C., Ejiofor C. and Nwakulite A. 2019. Effects of Moringa oleifera leaves methanolic extract on alloxan-induced diabetic Albino rats. Asian J Res Med Pharm Sci. 7: 1–8. 10.9734/AJRIMPS/2019/v7i230119

Walker H.K., Hall W.D. and Hurst J.W. 1990. Clinical methods: the history, physical, and laboratory examinations. PMid: 21250045

Waseem M., Naveed M., Rehman S.R., Makhdoom S.I., Aziz T., Alharbi M., Alshammari A. and Alasmari A.F. 2023. Molecular characterization of spa, hld, fmhA, and lukD genes and computational modeling the multidrug resistance of staphylococcus species through callindra harrisii silver nanoparticles. ACS Omega. 8(23): 20920–20936. 10.1021/acsomega.3c01597

Weaver D.C., Mcdaniel M.L. and Lacy P.E. 1978. Alloxan uptake by isolated rat islets of Langerhans. Endocrinology. 102: 1847–1855. 10.1210/endo-102-6-1847

Yağmur N. and Şahin S. 2020. Encapsulation of ellagic acid from pomegranate peels in microalgae optimized by response surface methodology and an investigation of its controlled released under simulated gastrointestinal studies. J Food Sci. 85: 998–1006. 10.1111/1750-3841.15085

Yan H., Peng K.-J., Wang Q.-L., Gu Z.-Y., Lu Y.-Q., Zhao J., et al. 2013. Effect of pomegranate peel polyphenol gel on cutaneous wound healing in alloxan-induced diabetic rats. Chin Med J. 126: 1700–1706. 10.3760/cma.j.issn.0366-6999.20122728

Zawar H., Muhammad J., Rahman S., Tammana I., Sarwar A., Ullah N., et al. 2023. Synthesis of silver nanoparticles by aqueous extraction of Zingiber officinale and their antibacterial activities against selected species. Pol J Chem Technol. 25(3): 23–30. 10.2478/pjct-2023-0021

Zhai X., Zhu C., Zhang Y., Sun J., Alim A. and Yang X. 2018. Chemical characteristics, antioxidant capacities and hepatoprotection of polysaccharides from pomegranate peel. Carbohydr Polym. 202: 461–469. 10.1016/j.carbpol.2018.09.013

Zhang R., Feng C., Luo D., Zhao R., Kannan PR., Yin Y., Iqbal MZ., Hu Y. and Kong X. 2023. Metformin Hydrochloride Significantly Inhibits Rotavirus Infection in Caco2 Cell Line, Intestinal Organoids, and Mice. Pharmaceuticals. 16(9): 1279. 10.3390/ph16091279

Zhang S., Xu H., Yu X., Wu Y. and Sui D. 2017. Metformin ameliorates diabetic nephropathy in a rat model of low-dose streptozotocin-induced diabetes. Exp Ther Med. 14(1): 383–390. 10.3892/etm.2017.4475

Zhao S.S., Ma D.X., Zhu Y., Zhao J.H., Zhang Y., Chen J.Q. and Sheng Z.L. 2018. Antidiarrheal effect of bioactivity-guided fractions and bioactive components of pomegranate (Punica granatum L.) peels. Neurogastroenterol Motil. 30: e13364. 10.1111/nmo.13364