Download

PAPER

Effects of drying methods and acidic strength on physicochemical properties of potassium caseinate

Fatma Maruddin1*, Wahyu Triputra Hasim1, Nursida1, Ratmawati Malaka1, Hikmah Muhammad Ali1, Muhammad Taufik2, Syahriana Sabil3

1Department of Animal Production, Faculty of Animal Science, Hasanuddin University, Makassar, South Sulawesi, Indonesia;

2Agricultural Development Polytechnic of Gowa, South Sulawesi, Indonesia;

3Animal Science Study Program, Faculty of Agriculture, Animal Science and Forestry, Maros Moslem University, Maros, South Sulawesi, Indonesia

Abstract

The aims of the present study were to characterize physicochemical characteristics and chemical structures by Fourier Transform Infrared (FTIR), and mark dissolved protein content, microstructure, and moisture content of potassium caseinate prepared by drying methods and acid strength. The experiment was arranged according to factorial complete randomized design with triplicates, while data from FTIR and microstructure analysis was presented descriptively. The results demonstrated that acids and drying methods for preparing potassium caseinate could increase antioxidant activity, a* score (reddish) and b* score (yellowish). Specifically, freeze-drying method coupled with acid treatments accounted for reducing moisture content but improved viscosity and microstructural properties. Briefly, we could argue that drying techniques and acids established noticeable effects on the quality of potassium caseinate.

Key words: acid, drying method, potassium caseinate, quality

*Corresponding Author: Fatma Maruddin, Department of Animal Production, Faculty of Animal Science, Hasanuddin University Perintis Kemerdekaan Street km 10, Makassar, South Sulawesi 90245, Indonesia. Email: [email protected]/[email protected]

Received: 22 January 2021; Accepted: 19 October 2021; Published 1 January 2022

DOI: 10.15586/ijfs.v34i1.2010

This is an Open Access article distributed under the terms of the Creative Commons Attribution-NonCommercial-ShareAlike 4.0 International (CC BY-NC-SA 4.0). License (http://creativecommons.org/licenses/by-nc-sa/4.0/)

Introduction

Potassium caseinate is derived from casein with aqueous potassium hydroxide (KOH) used to dissolve it (De Souza et al., 2010). Casein itself is a milk protein and contains large amount of essential amino acids as commonly found in other types of casein products. The pH of potassium caseinate is close to neutral, which makes it favorable for food processing. Casein is widely employed in various foods such as cheese, ice cream, edible film, and health supplements (Badem and Ucar, 2017; Sarode et al., 2016).

Chemical composition and functional properties of milk protein and peptides (casein and whey) could be altered rermarkably by processing conditions (Jimenez et al., 2012). Quality of casein could be reduced by improper methods. A few changes in protein structure could be reponsible for release of other chemically bound molecules, but large changes may alter both quantity and quality of the protein. Degradation of protein chains is able to deactivate particular protein that acts as antioxidant (Pralea et al., 2011; Winarno, 2008).

In processing of casein, precipitation is considered important since it accounts for separation of casein from milk. The techniques used may vary from chemical to physical approaches, using chemical agents and control over processing conditions such as temperature, pressure, agitation, and holding time, which influence pH of the solvent, protein conformation, and properties of the final product (Jimenez et al., 2012). Acid precipitation of casein could be a promising method, as commonly applied in food preparation by adding hydrochloric acid (HCl) and acetic acid (CH3COOH), often recognized as strong and weak acids, respectively. Difference in acidity causes various effects to the extent that casein changes into a simple form of protein (Triyono, 2010; Vasbinder et al., 2004).

Further, incredible stage in casein processing is dehydration (Djaeni et al., 2015; Haque and Roos, 2006), which is a final step for producing potassium caseinate. In this case, drying is applied to induce mass transfer process, including removal of water present in the product (Sarode et al., 2016). In addition, drying in the processing of potassium caseinate is further addessed to extend storability of the product, resulting in dry matter, which easily modifies its chemical components. However, it must be considered that product should be dehydrated without reducing the quality of end product. The drying process is often carried out using oven and freeze dryer. Even though oven-drying is less favorable for its undesired effects to color changes of the final product, it is affordable, easy to operate, and available comfortably. Oven-drying seems to be disadvantageous if applied to protein-rich foods, since it can incredibly reduce their quality (Liu et al., 2008). As an alternative technique, freeze-drying is more favorable because it enables to minimize cellular damages because of heat. The main principle of freeze-drying is based on removal of ice from materials through the process of sublimation (Ciurzyńska and Lenart, 2011).

The use of acids and drying methods in isolation of casein inevitably affects its physical and chemical properties. Processing conditions allow to induce deformation of chemical bonds in functional groups of casein from other molecules. Casein is also an important source of peptides that are active biologically. Inactive peptides in protein chain can be turned into an active form and released through stimulation by using acid, enzyme, heating, mechanical treatments, and salts (Felix da Silva et al., 2018; Winarno, 2008). However, the stimulating activities may cause some effects, such as changes in color and microscopic structure, shrinkage, porosity, and reduction of water-binding capacity as well as microscopic destruction. In addition, changes in chemical properties may also occur, such as antioxidative properties, protein content, and moisture content (Raikos, 2010; Witrowa-Rajchert and Lewicki, 2006).

The present study aimed to uncover the effects of acids and drying techniques on the physiochemical properties of potassium caseinate regarding antioxidant activity, content of crude and dissolved proteins, moisture as well as color (L*, a*, and b*) and chemical properties determined by Fourier Transform Infrared (FTIR) analysis.

Materials and Methods

Materials

The materials used were fresh milk, CH3COOH pro-analysis grade, HCl pro-analysis grade, KOH pro-analysis grade, alcohol, and distilled water.

Experimental procedures

Skimming was performed by separating cream from fresh milk using cream separator. Then the skim was pasteurized at 85°C for 5 min. After being stored in refrigerator at 5°C for 24 h, the pasteurized skimmed milk was defatted under aseptic conditions. Casein was precipitated from the skimmed milk using HCl 1N and CH3COOH 1N at 5% (w/v) and 10% (w/v) of the skimmed milk volume, respectively. Under these conditions, pH of casein was in the range of 4.4–4.6. Difference in concentration was due to difference in the acid strength of two acids. Subsequently, filtration was performed to collect casein curd while whey was discarded. The obtained casein curd was then washed thrice using distilled water with the similar volume of discarded whey. At the last washing, the curd was weighed and added to distilled water in 1:1 (w/w) ratio. The pH of casein was also measured and adjusted to 6–7 using KOH. Finally, casein curd was filtered and dried. The oven-drying (Ecocell SIS-B2V/EC111, D112457) was operated at 50°C for 48 h, while freeze-drying (Christ Freeze Dryer, type Alpha-2 LD) was performed at –40°C for 48 h, adopted from the methods described by Badem and Uçar (2017), Kumaresan et al. (2017), and Sarode et al. (2016).

Parameters

DPPH (1,1-diphenyl-2-picrylhydrazyl) Assay

Antioxidant activity was determined using DPPH assay (Pająk et al., 2014). DPPH reagent (0.008 g) was mixed with methanol 50 mL. Sample (1 g) was dissolved in 9-mL distilled water, and the sample solution (1 mL) was mixed with 0.8-mL methanol. This sample solution was prepared in duplicate. Subsequently, 0.8 mL of each sample solution, 0.4-mL ethanol and 1.8-mL methanolic DPPH solution, was mixed. After 60 min, absorbance was measured at 515 nm using ultraviolet–visible spectroscopy (UV-VIS) spectrophotometer (Shimadzu IRP Prestige-21). The antioxidant activity was calculated using Eq. 1:

DPPH%=ADPPHASampelADPPH×100, 1

where ADPPH is the absorbance of DPPH solution, and Asample is the absorbance of sample solution.

Determination of crude protein

Crude protein was quantified by using the method described by AOAC (2019). Briefly, casein (1 g) was transferred into Kjeldahl flask. Subsequently, 1-g copper sulfate (CuSO4) and 2.5-mL concentrated sulfuric acid (H2SO4) were added to the flask, followed with thermal destruction at 100°C for 2 h. After destruction, the mixture was transferred into volumetric flask containing boiling chips. Afterward, 50-mL demineralized water and 15-mL sodium hydroxide (NaOH), 50% (w/v), were added prior to distillation. Then distillate was collected in Erlenmeyer containing 10-mL HCl, 0.02 N. Four drops of each methyl red and methyl blue were added to reach a total volume of 40 mL, then titrated with NaOH and standardized with oxalic acid (H2C2O4), 0.02 N. Titration was stopped after purple color changed into green. The volume of NaOH used was recorded. Protein content was calculated using Eq. 2:

crude protein%=VsVb×N×14.007×6,25W×1002

where Vs is the volume (mL) of the standardized acid used to titrate the sample,

Vb is the volume (mL) of the standardized acid used to titrate a reagent blank, and

W is weight (g) of sample portion of standard

Viscosity

Viscosity was measured according to the method described by Konstance and Strange (1991). Casein solution was prepared with 12% (w/v) casein powder blended with cold water using electric blender (Miyako BL-152 PF_AP) for 10 min. The solution was heated at 95°C for 5 min and left to cool for analysis. The cooled solution was transferred into a glass beaker, and the viscosity was determined using viscometer (with spindle 3) at a speed of 50 rpm. Viscosity was determined using Eq. 3:

Viscosity=value obtained in viscometer×correction factor 3

Color

Digital color meter test (T135) was used to detect color, expressed as L* (0–100, dark to white), a* (–60–+60, green to red), and b* (–60–+60, blue to yellow). Prior to use, the color meter was callibrated to ensure its accuracy (Maruddin et al., 2018).

FTIR analysis

Prior to FTIR analysis, casein (0.2 g) was dissolved in distilled water. The solution was dropped in calcium fluoride (CaF2) window, coupled with another CaF2 window, ensuring that the solution was thoroughly spread onto the surface of window. The CaF2 window was then set in a holder. Analysis was performed using FTIR (Shimadzu IRP Prestige-21; Sari, 2011).

Determination of dissolved protein

Content of dissolved protein was calculated using the Lowry method (Wikandari et al., 2011). Casein (1.5 g) was added in 7.5-mL distilled water and centrifuged for 15 min to collect supernatant. The supernatant was boiled on hotplate, centrifuged for 15 min to collect the final supernatant. The final supernant (2 mL) was added to 1-mL trichloroacetic acid (TCA) 10%, followed with centrifugation for 15 min. Then the sample (0.1 mL) was mixed with distilled water (1.9 mL) and Folin–Ciocalteu reagent (FCR; 2.5 mL), and incubated for 10 min at room temperature. Folin reagent (0.5 mL) was added again and incubated for 30 min till the color changes to blue. The absorbance was determined spectrophotometrically at 600 nm. Bovine Serum Albumine (BSA) was used as a standard solution. The level of dissolved protein was calculated using Eq. 4:

Dissolved protein %=ASampleAcontrolASample×100 4

where Asample is the absorbance of sampel solution and Acontrol is the absorbance of BSA

Microstructure of casein

Microstructural feature of casein was observed using Scanning Electron Microscope (SEM; Hitachi SU 3500). Sample was set with a double adhesive tape, then coated with gold using Hitachi ion sputter MC 1000 in vacuum. Microstructural scanning was carried out in SEM at 20 kV. The image was recorded at different magnifications (20× to 2000×).

Determination of moisture content

Moisture content was determined using the method described by Kumesan et al. (2017). Porcelain was dried in an oven for 15 min, desiccated and weighed (C). Casein (5 g) was transferred into porcelain and weighed (B). The sample was then dried in an oven at 105°C for 2 h, desiccated and weighed (A). Calculation of the moisture content was determined using Eq. 5:

Moisture content%=BCBA×100 5

Results and Discussion

Antioxidant properties of casein

Antioxidant is a compound capable of alleviating oxidation reaction through scavenging of radicals and active molecules (Nahariah et al., 2014; Pająk et al., 2014; Winarsi, 2007). Figure 1a shows the antioxidant activity of casein ranging from 55.74% to 73.12%. This finding is in agreement with the previous result reported by Pralea et al. (2011) that antioxidant activity of casein added with sodium ranged from 45% to 95%.

Figure 1. (a) Antioxidant activity of casein treated with acids and drying methods. Different superscripts above the bars depicted a significant difference (p < 0.01). (b) Content of crude protein in casein treated with acids and drying methods. Different superscripts above the bars depicted a significant difference (p < 0.01). (c) Viscosity of casein treated with acids and drying methods. Different superscripts above the bars showed a significant difference (p < 0.01).

Analysis of variance demonstrated that antioxidant activity was affected by interaction of acids and drying methods (p < 0.01). Additionally, statistical analysis demonstrated a significant difference between processes, that is, between: HCl + freeze-drying and HCl + oven-drying; and CH3COOH + freeze-drying and CH3COOH + oven. The highest antioxidant activity was attributed to CH3COOH + oven-drying, while the lowest one was found in CH3COOH + freeze-drying. The higher antioxidative activity represents stronger effect on free radical scavenging and vice versa. This suggests that sample contains a particular compound responsible for retardation of oxidation reaction. As explained by Simanjuntak et al. (2004), free radicals require electrons from adjacent electron pairs, thus donation of electron is needed to stabilize the radicals. Glab and Boratynski (2017) discussed that free radicals could be in the form of atom, molecule, or compound containing one or more unpaired electrons, which make them highly reactive and unstable.

The results demonstrated that average antioxidant activity of casein prepared from HCl was higher than CH3COOH. It is well known that HCl serves as a strong acid, capable of breaking down peptide bonds. As previously explained by Felix da Silva et al. (2018) and Kusumaningtyas et al. (2015), peptides and amino acids resulted from protein degradation could exert antioxidative activities.

Interestingly, we also found that casein prepared from oven-drying showed a higher antioxidant activity in comparison to that prepared from freeze-drying. The oven-drying could have a high antioxidant ability because of exposure of sample to high temperature, which converts protein into antioxidative peptides. Similarly, Pralea et al. (2011) reported that heating method could alter antioxidant properties of food. Exposure to heat could produce undesired effects on food quality, although some studies have revealed that antioxidant ability increases as more heat is provided. Morales and Babbel (2002) stated that correlation between antioxidant activities and heat level was due to formation of strong antioxidative components. Such components are able to scavenge free radicals resulted from chemical reaction during heating.

Crude protein

Protein is one of the macronutrients found in foods. In this work, the content of crude protein in casein ranged from 48.96% to 53.54%, as depicted in Figure 1b. This suggests that the range is much lower than standard set by Codex Alimentarius (2014), according to which the crude protein content must be at least 88.0%.

Statistical analysis established that interaction of acids and drying methods offered significant effects on the content of crude protein (p < 0.01). Additionally, average content of crude protein in casein prepared by oven-drying was higher than obtained by freeze-drying. This presumably relates to the ability of oven to remove water, which leads to increase in protein content of casein. Kusnandar (2011) argued that level of protein was influenced by coagulating properties of casein, which losses its ability to bind water molecules.

Statistical data exhibit a more satisfied content of crude protein in casein treated with oven-drying in comparison to freeze-drying, while the use of CH3COOH + oven-drying is also more satisfied than CH3COOH + freeze-drying regarding content of crude protein. Felix da Silva et al. (2018) and Sarode et al. (2016) reported that rate of denaturation and agglomeration of milk protein was noticeably controlled by heating and chemical conditions, that is, temperature and pH. These conditions must be emphasized in order to regulate rate of protein denaturation.

The application of HCl produced a completely ionized casein, resulting in the enhancement of crude protein content. Triyono (2010) found that HCl could ionize completely, thus able to degrade protein into smaller structures. As stated by Malaka (2014), precipitation of milk protein could be induced by acids, reaching the isoelectric points. Neutralization occurs if acid reacts with protein in milk, which in turn agglomerates to form a new complex. However, the use of HCl combined with high temperature (in oven-drying) promotes denaturation, which is the major cause of protein destruction and lower crude protein content compared to freeze-drying.

Viscosity

Viscosity constitutes a key parameter related to the characteristic of a fluid. This is noteworthy that viscosity may be incredibly influenced by several factors such as protein conformation, hydration properties, group of hydrophobicity, and distribution of charges.

As exhibited in Figure 1C, the viscosity ranged from 8.33 centipoise [cP] to 58.33 cP. Chairunnisa (1997) reported viscosity of other casein types, such as lactic casein (29.6 cP), co-precipitate casein (70.1 cP), and sodium caseinate (52.7 cP).

The results suggest that several significant factors affect the viscosity of casein, such as interaction of acids and methods of drying (p < 001). Statistical test revealed that types of acids used in freeze-drying showed a higher viscosity than those used in oven-drying. The viscosity tended to decrease due to change in temperature. However, the variability of viscosity in our experiment was considerably affected by acid types. High temperature (oven-drying) treatment can hydrolyze certain peptide bonds. The process changes the conformation of proteins by exposing hydrophobic proteins and resulting in decreased values of viscosity.

Broyard and Gaucheron (2015) asserted that proteolysis resulted in low secondary peptides. The peptides are closely related to a noticeable reduction in viscosity. In addition, casein proteolysis because of the use of acid and temperature during processing causes an increase in exposed fat molecules. As stated by Ting et al. (2016), viscosity was a result of internal friction between fat molecules present in a fluid. In general, the viscosity tends to decrease due to higher concentration of unsaturated fatty acids. Conversely, viscosity rises when the solution is hydrogenated. Raikos et al. (2009) investigated molecular weight of milk components with medium–high fat contents exposed to heat at 50, 95, and 125°C. Heating at >95°C leads to unfolding of protein chains, which promotes denaturation. As a consequence, hydrophobic components (such as fat) were more exposed, then aggregating to form larger molecules.

High temperature is responsible for alleviation of viscosity as it induces destruction of protein structure. We found that viscosity of casein dried using the freeze-drying process was higher than that of oven-drying process. This is in line with the process reported by Chairunnisa (1997) that heat treatment of milk protein isolates at 60°C reduces viscosity. Such condition is associated with thermal aggregation within casein isolates as well as degradation of protein hydrophobicity.

Color

The results revealed that the treatments (use of acids and drying techniques) significantly contributed to the color of casein, as presented in Table 1. L* (dark to white) was found to differ from 81.52 to 91.57. In general, the color of casein tends to be white, linked to its basic color. Regarding the base color of casein, Cheng et al. (2019) and Misawa et al. (2016) have argued that milk brightness is determined by the presence of nutritional components and the effect of processing.

Table 1. Color intensity.

Color parameters Drying methods Average
Acids Freeze-drying Oven-drying
L* Hydrochloric acid 90.92 ± 0.34b,c 81.52 ± 3.68a 86.22 ± 5.65A
Acetic acid 87.31 ± 0.52b 91.57 ± 1.86c 89.44 ± 2.63B
Average 89.12 ± 2.01 86.55 ± 6.09
a* Hydrochloric acid –3.41 ± 0.42a 0.87 ± 0.42b –1.26 ± 2.37A
Acetic acid 0.54 ± 0.15b 0.60 ± 0.20b 0.57 ± 0.20B
Average –1.43 ± 2.18A 0.73 ± 0.35B
b* Hydrochloric acid 15.53 ± 0.42b 20.93 ± 0.32d 18.23 ± 2.97B
Acetic acid 12.82 ± 0.15a 16.94 ± 0.04c 14.88 ± 2.25A
Average 14.17 ± 1.50A 18.93 ± 2.19B

Note: Different superscripts (a,b,c,d) following means in similar rows and columns showed significant difference (p < 0.05). Different superscripts (A,B) following means in similar rows and columns showed significant difference (p < 0.05).

Statistically, L* was significantly affected by interaction between acid types and drying methods (p < 0.01). Further, we found that L* of the casein treated with CH3COOH + oven-drying was comparable with that treated with HCl + freeze-drying. Processing treatments could alter the whiteness degree of casein. The use of HCl (strong acid) seems to more incredibly affect changes in protein structure than CH3COOH (weak acid). In terms of exposure to high temperature, oven-drying was able to reduce degree of whiteness, which could be linked to the Maillard reaction. The reaction promotes interaction between reducing sugars and amino acids, leading to reduction of white intensity of casein. Winarno (2008) explained that the Maillard reaction represents a browning activity triggered by high temperature, promoting reaction between reducing sugars and primary amino groups. Exposure to high temperature causes structural changes in protein, alleviating the intensity of white color.

Regarding a* color, the value was found in the range of –3.41–0.87, affected by the chemical composition of products and processing conditions. The range of a* was noticeably influenced by the chemical composition of products, using whey extract and casein isolate for fermented wine. The value of a* was –0.38–0.70 (greenish to reddish) in edible film made of dangke whey and carrageenan (Maruddin et al., 2018), while casein-based edible film was reported to have an a* score of 4.59–5.20 (reddish; Wahyuni, 2017).

The results showed that the a* score of casein was affected by interaction between acids and drying methods. Furthermore, the a* score of casein treated with HCl + freeze-drying tends to be greenish. Meanwhile, the color of casein prepared with other processes was reddish.

In addition, the use of HCl for casein preparation enables to reform the structure of proteins, which displayed greenish color with presence of riboflavin. As discussed by Malaka (2014), one of pigments in milk is riboflavin, which is water-soluble and yellow-greenish in color.

High temperature in oven-drying during preparation of casein turned a* value into reddish. This is caused by interaction between reducing sugars and amino acids, known as the Maillard reaction, thus producing reddish color. Kusnandar (2011) explained that the Maillard reaction involved reaction of reducing sugars and amine groups that form simple proteins and release water molecules. Presence of water activity in casein escalates rate of reaction. This is in line with the use of high temperature, which could alter color intensity of casein into brownish-reddish.

Regarding b* color, the score ranges from 12.83 to 20.32 (yellowish), as presented in Table 1. The properties of b* are strongly linked to the characteristics of milk protein. In addition, the content of fat left from defatting process may also affect b* score. In general, the score of b* closely relates to carotenoid and riboflavin present in fat. Casein is derived from skimmed milk. Although fat content in casein is low, addition of acids as coagulant could remarkably alter the color of casein. Skimmed milk originally appears bonewhite in color (Umaroh, 2018), which is due to low concentration of fat in skim. Meanwhile, presence of carotenoid and riboflavin in fat accounts for yellownish color of skim. Chairunnisa (1997) found that the b* score of milk protein modified by lactic acid was 12.8-16.4, displayed as a bright yellowish color.

Statistical analysis showed that b* color was affected by interaction of acids and drying methods (p < 0.01). We found that HCl + oven-drying process resulted in bright yellow b* color of casein, while other processes produced casein with a dark yellow color. CH3COOH showed less destruction of protein than HCl. Winarno (2008) demonstrated that application of strong acid could drastically alter polypeptide chains and protein molecules. More the destruction of bonds, more the expansion of molecules. This changes configuration of proteins, leading to an increase in yellow intensity of casein.

The heat produced in oven-drying for casein preparation is able to unfold protein structures, thus uncovering fat molecules buried inside protein structures. This accounts for higher intensity of b* casein, displayed as bright yellow. Broyard and Gaucheron (2015) studied high temperature for hydrolyzing chemical chains of proteins, thereby inducing more intense hydrolytic activity of fats.

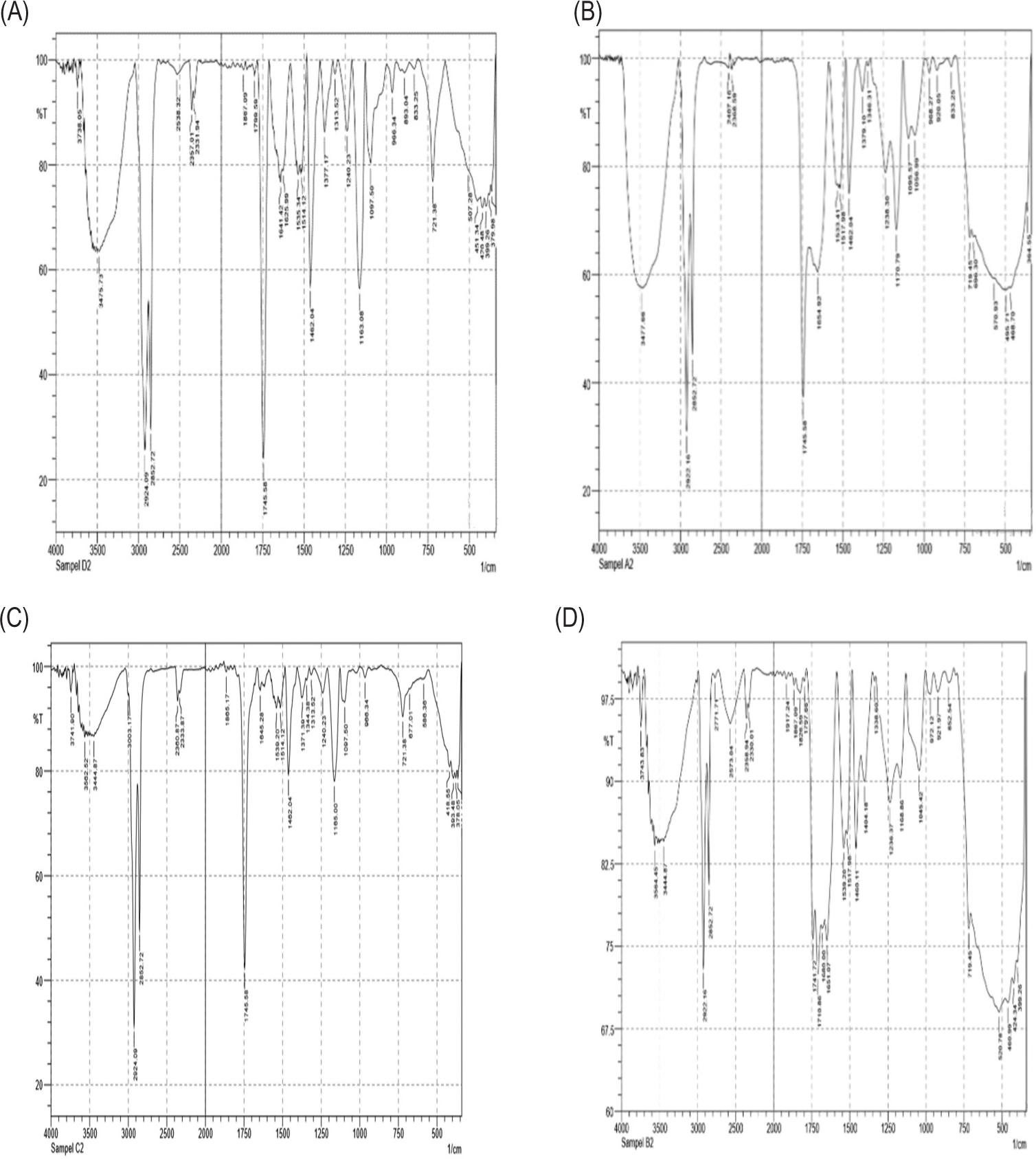
FTIR analysis of Casein

Spectroscopic analysis using FTIR is based on the characteristics of functional groups in proteins. The result is depicted in Figure 2. The HCl + freeze-drying process (Figure 2a) resulted in seven regions of absorbance, with two specific peaks of 2924.09 cm–1 and 2852.72 cm–1. The wave number of 3738.05 cm–1 refers to aromatic group (C-H). In addition, absorption peak of 2924.09 cm–1–3475.73 cm–1 corresponds to methylene, while the peak range of 2538.32–2852.72 cm–1 refers to alkane (C-H bond). Furthermore, hydroxyl groups (O-H) were found in the wave number range of 2331.94–2357.01 cm–1.

Figure 2. FTIR spectrum for casein prepared with: (a) HCl + freeze-drying; (b) HCl + oven-drying; (c) CH3COOH + freeze-drying; (d) CH3COOH + oven-drying.

As depicted in Figure 2b, FTIR spectrum was detected in six regions of absorbance, with two specific peaks at wave numbers of 2922.16 cm–1 and 2852.72 cm–1. The wave number of 3477.66 cm–1 corresponds to hydroxyl group (O-H), characterized by a wide region specific to the O-H group. Absorption peak range of 2852.72–2922.16 cm–1 refers to methylene, which is a asymetric stretch vibration of C-H bonds. Meanwhile, absorption peak range of 2368.59–2407.16 cm–1 is associated with hydroxyl group (O-H).

Figure 2c exhibits seven regions of absorbance with two sharp peaks, namely 2924.09 cm–1 and 2852.72 cm–1. The absorption peaks of 3741.70 cm–1, 3562.52 cm–1, and 3444.67 cm–1 correspond to hydroxyl group (O-H), while the wave number range of 2852.72–2924.09 cm–1 represents methylene, referring to asymetric stretch vibration of C-H bonds. In addition, the wave number range of of 2333.87–2363.87 cm–1 demonstrates hydroxyl group (O-H).

Figure 2d depicts nine regions of absorbance with two sharp peaks. The wave numbers of 3743.83 cm–1, 3564.45 cm–1, and 3444.87 cm–1 correspond to hydroxyl group (O-H). In addition, peak at the wave number range of 2852.72–2922.16 cm–1 indicates presence of methylene group with asymetric stretch vibration of C-H bonds, while several peaks detected at wave numbers of 2771.71 cm–1, 2573.04 cm–1 2358.94 cm–1, and 2330.91 cm–1 refer to hydroxyl group (O-H).

Dissolved proteins

Dissolved proteins refer to a group of simple proteins resulting from degradation of casein after treatment with acids and freeze-drying methods. The content of dissolved proteins in casein was found in the range of 0.35–0.89% (Figure 3), being slightly lower than that reported by Rahayu et al. (2013), reaching a range of 1.14–1.29% in casein treated with calcium chloride (CaCl2).

Figure 3. Contents of dissolved proteins after treatment with acids and freeze-drying methods. Different superscripts above the bars depicted a significant difference (p < 0.01).

Our experimental data statistically established that content of dissolved proteins was significantly affected by the given treatments (p < 0.01). Duncan statistical test revealed that the highest content of crude protein was attributed to HCl + freeze-drying process and next to HCl + oven-drying process. A strong acid such as HCl can iozine completely; consequently, this promotes the conversion of uncharged protein molecules into positive charged molecules. Thus, such condition increases the solubility of proteins. Winarno (2008) reported that treatment with a strong acid enhanced protein solubility because of changes in charge of proteins. Meanwhile, Kusumaningtyas et al. (2015) reported that acid treatment was also effective in destroying complex of protein molecules, converting them into simple parts such as peptides and amino acids.

Furthermore, difference in the formation of dissolved proteins is also linked to the drying techniques. As mentioned previously, HCl coupled with freeze-dyring produced higher quantity of dissolved proteins than HCl coupled with oven-drying. Previous studies (Felix da Silva et al., 2018; Sarode et al., 2016; Winarno, 2008) asserted that denaturation of proteins is achieved by using acid, alkali, heating, mechanical treatment, and salt. In this case, freeze-drying is considered as a mechanical treatment (low temperature) for casein, resulting in finer texture. For this reason, we could argue that each processing method caused different changes to protein features. Denaturation of protein is highly essential to consider as it causes loss of protein conformation because of structural changes (Deulgaonkar et al., 2012).

Moreover, our experimental data established a higher content of dissolved protein in casein prepared by oven-drying. This is in accordance with the results of Felix da Silva et al. (2018), which demonstrated that higher temperature would bring greater changes to protein destruction, until reaching a constant level. As mentioned by Deulgaonkar et al. (2012), denaturation of protein could be induced by heat. In addition, Ciurzyńska and Lenart (2011) and Raikos (2010) reported that denaturation of protein induced by heat caused drammatical changes in the structural properties of protein, from strong double-structure to weak opened-structure.

Microstructure

Microstructural analysis of casein by SEM is depicted in Figure 4. Images in Figure 4a seem to be solid, with absence of pores on their surfaces. Meanwhile, Figure 4c is found to have a more porous structure compared to Figures 4b and 4d. This suggested that combination of CH3COOH and freeze-drying produced high porosity casein.

Figure 4. Potassium caseinate produced by different processes: (a) HCl + freeze-drying; (b) HCl + oven-drying; (c) CH3COOH + freeze-drying; (d) HCl + oven-drying.

The moisture content of casein in HCl + freeze-drying process was 5.94%, which was higher than other processes. Dehydration process could be optimized through considering the factors retarding removal of water. These factors include amount and thickness of sample, drying temperature and time, and sample positioning in dryer. Deulgaonkar et al. (2012) stated that changes in food matrix occurred during dehydration, including shrinkage, browning, and case hardening.

Moisture content

Moisture content represents the quantity of water in foods. Kusnandar (2011) stated that chemical properties of water in food matrix differ remarkably, since water is bound in different manners. Water in food is often trapped in cells or bound with other chemical components of foods.

As depicted in Figure 5, mositure content of casein was found in the range of 5.29–5.94%. The range must be according to the standards set by Codex Alimentarius (2014), that is, maximum mositure of 8.0%. Statistical analysis revealed that acid types demonstrated a significant effect on moisture content (p < 0.01). The average moisture content in casein treated with HCl was higher than that treated with CH3COOH. In short, acid used in this experiment enables to hydrolyze macromolecules, thus allowing to release more water. Broyard and Gaucheron (2015) and Felix da Silva et al. (2018) found that acid could alter moisture content. The more acid used would lead to increase in particle shrinkage to force more release of whey. As a consequence, more water is released. The highest moisture level was obsevred in HCl + freeze-drying process. However, there is a need to further investigate the use of drying methods for clarity.

Figure 5. Moisture content of casein after treatments using acids and drying methods. Different superscripts above the bars depicted a significant difference (p < 0.01).

Drying method requires a precise procedure ensuring that maximum water could be eliminated from foods. Regardless of food dimensions (amount, thickness, and area), drying techniques need to consider the capacity of instruments used and the period of drying. Previous studies conducted by Muchtadi and Sugiyono (2013) and Winangsih et al. (2013) reported that maximum drying rate could be achieved by considering the following factors: area of sample, temperature, air speed, humidity, air pressure, vacuum conditioning, evaporation, and period of drying process. Furthermore, Broyard and Gaucheron (2015) and Buckle et al. (1987) asserted several considerable factors of drying, including physical and chemical properties of sample, such as shape, quantity of sample, positioning, size, and initial water content. These factors are essential for controling and obtaining the best performance of dehydration processes.

Conclusion

Our experimental data revealed that the use of oven-drying combined with either HCl or CH3COOH enhanced antioxidant activity and a* (reddish) and b* (yellowish) scores. It being the fact that process of freezing-drying with acids alleviated moisture content but improved viscosity and microstructural properties. Combination of oven-drying and strong acid HCl was responsible for increase in L* (lightness) score and content of proteins and dissolved proteins as well as promoted changes in chemical features by FTIR analysis.

Acknowledgements

Authors would like to thank Ministry of Research, Technology, and Higher Education (KEMENRISTEKDIKTI), Republic of Indonesia, for funding this research under the scheme of STRANAS No. 123/SP2H/PTNBH/DPRM/2018. and scheme of Terapan 7/E1/KP/PTNBH/2021 We also express many thanks to LP2M, Hasanuddin University for valuable support in research regulations (No. SP-DIPA-042.06-1.401516/2018) and 752/UN4.22./PT.02.00/2021.

REFERENCES

AOAC (Association of Official Analytical Chemists). 2019. Dairy Products. In: Robert L. Bradley, Jr. (Ed.), Official Methods of Analysis (21st Ed), AOAC international Suite 300 2275 research BLVD, Maryland, p.14.

Badem A. and Uçar G. 2017. Production of caseins and their usages. Int J Food Sci Nutr. 2(1): 4–9.

Broyard C. and Gaucheron F. 2015. Modifications of structures and functions of caseins: a scientific and technological challenge. Dairy Sci Technol. 95(6): 831–862. 10.1007/s13594-015-0220-y

Buckle K.A., Edwards R.A., Fleet G.H. and Wootton M. 1987. Food Science. UI Press, Jakarta, Indonesia.

Chairunnisa H. 1997. Isolasi dan Modifikasi Protein Susu Dalam Rangka Pemanfaatan Susu Sapi Substandard. PhD Dissertation, Bogor Agricultural University, Bogor, Java, Indonesia. Page 83–93. Available at: https://adoc.pub/pada-penelitian-ini-telah-diisolasi-protein-susu-dari-susu-s.html

Cheng N., Barbano D.M. and Drake M.A. 2019. Effect of pasteurization and fat, protein, casein to serum protein ratio, and milk temperature on milk beverage color and viscosity. J Dairy Sci. 102(3): 2022–2043. 10.3168/jds.2018-15739

Ciurzyńska A. and Lenart A. 2011. Freeze-drying-application in food processing and biotechnology–a review. Polish J Food Nutr Sci. 61(3): 165–171. 10.2478/v10222-011-0017-5

Codex Alimentarius. 2014. Standard for edible casein products: Codex STAN 290-1995. International Food Standards. Available at: http://www.fao.org/input/download/standards/185/CXS_290e.pdf.

De Souza P.M., Fernández A., López-Carballo G., Gavara R. and Hernández-Muñoz P. 2010. Modified sodium caseinate films as releasing carriers of lysozyme. Food Hydrocoll. 24(4): 300–306. 10.1016/j.foodhyd.2009.10.005

Deulgaonkar S.U., Ramteke L.P. and Thorat B.N. 2012. Filtration and drying characteristics of casein. Sep Purif Technol. 92: 50–56. 10.1016/j.seppur.2012.03.006

Djaeni M., Asiah N. and Sasongko S.B. 2015. Aplikasi Sistem Pengeringan Adsorpsi Untuk Bahan Pangan Dan Aditif. UNNESS Press, Semarang, Indonesia.

Felix da Silva D., Ahrné L., Ipsen R. and Hougaard A.B. 2018. Casein-based powders: characteristics and rehydration properties. Compr Rev Food Sci Food Saf. 17(1): 240–254. 10.1111/1541-4337.12319

Glab T.K. and Boratynski J. 2017. Potential of casein as a carrier for biologically active agents. Topics Curr. Chem. 375(71): 1–20. 10.1007/s41061-017-0158-z

Haque M.K. and Roos Y.H. 2006. Differences in the physical state and thermal behavior of spray-dried and freeze-dried lactose and lactose/protein mixtures. Innov Food Sci Emerg Technol (IFSET). 7(1–2): 62–73. 10.1016/j.ifset.2004.12.004

Jimenez X.T., Cuenca A.A., Jurado A.T., Corona A.A. and Urista C.R.M. 2012. Traditional method for whey protein isolation and concentration: effect on nutritional properties and biological activity. J Mex Chem Soc. 56(4): 369–377.

Konstance R.P. and Strange E.D. 1991. Solubility and viscous properties of casein and caseinates. J Food Sci. 56(2): 556–559. 10.1111/j.1365-2621.1991.tb05323.x

Kumaresan A., Selma C., Reshma N.V. and Jacinth N.A. 2017. Quantitative analysis of casein precipitation from the various milk samples. J Chem Pharm Res. 9(9): 113–115.

Kumesan E.C., Pandey E.V. and Lohoo H.J. 2017. Analisa total bakteri, kadar air dan pH pada rumput laut (Kappaphycus alvarezii) dengan dua metode pengeringan. Media Teknol Hasil Perikanan. 5(1): 30–35. 10.35800/mthp.5.1.2017.14911

Kusnandar F. 2011. Kimia Pangan: Komponen Makro. Dian Rakyat, Jakarta, Indonesia.

Kusumaningtyas E., Widiastuti R., Kusumaningrum H.D. and Suhartono M.T. 2015. Aktivitas antibakteri dan antioksidan hidrolisat hasil hidrolisis protein susu kambing dengan ekstrak kasar bromelin. J Teknol dan Indust Pangan. 26(2): 179–188. 10.6066/jtip.2015.26.2.179

Liu Y., Zhao Y. and Feng, X. 2008. Exergy analysis for a freeze-drying process. Appl Therm Eng. 28(7): 675–690. 10.1016/j.applthermaleng.2007.06.004

Malaka R. 2014. Teknologi Aplikatif Pengolahan Susu. Brilian Internasional, Jakarta, Indonesia.

Maruddin F., Ratmawati R., Fahrullah F. and Taufik M. 2018. Karakterisitik edible film berbahan whey dangke dengan penambahan karagenan. J. Veteriner. 19(2): 291–297. 10.19087/jveteriner.2018.19.2.291

Misawa N., Barbano D.M. and Drake M. 2016. Influence of casein as a percentage of true protein and protein level on color and texture of milks containing 1% and 2% fat. J Dairy Sci 99(7): 5284–5304. 10.3168/jds.2016-10846

Morales F.J. and Babbel M.B. 2002. Antiradical efficiency of Maillard reaction mixtures in a hydrophilic media. J Agric Food Chem. 50(10): 2788–2792. 10.1021/jf011449u

Muchtadi T.R. and Sugiyono. 2013. Prinsip Proses dan Teknologi Pangan. Alfabeta, Bandung, Indonesia.

Nahariah, Legowo A.M., Abustam E., Hintono A., Bintoro P. and Pramono Y.B. 2014. Endogeneous antioxidant activity in the egg whites of various types of local poultry eggs in South Sulawesi, Indonesia. Int J Poult Sci. 13(1): 21–25. 10.3923/ijps.2014.21.25

Pająk P., Socha R., Gałkowska D., Rożnowski J. and Fortuna T. 2014. Phenolic profile and antioxidant activity in selected seeds and sprouts. Food Chem. 143: 300–306. 10.1016/j.foodchem.2013.07.064

Pralea D., Dumitrascu L., Borda D. and Stanciuc N. 2011. Functional properties of sodium caseinate hydrolysates as affected by the extent of chy-motrypsinolysis. J Agroaliment Process Technol. 17(3): 308–314.

Rahayu P.P., Purwadi and Thohari I. 2013. Modifikasi Kasein Dengan CaCl2 dan pH Yang Berbeda Ditinjau Dari Kelarutan Protein, Kelarutan Kalsium, Bobot Molekul dan Mikrostruktur. Postgraduate Thesis, University of Brawijaya, Malang, Indonesia.

Raikos V. 2010. Effect of heat treatment on milk protein functionality at emulsion interfaces. A review. Food Hydrocoll. 24(4): 259–265. 10.1016/j.foodhyd.2009.10.014

Raikos V., Kapolos J., Farmakis L., Koliadima A. and Karaiskakis G. 2009. The use of sedimentation field-flow fractionation in the size characterization of bovine milk fat globules as affected by heat treatment. Food Res Int. 42(5–6): 659–665. 10.1016/j.foodres.2009.02.001

Sari M. 2011. Identifikasi Protein Menggunakan Fourier Transform Infrared (FTIR). Undergraduate Thesis, Univerisity of Indonesia, Depok, Indonesia.

Sarode A.R., Sawale P.D., Khedkar C.D., Kalyankar S.D. and Pawshe R.D. 2016. Casein and caseinate: methods of manufacture. In: Caballero B, Finglas P. and Toldrá F (eds.), The Encyclopedia of Food and Health. Academic Press, London, pp. 676–682. 10.1016/B978-0-12-384947-2.00122-7

Simanjuntak P., Parwati T., Lenny L.E., Tamat S.R. and Murwani, R. 2004. Isolasi dan identifikasi senyawa antioksidan dari ekstrak benalu teh (Scurrula oortiana (Korth) Danser). J Ilmu Kefarmasian Indonesia. 2(1): 19–24.

Ting K., Liu Y.F., Tian-Li G. and Lu-Hua Z. 2016. Relationships between viscosity and the contents of macromolecular substances from milk with different storage styles. Food Sci Technol. 4(4): 49–56. 10.13189/fst.2016.040401

Triyono A. 2010. Mempelajari pengaruh penambahan beberapa asam pada proses isolasi protein terhadap tepung protein isolat kacang hijau (Phaseolus radiatus L.). Paper presented at Chemical and Process Engineering Seminar,University of Diponegoro Semarang, Semarang, Java, Indonesia, August 4–5.

Umaroh A. 2018. Pengaruh penambahan susu skim dan madu terhadap sifat organoleptik yoghurt kacang merah. J Tata Boga 7(2): 1–9.

Vasbinder A.J., van de Velde F. and de Kruif C.G. 2004. Gelation of casein-whey protein mixtures. J Dairy Sci. 87(5): 1167–1176. 10.3168/jds.S0022-0302(04)73265-8

Wahyuni T. 2017. Pengaruh Konsentrasi Kasein dan Volume Larutan Edible Yang Berbeda Terhadap Karakteristik Edible Film. Undergraduate Thesis, University of Hasanuddin, Makasar, Indonesia.

Wikandari P.R., Suparmo S., Marsono Y. and Rahayu E.S. 2011. Potensi bekasam bandeng (Chanos chanos) sebagai sumber angiotensin I converting enzyme inhibitor. Biota J Ilmiah Ilmu-Ilmu Hayati. 16(1): 145–152. 10.24002/biota.v16i1.69

Winangsih, Prihastanti E. and Parman S. 2013. Pengaruh metode pengeringan terhadap kualitas simplisia lempuyang wangi (Zingiber aromaticum L.). Bull Anat dan Fisiologi. 21(1): 19–25.

Winarno F.G. 2008. Kimia Pangan dan Gizi. M. Brio Press, Bogor, Indonesia.

Winarsi H. 2007. Antioksidan Alami dan Radikal Bebas. Kanisius, Yogyakarta, Indonesia.

Witrowa-Rajchert D. and Lewicki P.P. 2006. Rehydration properties of dried plant tissues. Int J Food Sci Technol. 41(9): 1040–1046. 10.1111/j.1365-2621.2006.01164.x