Download

PAPER

Sensory quality of brown shrimp (crangon crangon L.) stored under various freezing conditions prior to cooking

Xavier H.C. Vermeersch1,2*, Ruben Braeckman1, Koen Chiers2, Geertrui Vlaemynck1

1Technology and Food Science Unit, Flanders Research Institute for Agriculture, Fisheries and Food (ILVO), Melle, Belgium;

2Department of Pathobiology, Pharmacology and Zoological Medicine, Faculty of Veterinary Medicine, Ghent University, Merelbeke, Belgium

Abstract

Freshly caught brown shrimp (Crangon crangon) are prone to rapid degradation after death. Freezing the unprocessed shrimp shortly after catch provides a possible solution to maintain product quality until further processing. In this study, Shrimp were frozen under three conditions (individually frozen, vacuum packed or glazed), either directly at −20°C or deep frozen at −50°C for three hours and subsequently stored at −20°C. A trained sensory panel assessed the organoleptic quality of brown shrimp that were cooked after 2 and 4 months of raw-frozen storage. Shrimp cooked under the same conditions immediately after the catch, then stored at −20 for maximum 1 month were used as reference. The quality of the frozen shrimp was also visually evaluated after one year. The individually frozen shrimp remained closest to the reference samples in terms of colour and odour when stored at −20°C, and closest to the reference for taste when initially frozen at −50°C. Vacuum-packed shrimp scored less well and glazed samples were omitted from the experiments beyond 2 months of storage due to visual deterioration. In conclusion frozen storage of raw shrimp is possible for short periods up to 4 months, albeit with perceivable changes in organoleptic properties of the final cooked product.

Key words: microbial analysis, seafood, sensory analysis, shelf-life

*Corresponding Author: Xavier H.C. Vermeersch, Technology and Food Science Unit, Flanders Research Institute for Agriculture, Fisheries and Food (ILVO), Brusselsesteenweg 370, 9090 Melle, Belgium. Email: [email protected]

Received: 28 March 2023; Accepted: 5 December 2023; Published: 1 February 2024

DOI: 10.15586/ijfs.v36i1.2350

© 2024 Codon Publications
This is an Open Access article distributed under the terms of the Creative Commons Attribution-NonCommercial-ShareAlike 4.0 International (CC BY-NC-SA 4.0). License (http://creativecommons.org/licenses/by-nc-sa/4.0/)

Introduction

European brown shrimp (Crangon crangon) is an important commercial resource, with an estimated annual landing value over €100 million, representing the total landing effort of six countries (Belgium, France, Germany, the Netherlands, Denmark, and the United Kingdom) (FAO, 2013; Hufnagl, 2009). This corresponds to approximately 30,000 tons of commercial sized shrimp (total body length >50 mm) (ICES, 2011).

The shrimp are cooked immediately on the ship after each haul when the catch is retrieved from the nets and after being mechanically sorted to separate the by-catch (Broekaert et al., 2013, Vermeersch et al., 2018). However, in recent years the combination of a growing demand for fresh and unprocessed seafood and a reduced income due to dropping prices for cooked shrimp has led the fishermen to experiment with the live landing of brown shrimp to supply a new niche market to create an added value product (Vermeersch et al., 2018). Landing unprocessed, raw or live shrimp opens up novel possibilities for innovative processing on land and ensures a better control over the overall quality of the final product (Verhaeghe et al., 2016). As a downside, the long-term post-catch survival of brown shrimp is difficult to achieve and the shrimp rapidly spoils after death (Broekaert et al., 2013, Bondoc, 2014).

Long-term storage by raw-freezing the shrimp shortly after the catch could offer an alternative solution but has not been attempted commercially so far. Additionally, it also provides an opportunity to mitigate the effects of a fluctuating supply by establishing a short-term buffer for periods of diminished catch volumes and/or higher demand during for example end-of-year celebrations when the shrimp are available in lesser quantities. However, raw-freezing shrimp can be challenging and the freezing process must be initiated as soon as possible to prevent product degradation (Loy-Hendrickx et al., 2018). Without applying an appropriate conservation method, the shrimp quickly degrades post-mortem as a result of enzymatic and microbiological activity, leading to detrimental changes in texture and taste (Haard, 2002, Bondoc, 2014). Although freezing greatly improves the conservation potential of shrimp, deterioration during the frozen state is not fully halted and still continues over time (Benjakul et al., 2003). Various processes such as oxidation, protein denaturation, structural muscle damage, and the formation of ice crystals during frozen storage can have an important negative impact on quality of the final product (Matsumoto, 1979; Sikorski & Kolakowska, 1990; Sriket et al., 2007; Xiong, 1997). These processes all contribute to undesired off-flavours, dehydration, weight loss, drip loss, and toughening of the muscle tissue (Bhobe & Pai, 1986; Londahl, 1997). Freezing at the lowest possible temperatures is therefore important to minimize unavoidable quality changes (Londahl, 1997).

During and after thawing, shrimp tissues are additionally damaged by physiological, chemical, and microbiological changes (Sriket et al., 2007). It is particularly important that raw frozen shrimp are cooked immediately after removing them from frozen storage to prevent melanosis caused by polyphenol oxidase (PPO) (Verhaeghe et al., 2016). PPO is an important endogenous spoilage enzyme that causes a black discolouration (melanosis) of all body tissues by oxidising phenol substrates to quinones which are in turn transformed into melanins (Kim et al., 2000). Degradation and melanosis of the raw-frozen shrimp can be mitigated by shortening the thawing process or by directly placing the frozen shrimp in the boiling water to immediately initiate the cooking process.

Sensory evaluation is commonly used as a tool for the assessment of food freshness and quality. Our aim was to explore through sensory analysis how different methods of raw-freezing unprocessed brown shrimp impacts the sensory appreciation of the final product after 2 and 4 months of frozen storage by comparing these with brown shrimp that were immediately cooked post-harvest what has not been described earlier in literature. Descriptive analysis panels were held and a score was provided by trained panelists for the six tested sensory attributes (Chewiness, Colour, Crunchiness, Moisture, Odour and Taste). The overall quality, acceptability and food-safety of the final product was evaluated by comparing results of sensory and microbiological analyses.

Materials and Methods

Sampling

Live brown shrimp (C. crangon) were obtained directly from the last haul of a Belgian shrimp trawler at the port of Nieuwpoort (Belgium) at the time of landing. A homogeneous sample of live shrimp was taken from the mechanically sorted catch and transported to the research facilities of the Flanders Research Institute for Agriculture, Fisheries and Food (ILVO) in Melle, Belgium, for further processing using the method detailed in Vermeersch et al. (2018). The reference samples were obtained from the same ship as the test samples using the same method, but were collected approximatively 1 month prior to each sensory evaluation.

Experimental design

Immediately after arrival at the research facility, the shrimp were briefly placed on a layer of absorbent paper to drain excess water, then divided in equal sub-samples of 4 kg each that were frozen under three different conditions: Individually frozen (IF), Vacuum frozen (VAC) and Glazed (GLA). IF samples were loosely packed in large zip bags. VAC samples were packed in vacuum bags, then vacuum--packed using a VC999 K5N Chamber Machine standard model with MAP (Modified Atmosphere Packaging) option (Inauen Maschinen AG, Melonenstrasse 2, CH-9100 Herisau, Switzerland). GLA samples were initially packed in large zip bags and frozen according to the applied -freezing method (see below), then after 24 hours of frozen storage at −20°C dipped in water that was cooled at ±1°C for 5 seconds, and packed in zip bags again to be stored at −20°C for the remaining conservation period.

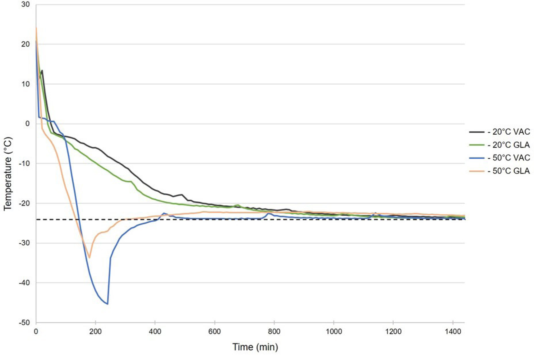
Two freezing temperatures were applied for each condition. One sample was frozen directly at −20°C in an Isocab freezer room, another was first cryogenically frozen at −50°C for three hours using an Epsilon 2−10D LSCplus freeze dryer (Martin Christ, Gefriertrocknungsanlagen GmbH, An der Unteren Söse 50, 37520 Osterode am Harz.), then stored at −20°C in an Isocab freezer room for the remaining conservation period. The evolution of the core temperature of the shrimp was monitored for each freezing method for GLA and VAC during the initial hours of the freezing process using a temperature logger (Figure 1).

Figure 1. Evolution of the core temperature in the shrimp samples VAC and GLA during the freezing process performed once at −20°C and once at −50°C for three hours, then stored at −20°C.

Sample preparation

One day prior to the sensory evaluation panel, the raw-frozen shrimp were cooked under controlled conditions in a test kitchen setup. This was done by directly placing the frozen shrimp into boiling water with a salt concentration of 3.5% (35 ppm, equivalent to natural seawater) (Fine cooking salt, packed in 1 kg portions, Colruyt N.V./S.A. Edingensesteenweg 196, 1500 Halle, Belgium) at a ratio of 200 g/L. The shrimp were boiled for 150 seconds (2 min 30 sec). Immediately after boiling, the shrimp were transferred to a cooling container with water containing 3.5% salt (≤ 5°C) for 1 minute. The shrimp, after draining the excess water through a colander for 10 minutes, were then peeled by hand and placed overnight in the refrigerator (4°C).

In contrast to the test samples, the raw shrimp used for the reference samples were boiled alive immediately after arrival at the research facility using the same cooking method as for the test samples. However, after the cooling step, the shrimp were vacuum-packed and directly frozen at −20°C for a duration of approximatively 1 month. One day prior to the sensory evaluation panel, the reference samples were unfrozen at room temperature, peeled by hand, and then placed overnight at 4°C.

Sensory evaluation

A trained descriptive sensory evaluation panel was organised twice, once after 2 months and once after 4 months, conform with ISO 8589:2007. The evaluation form was projected on a flatscreen in front of the assessors with touchscreen capabilities while samples designated with a randomised number by the system and in a random sample order were presented to them. Assessors compared the organoleptic properties of the test samples with the reference sample and were asked to arrange the samples according to their preference on a continuous line scale with only a dash at the start and the end. The software then converts the data to a discontinuous line scale with a range from zero to ten for further analysis. A higher score reflects a higher preference. The sensory attributes that were scored were: Chewiness (from soft to hard), Colour (from unattractive to attractive), Crunchiness (from mushy to crunchy), Moisture (from soggy to dry), Odour (from unpleasant to pleasant) and Taste (from bad taste to good taste). A final sensory test was planned to be held after one year of frozen storage but was cancelled given the strongly deteriorated visual aspect of the shrimp after thawing and cooking. The sensory panel included 33 in-house trained testers for the first sensory evaluation after 2 months (33 replicates), and 36 trained testers for the second evaluation after 4 months (36 replicates). For practical reasons, each sensory evaluation panel was divided into two consecutive sessions held on the same day to accommodate for the processing of the large number of samples. In the first session the samples frozen at −20°C were presented along with a reference sample. The shrimp frozen at −50°C and a reference sample were presented in the second session. The reference samples for both sessions were identical and prepared from a single batch of freshly caught raw shrimp that were cooked 1 month prior to the sensory evaluation panel and conserved frozen at −20°C until thawed and acclimatised to room temperature shortly before use. Rating of the samples was done in an environmentally controlled room with partitioned booths under white led light (∼ 4000 K).

Data acquisition and processing

Sensory panel data was collected with FIZZ Biosystems software (Couternon, France) using the FIZZ Acquisition software package and the processing was done with the FIZZ Calculations software package by applying an ANOVA and a Principal Component Analysis (PCA). A Duncan’s Multiple Range Test was used as a post hoc test. Normality checks for the ANOVA were performed with a Kolmogorov-Smirnov and χ2 test with a 95% confidence interval. P values < 0.05 were considered statistically significant.

Microbial analysis

A 10 g tissue sample was taken from raw shrimp at the start of the experiments prior to freezing. Additional samples (10 g) were taken from raw-frozen sub-samples each following month until the fourth month. For analysis, each sample was transferred aseptically to a stomacher bag, 90 mL of maximum recovery diluent (MRD, Oxoid) was added and the mixture was homogenised for 2 min. Samples (0.1 mL) of serial dilutions in MRD of the homogenates were poor plated on transparent polystyrene petri-dishes (90 × 15 mm with bevelled ridge) for the two growth media: plate count agar (PCA, Oxoid, CM0325) and Lyngby Iron Agar + L-cysteine (IA, Oxoid, CM964). Dehydrated plate count agar (PCA) was prepared according to the instructions of the manufacturer (Add 17.5 g to 1 litre of distilled water. Dissolve by bringing to the boil with frequent stirring, mix and distribute into final containers. Sterilise by autoclaving at 121°C for 15 minutes). Dehydrated Iron Agar (IA) prepared according to the instructions of the manufacturer (Add 46.2 g to 1 litre of distilled water. Dissolve by bringing to the boil with frequent stirring, mix and distribute into final containers. Sterilise by autoclaving at 121°C for 15 minutes). Standard incubation periods and temperatures for the specific media were used, namely 3 days at 21°C for PCA, and 3 days at 32°C for IA. The total number of viable colony forming units per gram of sample is expressed as log (cfu/g). All microbial analyses were performed in duplicates. PCA was used to detect a wide range of bacteria that are naturally present on raw shrimp. In addition, IA served to detect the presence of H2S producing microorganisms, which typically develop as black colonies on this medium. The results were compared with the threshold values (target-, tolerance- and ‘best before date’) for raw shrimp meat to assess food safety as defined by -Loy-Hendrickx et al. (2018).

Results

Freezing time

Figure 1 shows the evolution of the core temperature of the brown shrimp during the initial hours of the freezing process for the glazed and the vacuum-packed shrimp at the two applied freezing temperatures. Core temperatures between sample types were following a similar evolution over time for each freezing method. Samples frozen at −20°C reached the target storage temperature after about ten hours (600 min.), samples that were first freeze-dried at a set temperature of −50°C reached the storage temperature of −20°C after exactly two hours (120 min.), but didn’t reach the targeted −50°C. The glazed shrimp reached a minimum core temperature of −33°C during the quick freezing process, while the vacuum-packed sample reached −45°C.

Microbiological analysis

The total colony counts for the control sample (raw unprocessed shrimp) was 5 log cfu/g on PCA (Figure 2) and 5.5 log cfu/g on IA (Figure 3). These numbers correspond with the target value of 5 log cfu/g for raw and unprocessed fisheries products (Loy-Hendrickx et al., 2018). The total bacterial count that was measured month by month (month 1 → 4) was situated between 4.2 log cfu/g and 5.4 cfu/g on PCA, and between 4.6 cfu/g and 5.8 cfu/g on IA. The results showed that after 4 months of frozen storage, the total microbial count remained under the tolerance value of 6 log cfu/g and well under the ‘best before/use by’ value of 7 log cfu/g. No black colonies were found on most samples, apart from very rare exceptions where only one or just a few small colonies appeared.

Figure 2. Total colony counts (TCC) for psychrotrophic bacteria incubated at 21°C on PCA medium during the first 4 months of conservation compared to the reference sample consisting of freshly caught raw shrimp.

Figure 3. Total colony counts (TCC) for bacteria incubated at 32°C on IA medium during the first 4 months of conservation compared to the reference sample consisting of freshly caught raw shrimp.

Sensory evaluation

Frozen storage at –20°C

The samples showed a significant difference between the treatments for the attributes, colour (p < 0.001) and moisture (p < 0.05), after 2 months of storage, with the most attractive colour being attributed to the reference samples and the highest moisture content to the glazed samples (Figure 4A). The other attributes were not perceived as significantly different between treatments. After 4 months, only taste was significantly different between the samples, with REF and IF being closest, and VAC scoring a significantly less attractive taste compared to both other treatments (p < 0.01) (Figure 4B).

Figure 4. Spider diagrams visualising the results of the sensory evaluation for six attributes, for samples stored at −20°C after 2 months (A) and after 4 months (B). Significance between all treatments is indicated with (*): 5%, (**): 1%, (***): 0.1%. NS = no significance.

Principal component analysis (PCA) revealed that treatments didn’t appear to cluster together, and that REF was clearly differentiated from the other treatments (Figure 5A). IF and VAC were the most similar to REF when projected on the first principal component PC1 which accounted for 90.7% of the variation in the data. GLA was stinkingly the most different from REF, based on higher scores for chewiness and moisture content.

Figure 5. Principal component analysis (PCA) biplot with score data for the treatments and loading data for the attributes. Raw shrimp were frozen at −20°C for a period of 2 months (A) and 4 months (B).

Figure 5B shows that these general trends remained the same after 4 months of frozen storage, although GLA was omitted from the analysis since the sample was no longer considered fit for consumption as a result of a strong negative change in general appearance.

IF remained the closest to REF although none of the treatments clustered together. After 2 months, the attributes taste and crunchiness strongly clustered together showing a very strong positive correlation, whereas after 4 months a shift occurred and only odour and colour, and in a lesser extend also taste were positively correlated to each other. In both cases, taste was projecting in the opposite direction of moisture, revealing a strong negative correlation between these two attributes.

Frozen storage at −50°C

In comparison to the samples that were frozen directly at −20°C, the samples frozen at −50°C were first -subjected to a quick-freezing process before being kept frozen at −20°C for the remaining conservation period. This difference in freezing protocol translates in a significantly worse evaluation for GLA for the different attributes after 2 months, with exception of moisture and chewiness. REF remained the best for taste, odour and colour, and scored very similarly to IF and VAC for crunchiness. Significant differences between the treatments are explained by the much lesser score of GLA for colour, odour, crunchiness and taste. IF and VAC are not significantly different amongst each other for colour, although all treatments score significantly less compared to REF.

After 4 months, a significant difference between REF, IF and VAC samples was detected for taste and colour (p < 0.05), while a difference (p < 0.01) was detected for chewiness. The odour, crunchiness and moisture were not significantly different between treatments, although the reference sample scored the best for odour and crunchiness and was deemed less moist than the other samples.

The PCA analysis (Figure 7A) shows that IF and VAC are correlated the most with REF, with IF being the closest to REF after 2 months. However, GLA is very negatively correlated with the other treatments, as confirmed by the results from Figure 6A (spider diagram). The attributes don’t particularly cluster together although taste, colour and odour are still positively correlated to each other. After 4 months, IF remained closest to REF although none of the treatments clustered together (Figure 7B).

Figure 6. Spider diagrams visualising the results of the sensory evaluation for six attributes, for samples initially freeze-dried at −50°C, then stored at −20°C after 2 months (A) and after 4 months (B). Significance between all treatments is indicated with (*): 5%, (**): 1%, (***): 0.1%. NS = no significance.

Figure 7. Principal component analysis (PCA) biplot with score data for the treatments and loading data for the attributes. Raw shrimp were initially freeze-dried at −50°C, then stored at −20°C for a period of 2 months (A) and 4 months (B).

After one year of frozen storage

Shrimp that were raw frozen during one year following the IF method were thawed and cooked to investigate the impact on product quality of long-term raw frozen storage. It was found that the thawed shrimp showed a distinct milky-white discolouration (Figure 8A) which made them visually extremely unattractive and unsuited for consumption. As a test the shrimp were cooked applying the same cooking protocol as for the sensory panel (Figure 8C–D), revealing that the structural integrity of the shrimp was compromised (Figure 8E). Cooked shrimp lost appendages and pieces of body tissues, or were partly disintegrated during cooking.

Figure 8. (A) Side by side comparison of colour in shrimp that were individually raw-frozen (IF) at −20°C during one year (after thawing). (B) Freshly caught raw shrimp (unprocessed). (C) Raw-frozen shrimp after one year at −20° in the cooking water revealing a strong whitish discolouration. (D) Same shrimp as in (C) after cooking. (E) pieces of shrimp, mainly composed of appendages that remain in the colander after removal of the cooked shrimp.

Discussion

In this study, three methods for raw-freezing brown shrimp were tested to investigate their effect on the organoleptic properties after cooking. The desired attributes for cooked shrimp are a good taste, attractive colour, pleasant odour and an enjoyable level of crunchiness, while not being too chewy or too soggy. This is reflected in the results where the different freezing treatments generally resulted in lesser scores for taste, colour, odour and crunchiness, and higher scores for chewiness and moisture. Shrimp that were individually frozen in zip bags at −20°C remained closest to the reference samples in terms of colour and odour after 2 months of storage, although colour was perceived as significantly different between the treatments. Vacuum-packed shrimp featured the second-best results, and acceptable results were obtained for the glazed shrimp but only during the first 2 months of frozen storage. All treatments revealed a significant difference in moisture, which made them soggier compared to the reference sample and therefore less enjoyable to the consumer. Subjecting the shrimp to a freeze-drying step to reach much lower freezing temperatures at the initial phase of conservation had a negative impact on the quality of the product and caused the treatments to end up with a significantly difference in appreciation by the sensory analysis panel for taste, colour, odour and crunchiness after 2 months. The glazed samples were impacted the most and found to be visually unacceptable after cooking after 4 months of frozen storage and were therefore omitted from the sensory analysis. The results showed that degradation continued over time even though individually frozen and vacuum frozen samples were still fit for consumption after 4 months, albeit with a perceivable loss in quality. Unacceptable quality loss was observed for all samples when tested after one year of frozen storage (Figure 8).

While raw freezing other commercially significant crustaceans, like giant freshwater prawns, such as Macrobrachium rosenbergii, has been a common practice for decades, there is currently no information available in the literature regarding the freezing of raw European brown shrimp. As a result, it is difficult to draw direct comparisons between these and brown shrimp. Silva and Handrumrongkul (1998) demonstrated that cryogenically freezing live giant freshwater prawns (M. rosenbergii) resulted in long conservation times when subsequently stored at −18°C. Despite good acceptability amongst sensory panellists after 225 days (7.5 months) of frozen storage, appendages were observed to fall off after thawing and a significant softening of the tissues was detected when prawns were thawed for more than four hours prior to cooking. In contrast with European brown shrimp that are trawled by towing twin beam trawls for about two hours, giant prawns are harvested by hand or scooped from the rearing/cultivation ponds with small nets, and don't suffer from the crushing pressure that is occurring inside the cod end of the net during fishing at sea. Due to their much larger size prawns are also less likely to suffer from physical damage or die during harvesting, while in brown shrimp fisheries a large part of the catch may already have died or suffered injuries depending on the impact of the handling steps between trawling and processing (Vermeersch et al., 2018). These differences in harvesting and handling results in live--frozen prawns being much less likely to have suffered physical damage prior to freezing compared to brown shrimp. Physical injuries and the resulting enzymatic reactions could quickly alter the quality of the brown shrimp prior to, during and after freezing. Hale and Waters (1981) demonstrated that frozen M. rosenbergii that were subjected to glazing revealed a difference in texture of the tail meat depending on whether the shrimp were frozen as a whole or only as a tail. Raw or precooked whole shrimp had a significantly softer texture than the samples stored as raw tails. A difference that could be attributed to the presence of digestive enzymes in the cephalothorax (head) where all the prawn’s main organs are located. Quality expressed in terms of consumer acceptability of the raw frozen prawns declined over time, with an estimated storage life of about 7 months for whole prawns and about 10 months for tails. Removing the head of brown shrimp, where all organs and the majority of enzymatic activity originates, prior to raw-freezing would greatly help to mitigate the adverse effects of enzymatic degradation and melanosis. Unfortunately, the small size of brown shrimp and the lack of an automated system to perform this task doesn’t allow for such a process to be used. Alternatively, Bono et al. (2012) have shown that freezing raw shrimp under MAP using a 100% N2 atmosphere can effectively delay the post-mortem melanosis and other chemical deteriorations. This could be a promising method for the commercial exploitation of small batches of raw frozen brown shrimp for a niche market. However, this method is not suitable for bulk quantities, where chemical melanosis-inhibiting treatments could offer a solution (Martinez-Alvarez et al., 2020).

The use of vacuum packaging during frozen storage could have a positive effect on long-term storage of shrimp by preventing lipid oxidation (Srinivasan et al., 1998). However, vacuum packaging also increases the contact surface between the individual shrimp, promoting even further the negative effects of enzymes on the more homogenic frozen mass, which would effectively counteract any positive effect that vacuum packaging offers over individual freezing.

Conclusion

Based on our findings for brown shrimp, we advise using an individual freezing technique and a maximum 2-month conservation period for best results, though the overall quality holds up well for up to 4 months. A short-term commercial supply of raw frozen shrimp could be produced using this technique, which could then be processed and/or cooked on land under carefully monitored circumstances. To ensure a consistent supply and mitigate frequently occurring fluctuations in daily catch rates, an even shorter frozen storage period of approximately one week could be implemented. Nevertheless, the longer periods of reduced supply brought on by the natural seasonality of the shrimp fisheries cannot be compensated for by the suggested brief frozen storage period. While raw-freezing live shrimp offers a unique opportunity to support alternative processing techniques, like cooking on land and creating new opportunities for the trade in raw or unprocessed shrimp, it's still a novel technique in the early stages of development that will undoubtedly face many obstacles. All parties involved, from fishermen to traders, must put in more work to successfully implement raw-freezing brown shrimp, and it must always be done under stringent guidelines. To start, the catch must be handled more carefully on the ship to reduce mortality as soon as possible and reduce the risk of enzymatic degradation and melanisation of the shrimp before freezing.

Acknowledgements

The authors are truly appreciative of all the employees at the Flanders Research Institute for Agriculture, Fisheries and Food (ILVO) who provided a helping hand and invested valuable time to manually peel the thousands of shrimp used for the sensory evaluation sessions. They also thank the trained panellists for their evaluation and professional opinion. Finally, they thank the Flemish fishermen (Nieuwpoort, Belgium) who provided live European brown shrimp from their most recent haul for the experiments.

Funding Sources

This research was funded by the European Fisheries Fund (EFF), with support from the Belgian province West–Vlaanderen.

Conflict of Interest

The author(s) declares no conflict of interest.

REFERENCES

Benjakul S, Visessanguan W, Thongkaew C, Tanaka M. Comparative study on physicochemical changes of muscle proteins from some tropical fish during frozen storage. Food Res Int. 2003;36(8); 787–95. 10.1016/S0963-9969(03)00073-5

Bhobe A, Pai JS,. Study of the properties of frozen shrimps. J Food Sci Technol. 1986;23;143–7.

Bondoc I. The veterinary sanitary control of fish and fisheries products. In: Control of products and food of animal origin (Controlul produselor și alimentelor de origine animală - Original Title). Vol. I. “Ion Ionescu de la Brad.” Iași Publishing; 2014. pp. 264–346.

Bono G, Badalucco CV, Cusumano S, Palmegiano GB. Toward shrimp without chemical additives: A combined freezing-MAP approach. Food Sci Technol. 2012:46(1):274–9. 10.1016/j.lwt.2011.09.020

Broekaert K, Heyndrickx M, Herman L, Devlieghere D, Vlaemynck G. Molecular identification of the microbiota of peeled and unpeeled brown shrimp (Crangon crangon) during storage on ice and at 7.5°C. Food Microbiol. 2013;36(2):123–34. 10.1016/j.fm.2013.04.009

FAO. Fisheries and Aquaculture Department. Species Fact Sheets: Crangon. 2013. http://www.fao.org/fishery/species/3435/en

Haard N. The role of enzymes in determining seafood color, flavor and texture. In: Bremner HA, editor. Woodhead Publishing Ltd.; 2002. 10.1201/9781439823170.ch13

Hale MB, Waters ME. Frozen storage stability of whole and headless freshwater prawns, Macrobrachium rosenbergii. Marine Fisheries Rev. 1981;43(12):18–21.

Hufnagl M. Population dynamics and lifecycle of the brown shrimp Crangon crangon (Caridea, L. 1758). Experimental, biochemical and theoretical aspects. Universitat Hamburg.

ICES. Report of the working group on Crangon fisheries and life history (WGCRAN). 2011.

Kim J, Marshall MR, Wei CI. Polyphenoloxidase. In Haard NF, Simpson BK, editors. Seafood enzymes: Utilization and influence on postharvest seafood quality. CRC Press. 2000. pp. 271–315.

Londahl G. Technological aspects of freezing and glazing shrimp. Infofish Int. 1997;3:49–56.

Loy-Hendrickx AD, Uyttendaele M, Vermeulen A, Jaxsens L, Devlieghere F. Microbiological guidelines: support for interpretation of microbiological test results of foods. Brugge: die Keure, 2018. pp. 38–40.

Martinez-Alvarez O, Lopez-Caballero ME, Montero P, Gomez-Guillén MC. The effect of different melanosis-inhibiting blends on the quality of frozen deep-water rose shrimp (Parapenaeus longirostris). Food Control. 2020;109:1–9. 10.1016/j.foodcont.2019.106889

Matsumoto JJ. Denaturation of fish muscle protein during frozen storage. In Fennema OR, editor. Protein at low-temperatures. American Chemical Society. 1979. pp. 205–24. 10.1021/ba-1979-0180.ch010

Sikorski ZE, Kolakowska A. Freezing of marine food. In: Sikorski ZE, editor. Seafood: resources, nutritional, composition and preservation. CRC Press. 1990. pp. 112–24.

Silva JL, Handrumrongkul C. Storage stability and some costs of cryogenically frozen, whole freshwater prawns. Mississippi Agricultural and Forestry Experiment Station Bulletin. 1998;1073:1–5.

Sriket P, Benjakul S, Visessanguan W, Kijroongrojana K. Comparative studies on the effect of the freeze-thawing process on the physicochemical properties and microstructures of black tiger shrimp (Penaeus monodon) and white shrimp (Penaeus vannamei) muscle. Food Chem. 2007;104(1):113–21. 10.1016/j.foodchem.2006.11.004

Srinivasan S, Xiong YL, Blanchard SP, Tidwell JH. Effects of freezing and thawing methods and storage time on physicochemical properties of freshwater prawns (Macrobrachium rosenbergii). J Aquatic Food Product Technol. 1998;7(2):47–68. 10.1300/J030v07n02_05

Verhaeghe T, Vlaemynck G, De Block J, Van Weyenberg S, Hendrickx M. Thermal inactivation kinetics of proteases and polyphenoloxidase in brown shrimp (Crangon crangon). Food Chem, 2016;197(Pt A):641–47. 10.1016/j.foodchem.2015.11.024

Vermeersch XHC, Chiers K, Decostere A, Van Weyenbergh S, Vlaemynck G. Evaluation of the effects of onboard sorting and experimental holding practices on the post-catch survival of brown shrimp (Crangon crangon L.). Marine Biol Res. 2018;14:717–27. 10.1080/17451000.2018.1497183

Xiong YL. Protein denaturation and functionality losses. In: Erickson M, Hung YC, editors. Quality in frozen food Chapman Hall/International Thomson Publishing. 1997. pp. 111–40. 10.1007/978-1-4615-5975-7_8