ORIGINAL ARTICLE

Royal jelly microencapsulation with a maltodextrin/gum Arabic binary blend by spray drying: Process optimization and characterization of microcapsules

Latife Betül Gül*

Department of Food Engineering, Faculty of Engineering, Ondokuz Mayıs University, Samsun, Türkiye

Abstract

Royal jelly, defined as a “superfood,” is a functional food and nutraceutical due to its bioactive compounds, and therefore provides health and medical benefits. However, its sensitivity to spoilage, the need for cold conditions for storage, and its undesirable taste and aroma reduce its functional and commercial value. This study aimed to perform microencapsulation of royal jelly in protective matrices by spray drying to overcome these problems. The freshness indicator of the 10-HDA content of the royal jelly used in the study was 2.44%. It was also revealed that it was suitable for microencapsulation in terms of its other properties. The air inlet temperature significantly influenced all responses, while the coating material ratio influenced the encapsulation efficiency, antioxidant activity, and particle size. Also, feed pump speed affected solubility, moisture content, and water activity. According to desirability (0.81), the optimum spray-drying conditions to obtain the encapsulated royal jelly powder were air inlet temperature (145.81°C), coating material ratio (20%), and feed pump speed (9 mL/min) to obtain desired characteristics of spray-dried powder such as encapsulation efficiency (94.81%), water activity (0.204), total phenolic content (128.91 mg GAE/100 g), solubility (96.27%) and particle size (619.76 nm). Under optimized conditions, the predicted values were close to the experimental values. The physicochemical, bioactive, and morphological properties of optimized powders were acceptable.

Key words: bioactive properties, microencapsulation, response surface methodology, royal jelly, spray drying

*Corresponding Author: Latife Betül Gül, Department of Food Engineering, Faculty of Engineering, Ondokuz Mayıs University, Samsun, Türkiye. Email: [email protected]

Academic Editor: Prof. Marco Dalla Rosa—University of Bologna, Italy

Received: 8 April 2025; Accepted: 25 July 2025; Published: 1 October 2025

DOI: 10.15586/ijfs.v37i4.3112

© 2025 Codon Publications
This is an Open Access article distributed under the terms of the Creative Commons Attribution-NonCommercial-ShareAlike 4.0 International (CC BY-NC-SA 4.0). License (http://creativecommons.org/licenses/by-nc-sa/4.0/)

Introduction

Bee products have been reported to significantly impact innovative approaches in producing nutraceuticals and functional foods due to their health benefits and pharmacological properties. Royal jelly, one of the apitherapy products among beekeeping products, has been used as a health enhancer since ancient times. It is a yellowish-white, highly acidic colloid with a pH value generally varying between 3.6 and 4.2, creamy liquid secreted from the hypopharyngeal and mandibular glands of young worker bees of the Apis mellifera species and used in the nutrition of young larvae and queen bees (Ahmad et al., 2020; Collazo et al., 2021). It has a sharp, tart taste and odor, and its solubility in water is low (Collazo et al., 2021). Royal jelly production (harvesting) generally starts in April and is completed in August at the latest. It contains essential components, primarily carbohydrates, proteins, and lipids, as well as vitamins, minerals, and smaller amounts of phenolic or volatile compounds (El-Seedi et al., 2024; Maghsoudlou et al., 2019). Essential royal jelly proteins and 10-hydroxy-2-decenoic acid (10-HDA) are the main bioactive components due to their different biological properties (Collazo et al., 2021). Antilipidemic, antioxidant, antiproliferative, antimicrobial, neuroprotective, anti-inflammatory, immunomodulatory, antiaging, and estrogenic activities of royal jelly or its specific components were reported (Bahari et al., 2023). Therefore, studies on developing new functional foods by adding them to foods have recently increased due to these functional properties.

Royal jelly is very sensitive to spoilage and deteriorates when stored under inappropriate conditions or via a broken cold chain during storage, eventually losing its functional properties and commercial value (Chen and Chen, 1995; Ulubayram and Cinar, 2023). Considering its favorable properties from an industrial perspective, the problems of royal jelly are that it is sensitive to environmental conditions, which require a cold chain after harvesting and during storage, and has a spicy and pungent taste and odor due to the presence of fatty acids. Several studies have been made to evaluate different preservation methods aiming for minimal loss in nutritional value and properties in royal jelly during storage (Dundar et al., 2022; Ghadimi-Garjan et al., 2023; Sagona et al., 2022; Ulubayram and Cinar, 2023). Microencapsulation technology, recently applied to food, pharmacy, and agriculture, can solve these technical problems.

Microencapsulation is a technology in which solid, liquid, or gaseous (core) substances are entrapped within a continuous polymeric material matrix (wall or shell). Spray drying is the most commonly used method for microencapsulation of bioactive compounds due to its advantages such as rapid evaporation of water, continuous operation, different dryer configurations, high production speed, good product quality, relatively higher encapsulation efficiency, flexibility, and high integration into industrial production (Arpagaus et al., 2018; Desai and Jin Park, 2005). Particles obtained after spray drying are fine powders consisting of spherical particles with sizes ranging from 10 to 100 µm, depending on the feed material used and working conditions (Ribeiro et al., 2020). The properties of microcapsules are affected by factors such as air inlet temperature, outlet temperature, feed pump speed, air flow rate, and concentration of the feed solution (Huang et al., 2023). The stability and properties of microparticles and their encapsulation efficiency also depend on the coating material used (Veiga et al., 2019). Maltodextrin is a hydrolyzed starch, and its most important advantage as a coating material is its low cost. It also has advantages such as neutral taste and aroma, low viscosity at high concentrations, good protection against oxidation, and good solubility. However, the most critical problems in using it as a coating material are poor interface properties and low emulsion-forming capacity (Balasubramani et al., 2015). For this reason, maltodextrin should be used in combination with other surface-active biopolymers such as gum Arabic (Carneiro et al., 2013). Gum Arabic is a highly effective polymer widely used as a coating material for bioactive compounds. It has high encapsulation efficiency due to its good film formation capacity with biopolymers and plastic-like behavior (Gonçalves et al., 2019). However, the high cost and irregular structure of this polymer restricts its use as a coating material and is used in binary or ternary mixtures with other polymers (Ribeiro et al., 2020).

This study aimed to minimize or eliminate the sensory problems of royal jelly in direct consumption and the requirement for a cold chain during long storage by microencapsulation coating with maltodextrin/gum Arabic binary blend by spray drying method. First, the ideal encapsulation process parameters were determined by response surface methodology, and optimized microencapsulated royal jelly was characterized in terms of physicochemical, bioactive, and morphological properties.

Materials and Methods

Materials

Fresh royal jelly was purchased from local producers affiliated with the Bursa Beekeepers’ Association in Türkiye and brought to the laboratory under cold chain conditions. It was stored at −20°C until further analyses and processes. Maltodextrin (DE 16.5–20.0), gum Arabic, and other chemicals were purchased from Merck Chemical Co. (Darmstadt, Germany).

Characterization of royal jelly

The pH, titratable acidity, antioxidant activity, and moisture, protein, ash, 10-HDA, total phenolic contents were determined for the chemical characterization of royal jelly.

Preparation of feed mixture and microencapsulation of royal jelly by spray drying

For the microencapsulation of royal jelly, the maltodextrin:gum Arabic (3:1, w/w) mixture was used as a wall material. Royal jelly was mixed with coating material to obtain a desired core-to-wall material ratio of 1:10 (w/w). Maltodextrin and gum Arabic were dissolved in distilled warm water (50°C) by stirring at 400 rpm for 1 h, and the mixture was stored at 4°C for the entire night to make sure the polymer molecules were fully saturated and rehydrated. Then, royal jelly was added to the coating material under continuous stirring and homogenized for 2 min at 7500 rpm using Ultra Turrax (Daihan, HG-15D, Gang-Won-Do, South Korea). The obtained solutions were atomized using a laboratory-scale spray dryer (Unopex B15, Türkiye).

To determine the spray dryer conditions in the microencapsulation of royal jelly, the air inlet temperature (120–160°C), coating material ratio (10–20%), and feed pump speed (6–12 mL/min) were used as operating conditions. In all drying experiments, the nozzle air flow rate and the aspirator flow rate were kept constant at 8 L/min and 100% (35 m3/h), respectively. Atomization was done using a 0.19 mm diameter nozzle. The gathered powders were kept at 4°C after being moved into high-density polyethylene bottles. Operating conditions including air inlet temperature, coating material ratio, and feed pump speed were varied according to experimental design shown in Table 1. The outlet temperatures during spray drying (at 5 different times) were read from the instrument panel and recorded. It was observed that the outlet temperature varied proportionally with the operating conditions (Table 1).

Table 1. Experimental design of microencapsulation of royal jelly and the results obtained regarding responses.

Run Parameters Outlet temperature (°C) Responses
X1 X2 X3 Y1 Y2 Y3 Y4 Y5 Y6 Y7
1 120 15 6 63 94.29 6.24 0.28 126.84 3.34 91.20 544.70
2 140 15 9 68 93.60 5.00 0.22 137.20 3.34 96.33 304.70
3 120 20 9 61 95.54 7.79 0.34 135.10 4.56 90.72 866.80
4 160 15 12 77 87.24 4.88 0.26 108.09 2.74 96.02 385.80
5 160 15 6 86 83.73 3.47 0.16 103.97 1.82 98.19 297.20
6 140 15 9 67 92.60 4.95 0.23 126.84 3.04 98.80 416.80
7 160 20 9 80 91.25 3.86 0.18 105.99 3.34 97.41 569.40
8 140 20 6 77 93.96 4.63 0.19 126.84 3.65 93.96 571.60
9 140 15 9 68 93.71 5.30 0.28 141.40 3.34 97.18 460.50
10 140 10 6 75 90.19 4.18 0.19 122.65 2.74 96.92 304.50
11 120 15 12 56 92.93 8.07 0.39 122.65 3.95 97.72 415.50
12 160 10 9 87 80.09 3.20 0.20 101.87 1.22 97.15 290.50
13 140 15 9 69 94.35 5.09 0.27 122.65 3.34 95.63 279.60
14 140 20 12 64 94.41 5.74 0.29 139.30 3.95 97.64 747.70
15 140 10 12 68 91.28 6.73 0.28 118.52 3.04 96.84 320.40
16 140 15 9 68 93.45 5.05 0.24 126.84 3.34 97.88 367.60
17 120 10 9 58 94.04 7.12 0.33 126.84 2.74 93.31 320.10

X1, air inlet temperature (oC); X2, coating material ratio (%); X3, feed pump speed (mL/min); Y1, encapsulation efficiency (%); Y2, moisture content (%); Y3, water activity; Y4, total phenolic content (mg GAE/100 g); Y5, antioxidant activity (% inhibition); Y6, solubility (%); Y7, particle size (nm). Outlet temperature is neither of the variables. It was included in the table to only compare how it changed with respect to the other variables.

Analytical methods

Physicochemical analysis

The moisture and ash contents of the samples were determined gravimetrically until constant weight was obtained using the AOAC method (AOAC, 1990). Kjeldahl method was used to determine the protein content of royal jelly, and the amount of protein was calculated using a factor of 6.25 for conversion (Yavuz and Gürel, 2017). The pH value of royal jelly was determined at room temperature with a pH meter ((Hanna HI 2002-02, Hanna, Vöhringen, Germany) previously calibrated with pH 4.0, 7.0, and 10.0 buffer solutions. Titratable acidity was estimated by titration with 0.1 N NaOH until pH 8.1, and the results were expressed as citric acid %. The water activity of the powder samples was determined using a water activity meter (AquaLab PawKit, Decagon Devices, USA), with an accuracy of ± 0.001 at 25°C. Color properties including L* (0 and 100 indicate darkness and lightness, respectively), a* (+ and – represent greenness and redness, respectively), and b* (− and + represent blueness and yellowness, respectively) values of the optimized powders were determined using a colorimeter (Minolta Chroma Meter, CR-400, Osaka, Japan) calibrated with black and white reference plates.

10-HDA analysis

The method by Antinelli et al. (2003) was used to determine the 10-HDA content of royal jelly and the microencapsulated royal jelly samples. 10-HDA extraction of the samples was prepared by sonication at room temperature for 30 min after dissolving approximately 1 g of sample in 50 mL of solvent (methanol:ultrapure water, 50:50, v/v) and adjusting the pH value to 2.5 with phosphoric acid. Following sonication, samples were passed through a 0.45 µm syringe filter and then injected with a volume of 20 µL into high-pressure liquid chromatography.

10-HDA analysis was performed on the HPLC device using an analytical C15 column (150 mm × 4.0 mm × 5 μm). Methanol:ultrapure water (45:55 v/v) adjusted to pH 2.5 was used as the mobile phase. The flow rate and the column oven temperature were set to 0.5 mL/min and 35°C, respectively. To identify and quantify 10-HDA, the calibration curve was obtained using standard solutions prepared at 5–100 µg/mL concentrations.

Total phenolic content and antioxidant activity

The total phenolic contents of royal jelly and microencapsulated royal jelly samples were determined based on the method suggested by Tolun et al. (2016). Accordingly, 3 mg of the sample was weighed, and 6 mL of solvent containing ethanol:acetic acid:pure water (50:8:42) was added. For the dissolution process to occur, it was vortexed and kept in a water bath at 40°C for 30 min. The solution was vortexed again to ensure homogeneous distribution and was filtered using a 0.45 µm syringe filter. The prepared extract (200 µL) was mixed with 2.5 mL of Folin–Ciocalteu reagent, and the mixture was kept in the dark for 5 min after vortexing. Afterward, 2 mL of 7.5% Na2CO3 solution was added to the mixture, and the samples were incubated for 1 h at room temperature in the dark. Consequently, the absorbance of the samples was measured at a wavelength of 760 nm using a spectrophotometer (Shimadzu, UV-1800, Japan). The results were calculated using the equation obtained from the standard gallic acid calibration curve at the same wavelength and expressed as mg gallic acid equivalent (GAE)/100 g sample weight.

The antioxidant activity of the samples was determined using 1,1-diphenyl-2-picryl hydrazyl (DPPH) and Copper (II) ion reduction-based antioxidant capacity (CUPRAC) methods. The antioxidant capacity of the samples, based on the DPPH radical scavenging activity, was determined following the method of Bagheri et al. (2020), with slight modifications. The sample was extracted by maceration with an orbital shaker for 24 h at room temperature using ethanol at 3 g/mL. At the end of the period, 500 µL of the extract was mixed with 2.5 mL of methanolic solution containing 0.12 mM DPPH, and the mixture was incubated on the shaker in the dark for 2 h. At the end of the incubation period, absorbance was measured on a spectrophotometer at a wavelength of 517 nm. The absorbance data obtained calculated the inhibition rate against the blank sample as DPPH radical scavenging activity (%).

The antioxidant capacity of the samples according to the CUPRAC method was estimated by modifying the technique proposed by Nguyen et al. (2022). For this, 0.5 g of sample was diluted in 5 mL of pure water, and 0.5 mL of the extract was mixed with 1 mL of 0.01 M copper (II) chloride solution, 1 mL of 0.075 M neocuproine, and 1 mL of 1 M ammonium acetate (pH 7.0) solutions. The mixture was incubated at room temperature for 30 min, and the absorbance was measured at 450 nm against the reference solution, which contained no sample. The total antioxidant capacity was calculated based on the Trolox calibration curve and expressed as mg Trolox equivalent/g of sample on the dry weight (mg TE/g DW).

Microencapsulation efficiency

Encapsulation efficiency was estimated as a function of 10-HDA, considered as an indicator of freshness using Equation 1.

Encapsulation efficiency %=1SHDATHDA×100 1

where SHDA is the superficial 10-HDA content of microcapsules, and THDA is the total 10-HDA content of microcapsules.

Solubility

To determine powder solubility in water, 0.1 g of powder sample was dispersed in 24.9 g of distilled water, stirred at 25°C for 30 min, and centrifuged at 4500 rpm for 20 min. 10 mL supernatant was transferred to a petri dish and dried in an oven at 105°C until a constant weight was reached. Solubility was calculated using Equation 2 as follows (Laureanti et al., 2023):

Solubility %=mx25w×100 2

where m is the amount of dry matter at the end of the drying process (g), and w is the initial sample amount (g).

Particle size measurement

The particle size of microencapsulated powders was measured in the dry powder measurement unit of a laser diffraction particle size measuring device (Mastersizer 3000, Malvern Instruments Ltd., Worcestershire, England). A feed pressure of 50 kPa was used, and the feed rate was adjusted manually to ensure a uniform flow of powders during the measurement. The average particle size of the samples was determined using volume-weighted average diameter (d4.3) and particle surface area (d3.2) values (Carneiro et al., 2013).

Flowability, wettability, loose and tapped bulk densities, particle density, porosity

The flowability and wettability properties of the microencapsulated powders at the optimum condition were determined using the method by Gül et al. (2022). The angle of repose (AOR) approach was used to evaluate the flowability. In the system used for heap formation (Torontech, Ontario, Canada), the output of the calibrated funnel, through which the powder falls to the ground, was kept constant at 10 mm in all measurements. The AOR (θ) was calculated using Equation 3, as given below:

AORθ=arctanhr 3

where h is the height of powder after dropping; r is the average radius of powder after dropping. The AOR below 30°, between 30 and 45°, between 45 and 55°, and higher than 55° indicate good flowability, some cohesiveness, real cohesiveness, and limited flowability, respectively.

For measuring wettability, 5 g optimized powder was transferred to 100 mL water, and the time required for them to entirely spread on the distilled water surface was determined using a calibrated funnel.

While loose bulk density is the amount of mass per unit volume, tapped bulk density is the volume occupied by a certain amount of powder after a certain number of shaking operations. A 10 mL measuring tube was used for this. Loose bulk density (ρL) was measured by dividing the mass of the powder by its volume after it was placed on the measuring tube, while tapped bulk density (ρT) was determined by dividing the mass by the last read volume after 125 manual tapping movements (Atalar and Yazici, 2018).

Particle density was determined using a gas multipycnometer (Quantachrome Instruments, Boynton Beach, USA). The measurement was conducted in the presence of helium gas after the optimized powder was placed in the measurement cell.

Porosity (Ɛ) was calculated using Equation 4, based on the relationship between tapped bulk density (ρT) and particle density (ρP).

ε=ρPρTρP×100 4

Particle morphology

The particle morphology was screened using a scanning electron microscope (SEM) (FEI, Quanta FEG 250, Japan). Before the observation, the particles were fixed on stubs using double-sided adhesive carbon tape and coated with palladium-gold using Sputter Coater 108 Auto (Cressington Scientific Instruments, Watford, UK). The SEM was operated with an acceleration of 10 kV and magnification of 1000 and 5000X.

Experimental design and statistical analysis

Optimization was practiced with response surface methodology (RSM) to determine the effect of independent variables (air inlet temperature [X1], coating material ratio [X2] and feed pump speed [X3]) on the dependent variables, including encapsulation of efficiency (Y1), moisture content (Y2), water activity (Y3), total phenolic content (Y4), antioxidant activity (Y5), solubility (Y6), and particle size (Y7). Box–Behnken design algorithm was employed to evaluate the primary, interaction, and quadratic effects of factors. Since the relationship between the responses and the independent variables was unknown, the second-order polynomial approach was used to obtain actual response surfaces for the trials (17 runs with 12 factorial and 5 center points) (Table 1). Second-order polynomial equations were applied to the data obtained for predicting responses, as follows:

Y=β0+j=1kβiXi+j=1kβiiXi2+i=1j=i+1kβijXiXj 5

where Y is the predicted response; Xi and Xj are the level of independent variables; β0 is the second-order reaction constant; and βi, βii, and βij are the linear, quadratic, and interaction regression coefficients, respectively. The total error criteria were subjected to a 95% confidence level statistical significance test. The statistical software package Design Expert 13.0 (trial version) (Statese Inc., Minneapolis, USA) was used to determine the regression coefficients, lack of fit, and model efficiency (measured by the R2 value) for each response optimization and analysis of variance (ANOVA). The desirability function (range 0–1) was used to determine the ideal levels of independent parameters. All processing trials were carried out in duplicate.

Results and Conclusions

Characterization of royal jelly

Royal jelly is a valuable source of nutrients and bioactive components and the composition of which depends on several factors, such as beekeeping season, climatic conditions, ecosystem in which the honeybees live, honey resources accessible to the honeybees, the pollution sources during the bees’ flight, and also the genetics of the colony. Royal jelly derives the phenotypic development of female bee larvae, enabling them to transform into a fertile queen bee instead of a sterile worker bee. It also plays a vital role in the social behavior of the bee colony by stimulating memory and learning. Because of its nutritional and nutraceutical qualities, royal jelly has a high commercial value and can be consumed by humans as a functional food (Ahmad et al., 2020; Collazo et al., 2021; El-Seedi et al., 2024).

The contents of dry matter, protein, ash, and 10-HDA with pH, titratable acidity, total phenolic content, and antioxidant activity (DPPH and CUPRAC) were determined to characterize the supplied royal jelly. The pH value of the royal jelly used in this study was 4.03. Royal jelly is a relatively acidic food with a high buffering capacity (pH 3.20–4.01) (Botezan et al., 2023). The pH of royal jelly has been reported to be between 3.4 and 4.5 (Collazo et al., 2021; Yavuz and Gürel, 2017). The titratable acidity of royal jelly was determined as 29.84% in terms of citric acid, which was found to be consistent with the titratable acidity results of royal jelly produced in Romania (Moraru et al., 2023, 2024), and the dry matter content was determined as 33.32%. In a study conducted by Moraru et al. (2023), who compared royal jelly samples sold in the market with those produced by themselves, the samples’ dry matter content was between 34.17 and 35.22%. Emir (2020) also stated that the dry matter content of the royal jelly samples collected from different producers in different production seasons was between 28.84 and 34.67%. The ash content of the royal jelly sample was determined to be 0.95%, which was consistent with the study findings of Moraru et al. (2024) for fresh royal jelly from the market. Royal jelly has an ash content between 0.8 and 3%, and most of it consists of potassium, calcium, sodium, zinc, magnesium, copper, iron, and manganese (Ecem Bayram et al., 2021).

The most notable component in determining the quality of royal jelly is 10-HDA, and its content was determined as 2.44% by HPLC. Similarly, Beykaya et al. (2023) found that the average 10-HDA content of royal jelly produced in Bingöl was 2.32%. Keskin et al. (2020) stated that the content of 10-HDA in 105 royal jelly samples from different years varied between 2.1 and 2.6% on average. In another study by Kolayli et al. (2016), the 10-HDA content of 18 royal jelly samples was between 1 and 3.9%. According to international regulations, the 10-HDA value of fresh royal jelly is considered a freshness indicator and should be higher than 1.4%. In this context, it was found that the royal jelly sample is suitable for freshness and, therefore, is a suitable raw material for the study.

The total phenolic content of the royal jelly was determined as 204.41 mg GAE/100 g using the Folin–Ciocalteu method. Ozkok and Silici (2017) reported that the total phenol content of royal jelly from Türkiye was 59.2 mg GAE/100 g. In another study, Sonmez et al. (2023) determined the average total phenolic content of royal jelly samples as 4.86 mg GAE/g. Pavel et al. (2014) stated that commercial and local royal jelly samples offered for consumption in Romania had higher total phenol amounts (15.4–32.5 and 14.6–39.9 mg GAE/g royal jelly, respectively). The total phenolic content of royal jelly samples produced in Taiwan was reported to be between 150 and 219 µg/g, which is approximately 25 times lower than our findings (Liu et al., 2008). Considering these data, it was observed that the polyphenolic content of royal jelly depends on various factors. The total phenolic content also varies depending on the dietary source (Botezan et al., 2023). The antioxidant activity of royal jelly was determined by DPPH and CUPRAC as 44.75% and 51.92 mmol TE/g, respectively. Mokaya et al. (2020) stated that average DPPH free radical scavenging activity of 14 fresh royal jelly samples from Kenya is 170 g/mL. Buratti et al. (2007) tested the antioxidant power of four different origin royal jelly samples with the DPPH test and found the values to be between 1.4 and 7 mg/mL. It has been reported that the antioxidant activity of royal jelly is due to the presence of phenolic compounds, various peptides, and 10-HDA, a fatty acid derivative found only in royal jelly (Sonmez et al., 2023).

Model fitting

The data from the independent variables (air inlet temperature, coating material ratio, and feed pump speed) for the responses, including encapsulation efficiency, product yield, moisture content, water activity, total phenolic content, antioxidant activity, powder solubility, and particle size were fitted in the second-order quadratic model, and the results are illustrated in Tables 1 and 2. The ANOVA was performed at a 5% confidence level for the significance and lack-of-fit test. According to the ANOVA table results, the responses whose models were insignificant or whose model incompatibility was significant were not included in the optimization. Accordingly, while the models of each response were substantial, only the model incompatibility value of the antioxidant activity response was significant (Table 2). Therefore, in determining the optimum process conditions, all the remaining process responses (encapsulation efficiency, water activity, total phenolic content, powder solubility, and particle size) except antioxidant activity were included in the optimization as factors.

Table 2. ANOVA table showing the effects of linear, quadratic and interaction terms on each response individually and statistics used to test the suitability of the model as a result of optimization.

Source Outlet temperature Y1 Y2 Y3 Y4 Y5 Y6 Y7
SS P SS P SS P SS P SS P SS P SS P SS P
Model 1261.69 <0.0001 273.856 <0.0001 31.32697 0.0002 0.062711 0.0009 2052.16 0.0218 9.038 0.0036 80.856 0.0113 433440.7 0.0026
X1 1035.12 <0.0001 148.661 <0.0001 23.85126 <0.0001 0.039917 <0.0001 1046.84 0.0019 3.741 0.0006 31.321 0.0021 45632.21 0.0159
X2 3.13 0.081 47.885 0.0002 0.079204 0.476 3.7E-05 0.7888 174.46 0.0893 4.168 0.0004 2.516 0.2210 288800 <0.0001
X3 162 <0.0001 1.711 0.2096 5.984711 0.0003 0.019572 0.0004 8.52 0.6763 0.565 0.0544 7.903 0.0488 2865.245 0.4543
X1X2 20.25 0.0013 23.346 0.0014 2.39E-05 0.9899 0.000552 0.3177 4.26 0.767 0.023 0.6552 2.021 0.2676 17929.21 0.0880
X1X3 1 0.2861 5.913 0.0371 0.044364 0.5906 9.51E-05 0.6689 17.33 0.554 0.023 0.6552 18.864 0.0079 11859.21 0.1511
X2X3 9 0.0105 0.099 0.7492 0.520854 0.0948 6.4E-07 0.9718 68.72 0.2558 0 1.0000 3.54 0.1551 6416.01 0.2745
X12 7.96 0.0139 40.860 0.0003 0.968027 0.0757 0.001908 0.0857 656.55 0.0065 0.514 0.0637 9.963 0.0318 5248.181 0.3192
X22 14.8 0.003 0.171 0.6753 0.077109 0.8517 0.000646 0.2827 4.62 0.7576 0.003 0.8537 4.018 0.1334 51462.77 0.0121
X32 5.33 0.0322 3.277 0.0975 0.393919 0.2956 7.38E-05 0.7058 40.76 0.3723 0.003 0.8537 0.102 0.7937 392.5012 0.7779
Lack of fit 3.25 0.2346 4.683 0.1099 0.906309 0.0097 0.000594 0.8325 63.32 0.8012 0.669 0.0179 3.509 0.5772 9224.53 0.6795
Pure error 2 1.59 0.071 0.002747 250.84 0.073 6.249 22735.97
R2 0.9959 0.9776 0.9697 0.9494 0.8672 0.924 0.892 0.9313
R2adj 0.9905 0.9488 0.9308 0.8844 0.6965 0.826 0.753 0.843
Pred- R2 0.9565 0.7247 0.5476 0.7911 0.4063 0.107 0.275 0.6075
Adeq precision 47.81 19.498 18.083 14.336 6.975 11.39 9.166 11.236
CV (%) 1.24 1.03 6.96 8.66 5.44 10.36 1.23 15.39

SS, sum of squares; X1, air inlet temperature (°C); X2, coating material ratio (%), X3, feed pump speed (mL/min); Y1, encapsulation efficiency (%); Y2, moisture content (%); Y3, water activity; Y4, total phenolic content (mg GAE/100 g); Y5, antioxidant activity (% inhibition); Y6, solubility (%); Y7, particle size (nm); R2, regression coefficient; R2adj, adjusted regression coefficient; Pred-R2, estimated regression coefficient; CV (%), coefficient of variation.

The regression coefficient (R2), adjusted regression coefficient (R2adj), and coefficient of variation (CV) values were used to determine the model’s reliance on the experimental data. Since the statistically insignificant terms in the model increase R2, it is more appropriate to use the corrected R2 value in evaluating the model’s inadequacy. The fact that the R2 value is close to the R2adj value in the applied model indicates that the model does not contain statistically insignificant terms (Benković et al., 2015). In this case, it can be said that the models created for the responses obtained in the optimization trial do not contain insignificant data. The CV value expresses the deviation from the mean value, and a high value indicates that the data deviates too much from the mean. As a result of the optimization study, it is seen that the CV is low (0.56–15.39) in the parameters included in the optimization. In the subsequent observations of the regression model, Adeq precision and Pred-R2 statistics were used for the prediction model. The Adeq precision is desired to be greater than 4, and the value obtained in the optimization study of royal jelly is greater than 4.

Outlet temperature

One of the crucial elements of the spray drying process is the outlet temperature. The outlet temperature, depending on spray-drying operating conditions, affects the bioactive properties of the product during spray drying, and is known to affect powder properties and product stability by causing changes in water activity and moisture content in the powder. The impact of the tested spray-drying conditions on the outlet temperature throughout the process is given in Table 1. The outlet temperature was measured in the range of 56–86°C. The lowest outlet temperature was obtained at the lowest air inlet temperature (120°C) and the highest flow rate (12 mL/min), and the highest value was determined at 160°C and 9 mL/min. As can be seen in the ANOVA results (Table 2), linear and quadratic coefficients are significant for air inlet temperature and feed flow rate. As expected, increasing the air inlet temperature and decreasing the feed flow rate resulted in an increase in the outlet temperature (Figure 1A). The drying kinetics justifies the relationship between temperature and feeding rate in the scenario of particle creation and yield maximization, where evaporation is based on the boundary layer theory and the influence of Peclet number (Gil-Chávez et al., 2020).

Figure 1. The 3D graphs about the effect of microencapsulation process parameters on outlet temperature.

A low air inlet temperature and a high feed pump speed cause the outlet temperature to decrease, increasing the moisture level in the final product. This leads to the formation of “humidity” particles that can stick to the drying chamber and thus affect particle recovery. Furthermore, a low outlet temperature increases the overall humidity of the drying chamber and reduces the evaporation rate, affecting the sample’s particle size (Nuzzo et al., 2015; Singh and Van den Mooter, 2016).

The relationship between outlet temperature (OT) and independent variables were presented as below through Equation 6.

OT = 68 + 11.38X1 − 0.62X2 − 4.5X3 − 2.25X1X2 − 0.5X1X3 − 1.5X2X3 + 1.38X12 + 1.87X22 + 1.12X32(6)

Where OT, outlet temperature (°C); X1, air inlet temperature (°C), X2, coating material ratio (%); X3, feed pump speed (mL/min).

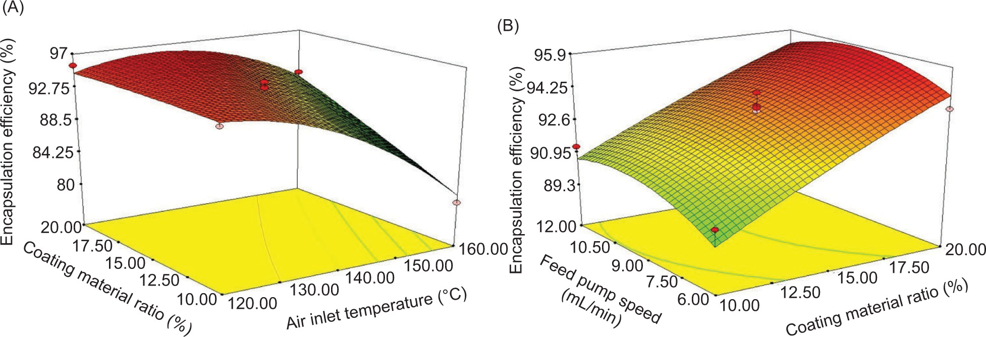
Encapsulation efficiency

The 10-HDA content, a freshness indicator of royal jelly, was selected as the index to evaluate microencapsulation efficiency. In the experimental design used in the optimization study (Table 1), the average of all encapsulation efficiency responses was 94.27%, indicating that royal jelly was retained mainly in microcapsules. Shahidi Noghabi and Molaveisi (2019) and González-Peña et al. (2021) also gave similar reports on spray-drying microencapsulation of maltodextrin/Arabic gum mixture. According to the parameters in the experimental design, the encapsulation efficiency ranged from 80.09 to 95.54%. The highest encapsulation efficiency was obtained when the air inlet temperature was 120°C, the coating material ratio was 20%, the feed pump speed was 9 mL/min, and the outlet temperature was 61°C. On the other hand, the lowest encapsulation efficiency was determined in the conditions where the outlet temperature was the highest (86°C).

The coating material ratio and air inlet temperature were found to be statistically effective on the encapsulation efficiency of royal jelly (P < 0.05); however, the feed pump speed was found to be ineffective (P > 0.05). The 3D plots and contour lines showing the change in the encapsulation efficiency of royal jelly affected by independent variables are shown in Figure 2.

Figure 2. The 3D graphs about the effect of microencapsulation process parameters on encapsulation efficiency.

When the graphs are examined, it is observed that the encapsulation efficiency decreases significantly with the increase in the air inlet temperature. A similar result was obtained in the study conducted by Mehran et al. (2020), who reported that high inlet temperature negatively affects encapsulation efficiency. This can be attributed to the deterioration of the microcapsule wall at higher temperatures, which results in the greater release of the core material. The encapsulation efficiency increases with the increase in the coating ratio, and there is a positive effect between the coating material and the core material, which can be explained by the protective effect of maltodextrin, protecting the active ingredient from oxidation and providing resistance to high temperatures (Vargas et al., 2024). This finding is also consistent with the study conducted by Tan et al. (2015). Similarly, Laureanti et al. (2023) reported that combining GA and MD leads to increased encapsulation efficiency and improved preservation of bioactive compounds such as polyphenols. The synergy between gum Arabic and maltodextrin contributes to the increase in encapsulation efficiency by increasing the stability and dispersibility of bioactive compounds. The emulsifying properties of gum Arabic help form stable emulsions, while the matrix-forming ability of maltodextrin creates a protective environment for the encapsulated compounds. The relationship between encapsulation efficiency and independent variables are presented as below in Equation 7.

Y1 = 93.54 − 4.31X1 + 2.45X2 + 0.46X3 + 2.42X1X2 + 1.22X1X3 − 0.15X2X3 − 3.12X12 − 0.2X22 − 0.88X32(7)

where Y1, encapsulation efficiency (%); X1, air inlet temperature (°C), X2, coating material ratio (%); X3, feed pump speed (mL/min).

Moisture content and water activity

It is essential to include moisture content and water activity as a response in encapsulation by spray drying because water content plays a role in ensuring the efficiency of the drying process, determining the capsule morphology and, therefore, the physical properties, and ensuring long-term and safe storage. As seen in Table 1, the microcapsules’ moisture content and water activity values were 3.2–8.07% and 0.16–0.39, respectively. As expected, the lowest moisture content was obtained at 160°C air inlet temperature and 10% coater concentration, and high outlet temperature. Similarly, the lowest water activity value was determined when the air inlet temperature was 160 °C, the coating material ratio was 15%, the feed pump speed was 6 mL/min, and the outlet temperature was above 85 °C. A higher outlet temperature led to a lower residual water activity and moisture content in the powder. Similar results are available in the literature for obtaining encapsulated powder by spray drying (Nguyen et al., 2024; Vargas et al., 2024). The water activity of microcapsules was below 0.35 (except for trial no. 11), which indicated limited water availability for the growth of microorganisms and supporting stability (Lejaniya and Pui, 2022). Similarly, low water activity (0.28 at 170°C with maltodextrin as wall material) was reported by Manickavasagan et al. (2015) for date powder obtained through spray drying. Moreover, even lower values reaching up to 0.028 were obtained in the optimization study for beetroot juice microencapsulation (Tumbas Šaponjac et al., 2020).

As seen in Table 2, the air inlet temperature and feed pump speed significantly affected the moisture content and water activity of the microcapsules (P < 0.01), while the coating ratio did not have any effect on these properties (P > 0.05). Higher temperatures provide lower moisture percentages to products (Figure 3) due to the greater the heat transfer rate to the particle, which accelerates the moisture evaporation from the material during encapsulation by spray drying (Fazaeli et al., 2012). A similar result was observed in a study conducted on acai powders, and a decrease in moisture content from 2.23 to 1.61% was reported when the temperature increased from 140 to 200°C (Tonon et al., 2011). Similarly, in the study by Shi et al. (2018), a decrease in moisture percentage was observed (from 2.09 to 1.43%) in the spray drying of watermelon when the temperature increased from 120 to 150°C. As seen in Figure 2, an increase in the moisture content of the particles and, therefore, in the water activity value was observed with the rise in feed pump speed, probably resulting from the short contact time between drying air and product (Atalar and Dervisoglu, 2015). The relationship between moisture content and water activity, and independent variables are presented below in Equations 8 and 9, respectively.

Figure 3. The 3D graphs about the effect of microencapsulation process parameters on moisture content (A–B) and water activity (C–D).

Y2 = 5.08 – 1.73X1 + 0.1X2 + 0.86X3 + 0.002X1X2 – 0.11X1X3 – 0.36X2X3 + 0.38X12+0.035X22 + 0.021X32(8)

Y3 = 0.25 – 0.07X1 – 0.01X2+ 0.05X3 – 0.01X1X2 – 0.01X1X3 + 0.01X2X3 + 0.02X12 – 0.01X22 + 0.01X32(9)

where Y2, moisture content (%); Y3, water activity; X1, air inlet temperature (°C), X2, coating material ratio (%); X3, feed pump speed (mL/min).

Total phenolic content

Royal jelly has several functional characteristics, such as antibacterial, anti-inflammatory, vasodilatory, hypotensive, antihypercholesterolemic, antitumor, and antioxidant properties (Martinello and Mutinelli, 2021). According to Kausar and More (2019), the pharmacological effects of phenolic components in royal jelly may be partly due their antioxidant qualities. The total phenolic content of microcapsules ranged from 101.87 to 141.4 mg GAE/100 g. The highest total phenolic content was obtained in Run 9 at 140°C air inlet temperature, 15% coating material ratio, and 9 mL/min feed pump speed, and the outlet temperature was at moderate levels (68°C) under these operating conditions. According to the results in Table 2, air inlet temperature presented a significant (P < 0.01) effect on the total phenolic content. Although a partial increase in the total phenolic content of encapsulated royal jelly was observed with the rise in air inlet temperature to 140°C, a significant decrease was observed at higher temperatures (Figures 4A and 4B), probably due to the heat sensitivity of phenolic contents and their degradation at high temperatures (Singh et al., 2019). Gupta et al. (2011) suggested that heat may structurally alter polyphenol compounds and bind them with other compounds. Georgetti et al. (2008) speculated that isoflavone degradation could be linked to heat-induced oxidation or decomposition of thermally sensitive substances, leading to a decrease in total polyphenol content. A similar result was obtained by Mishra et al. (2014), who reported that the total phenolic content of amla juice powder was significantly reduced (P < 0.01) when the air inlet temperature was increased from 125 to 175°C. Although the ratio of coating material to phenolic substance did not show a statistically significant effect (P > 0.05), increased quantities of maltodextrin:gum Arabic resulted in noticeably higher retention of phenolic compounds, suggesting that higher levels of coating materials had a more protective impact on the nutraceutical components during spray drying (Singh et al., 2019). Maltodextrin as a polymeric coat may help retain the nutraceutical ingredient in the microcapsules, which could explain this behavior (Sablania and Bosco, 2018). The relationship between total phenolic content and independent variables are presented in Equation 10.

Figure 4. The 3D graphs about the effect of microencapsulation process parameters on total phenolic content (A–B) and antioxidant activity (C–D).

Y4 = 29.39 − 2.25X1 + 1.59X2 + 0.16X3 − 1.13X1X2 + 0.57X1X3 + 1.05X2X3 − 3.21X12 − 0.59X22 − 0.03X32(10)

where Y4, total phenolic content (mg GAE/100 g); X1, air inlet temperature (°C), X2, coating material ratio (%); X3, feed pump speed (mL/min).

Antioxidant activity

One of the key markers of the effectiveness of the microencapsulation process is the preservation of the antioxidant qualities of bioactive compounds during spray drying. Antioxidant activity microcapsules containing royal jelly ranged from 7.29 to 27.36%. The highest radical scavenging activity was obtained at the air inlet temperature of 120°C, the coating material ratio of 20%, and the feed pump speed of 9 mL/min, as reported by Tatar Turan et al. (2016), who observed the highest antioxidant activity at 125°C in the production of blueberry microcapsules. According to ANOVA (Table 2), the effect of air inlet temperature and coating material ratio on antioxidant activity is statistically significant (P < 0.05), which was close to the trend of total phenolic content and demonstrated AA’s correlation with polyphenol alteration. The air inlet temperature negatively affected the antioxidant activity (Figures 4C and 4D) due to higher temperature exposure that adversely affected the structure of phenolics, causing its breakdown and/or synthesis into different forms (Mishra et al., 2014). A similar result was reported by Mousavi Kalajahi and Ghandiha (2022), indicating that the rise in air inlet temperature accelerated the loss of antioxidant activity in encapsulated nettle extract powder. The increase in coating material ratio led to higher antioxidant activity, which can be attributed to the more preserved antioxidant bioactive compounds with an increase in the coating material ratio. Mousavi Kalajahi and Ghandiha (2022) also stated the positive effect of coating material concentration on the preservation of antioxidant activity for spray-dried nettle extract powder. The relationship between antioxidant activity and independent variables are presented in the below equation (Equation 11).

Y5 = 3.28 − 0.68X1 + 0.72X2 + 0.26X3 + 0.08X1X2 + 0.07X1X3 + 0.01X2X3 − 0.34X12 + 0.03X22 + 0.03X32(11)

where Y5, antioxidant activity (%); X1, air inlet temperature (°C), X2, coating material ratio (%); X3, feed pump speed (mL/min).

Solubility

Solubility is an essential quality criterion as it directly affects the functional properties of food systems. The term “solubility” refers to the ability of the powder to form a solution or suspension in water (Nguyen et al., 2022). The data regarding the solubility obtained in the optimization experiment varied between 91.20 and 98.80% with an average value of 96.05% (Table 1), indicating good solubility characteristics in water since Arabic gum and maltodextrin are good encapsulating agents for retaining bioactive compounds with high water solubility (Souza et al., 2024). These results are consistent with the findings of Singh et al. (2019), who observed the variation in solubility from 80.11 to 93.15% for Jamun pulp encapsulated using maltodextrin through spray drying. In Run 6, where the highest solubility was determined, the air inlet temperature, the coating material ratio, and the feed pump speed were 140°C, 15%, and 9 mL/min, respectively. The air inlet temperature and feed pump speed were found to have a significant (P < 0.05) positive effect, whereas the coating material ratio harmed the solubility of powders (P > 0.05; Figures 4A and 4B). A similar trend was observed by Seyrekoglu et al. (2024), who indicated that the solubility of Hypericum perforatum microcapsules increased with the increase in air inlet temperature and a decrease in coating-to-extract ratio. Zouari et al. (2020) reported that air inlet temperature exceeding 140°C causes lower solubility in milk powders. Likewise, in our study, the acceleration of the increase in solubility with the rise in air inlet temperature decreases at temperatures exceeding 140°C. The amount of energy from high temperatures in the spray drying process is sufficient to break the intermolecular bonds in the product, causing the release of hydroxyls that facilitate the hydration of the product. In addition, at higher air inlet temperatures, particles with lower moisture content are formed and are less sticky, thus improving the hydration of the product due to the higher surface area in contact with the rehydration water (Pombo et al., 2020). The effect of the coating material ratio on solubility was insignificant, which can be explained by the fact that both materials (maltodextrin and gum Arabic) have high solubility as coating agents. However, an increased coating material ratio resulted in lower solubility of the microencapsulated royal jelly powder (Figures 5A and 5B), which may be due to the presence of more insoluble residue and the formation of more lumps as a result of the use of a higher amount of coating materials (Patil et al., 2014). The relationship between solubility and independent variables is presented as below in Equation 12.

Figure 5. The 3D graphs about the effect of microencapsulation process parameters on solubility (A–B) and particle size (C–D).

Y6 = 97.16 + 1.98X1 − 0.56X2 + 0.99X3 + 0.71X1X2 − 2.17X1X3 + 0.94X2X3 − 1.53X12 − 0.97X22 + 0.16X32(12)

where Y6, solubility (%); X1, air inlet temperature (°C), X2, coating material ratio (%); X3, feed pump speed (mL/min).

Particle size

One of the most crucial aspects of powders is their size, which directly impacts various physical properties, such as flowability, dispersibility, compressibility, stability, and storage. The degree of contact between the particles and the surrounding liquid is also determined by the particle size, which is correlated with the particle surface area. In this study, the particle sizes of microcapsules were in the range of 279.6–866.8 nm (Table 1). According to Table 2, air inlet temperature and coating material ratio significantly affected the particle size (P < 0.05). Figures 5C and 5D show that higher air inlet temperature during spray drying led to smaller particle sizes, as per the findings of Cortés-Rojas et al. (2015), who indicated that lower inlet temperature is responsible for generating products with larger particle size. This phenomenon was due to the drying rate and the amount of moisture removed as a consequence of the atomization conditions. On increasing inlet temperature, drying became faster, resulting in less droplet adherence to the previously dried particle, eventually leading to a smaller size. The increase in coating material ratio caused higher particle size values. This is due to the formation of particles with high moisture content due to the high coating concentration resulting from the agglomeration of particles (Millinia et al., 2024). This trend is similar to the results obtained by Cortés-Rojas et al. (2015). The relationship between antioxidant activity and independent variables is presented in Equation 13.

Y7 = 365.84 − 75.52X1 + 190X2 + 18.93X3 − 66.95X1X2 + 54.45X1X3 + 40.05X2X3 + 35.31X12 + 110.55X22 + 9.66X32(13)

where Y7, particle size (nm); X1, air inlet temperature (°C), X2, coating material ratio (%); X3, feed pump speed (mL/min).

Determination and verification of optimum conditions

The processing conditions for microencapsulation of royal jelly by spray drying were successfully optimized using Box–Behnken modeling of the second-order polynomial equation through Design Expert software. The optimization process, according to multiple criteria, was carried out using the desirability function, which can be achieved by setting it to 1. According to each response, the demands were preferred as minimum, maximum, and range. While the encapsulation efficiency, total phenolic content, and solubility were selected as maximum, water activity was determined to be minimum, and particle size was determined to be in the range (279.6–866.8 nm). Since the “lack of fit” value of the model created for antioxidant activity was found to be significant, it was not included in the optimization. In line with the obtained responses, the optimum process conditions were determined as 145.81°C air inlet temperature, 20% coating material ratio, and 9 mL/min food pump speed (Table 3). These values were decided by paying attention to the highest desirability (0.81) obtained in the response surface solution. In addition, the outlet temperature of microcapsules loaded with royal jelly under optimum conditions with spray drying was measured between 70 and 73°C.

The encapsulation process by spray drying was repeated using the optimum points obtained after the optimization trial. The estimated values obtained under optimum conditions and the experimental results are given in Table 3. To verify the adequacy of the response surface model used to predict the responses as a function of the independent variables, the deviation was calculated using Equation 14.

Table 3. Experimental results with estimated values obtained under optimum conditions.

Run Parameters Responses Desirability
X1 X2 X3 Y1 Y3 Y4 Y6 Y7
Predictive values
1 145.81 20 8.84 94.81 0.204 128.91 96.27 619.76 0.81
2 145.87 19.99 8.74 94.9 0.204 128.85 96.25 618.86 0.809
3 146.13 20 8.73 94.85 0.204 128.77 96.29 619.2 0.809
Experimental values
1 146 20 9 96.74 0.214 115.6 98.72 742.18
2 146 20 9 92.58 0.229 107.53 97.51 668.46
3 146 20 9 94.66 0.209 120.45 92.97 719.88
D value 0.002 −0.107 0.112 −0.005 −0.146

X1, air inlet temperature (oC); X2, coating material ratio (%), X3, feed pump speed (mL/min); Y1, encapsulation efficiency (%); Y3, water activity; Y4, total phenolic content (mg GAE/100 g); Y6, solubility (%); Y7, particle size (nm).

D=X1X2X1 14

where D is the deviation from the mean, and X1 and X2 are the estimated and experimental values, respectively.

The deviation from the estimated and experimental values for the optimum process parameters was calculated between −0.146 and 0.112, which shows that the experimental values obtained are close to the estimated values, and the feasibility of the model and the prediction are good.

Characterization of microencapsulated royal jelly powder

The production of encapsulated royal jelly powder was carried out under optimum conditions and characterization of the microcapsules, including physicochemical (moisture content, water activity, color properties, particle size, solubility, flowability, wettability, loose and tapped bulk densities, particle density, porosity), bioactive (total phenolic substance, antioxidant capacity), and morphological properties.

The moisture content and water activity were determined to be 4.96 and 0.226, respectively, within the typical ranges of industrially produced spray-dried food powders. These values indicate that optimized powder could be considered stable during microbial contamination and storage because they met the requirements for moisture content (<6%) and water activity (<0.6) (Gul and Dervisoglu, 2020; Tolve et al., 2021). Likewise, similar results were obtained by Pant et al. (2022) for encapsulated bee propolis powder.

Color is one of the most critical parameters that can affect the sensory acceptability of powders. The L*, a*, and b* of the powders produced under optimum processing conditions were 94.22, 0.48, and 4.21, respectively. From these results, it can be interpreted that royal jelly powders are slightly yellowish in color.

The average particle size of optimized powder was 710 nm, and they were termed as nanoparticles as they were below 1000 nm in size. This also indicated that nano-sized particles were suitable for use in the food and pharmaceutical industries. Particles showed a monomodal particle size distribution, indicating a homogeneous particle size (Figure 6). Smaller-sized particles ensure an improved application ratio of entrapped compounds and have positive effects on physical properties, such as solubility. On the other hand, smaller microcapsules have lesser biological activity and shorter storage properties due to environmental effects (Nguyen et al., 2024). Murrieta-Pazos et al. (2011) reported that particle sizes below <0.75 µm exhibited poor transport and reconstitution properties due to the formation of high cohesive forces between particles.

Figure 6. Particle size and SEM microphotographs of optimized microcapsules.

The solubility and wettability values of optimized powder were 96.73% and 3272.5 s, respectively. The wettability of powders, or overcoming the surface tension at the solid–liquid interface, is calculated by measuring the time required for the powder to sink completely. In this respect, encapsulated royal jelly produced under optimum conditions is relatively poor in terms of time and instant properties. For powders to exhibit good instant properties, they need to be wetted within a few seconds (Turchiuli et al., 2005).

Particle density, the particle mass corresponding to 1 cm3 volume, was determined by a gas multipycnometer, and the particle density value of encapsulated royal jelly powders produced at the optimum point was determined as 1.49. The loose and tapped bulk densities of optimized particles were determined as 0.28 and 0.32 g/cm3, respectively. The porosity value, which expresses the ratio of the difference between the total and particle volume, was 78.32 for the royal jelly powder produced at the optimum point. The flowability, which refers to the ability of particles to overcome the resistance to flow created by surface interactions, was determined as 23.94° with the angle of agglomeration (AOR) approach, indicating that the powders have excellent fluidity.

The total phenolic content and radical scavenging activity values of optimized royal jelly powder were determined as 114.53 mg GAE/100 g and 19.8%, respectively. Notably, these values are lower in microencapsulated form compared to fresh royal jelly. This is because high heat treatment during drying negatively affects the structure of phenolics and causes them to degrade and/or synthesize into different forms. Also, the encapsulation efficiency of royal jelly is lower than 100%.

SEM images of microcapsules produced by spray drying under optimum process conditions are given in Figure 6. The powders were spherical, homogeneously distributed, and consisted of tiny particles. While most of the particles exhibited a shrunken surface, there were also smooth-surfaced particles. No cavities or cracks were observed on the surface of the particles, which indicated that the integrity of the particles was not compromised during drying and thereby limited the oxygen and water vapor permeability that may affect the stability of the bioactive component. A similar appearance was also observed in the encapsulation study conducted by Nguyen et al. (2024), who reported that the particles appeared relatively smooth and exhibited a spherical shape with smooth or wrinkled surfaces. It was also stated that the particle surfaces showed limited or no fractures, cracks, or voids, which indicated that the coating material and the encapsulation process were suitable for the bioactive component. This finding is consistent with the microencapsulation efficiency of bioactive compounds such as royal jelly and shows that they can be better preserved in microcapsules.

Conclusions

Royal jelly is an extremely valuable food produced by honey bees in specific periods, and is very sensitive to shelf life due to its bioactive properties. It is defined as a superfood with its unique properties. In this study, a new form of royal jelly was developed by microencapsulation to increase its shelf life while preserving its functional and nutritional properties. Production was done by optimizing the microencapsulation conditions, and high-quality royal jelly powder was obtained in terms of technological aspects and functionality, by controlling properties with characterization analysis. Although there are studies on the production of microencapsulated royal jelly in the literature, this study is one of the first in this respect that evaluates the properties of the powder product for use as a food additive.

This study demonstrated the successful encapsulation of royal jelly using the spray drying method. It may be useful in subsequent studies to establish the relationship between an index of total energy used in the spray drying process and the modification of product properties. Also, detailed studies are needed to determine the stability of technological and functional properties of microencapsulated royal jelly during storage, considering different packaging materials and environmental conditions. Furthermore, more comprehensive assessments can be made by determining the sorption properties of microencapsulated royal jelly particles and conducting studies on bioaccessibility and release. Testing its behavior in a real food environment will provide more information about its availability.

Acknowledgments

The author acknowledges Kastamonu University for providing access to its laboratory facilities and technical support and thanks Dr. Osman Gül and Dr. Yasemin Çelik Altunoğlu for their valuable guidance and advice.

Author Contributions

All work in the study was carried out by the author.

Competing Interests

The author has no relevant financial interests to disclose.

Conflicts of Interests

There is no conflict of interest.

Funding

This study was supported by the Scientific and Technological Research Council of Türkiye (TUBITAK) under 2218 - National Postdoctoral Research Fellowship Program (121C374).

REFERENCES

Ahmad, S., Campos, M.G., Fratini, F., Altaye, S.Z., and Li, J., 2020. New insights into the biological and pharmaceutical properties of royal jelly. International Journal of Molecular Sciences. 21(2): 382. 10.3390/ijms21020382

Antinelli, J.-F., Zeggane, S., Davico, R., Rognone, C., Faucon, J.-P., and Lizzani, L., 2003. Evaluation of (E)-10-hydroxydec-2-enoic acid as a freshness parameter for royal jelly. Food Chemistry. 80(1): 85–89. 10.1016/S0308-8146(02)00243-1

AOAC, 1990. Official methods of analysis. 15th ed. Arlington, VA: Association of Official Analytical Chemist.

Arpagaus, C., Collenberg, A., Rutti, D., Assadpour, E., and Jafari, S.M., 2018. Nano spray drying for encapsulation of pharmaceuticals. International Journal of Pharmaceutics. 546(1–2): 194–214. 10.1016/j.ijpharm.2018.05.037

Atalar, I., and Dervisoglu, M., 2015. Optimization of spray drying process parameters for kefir powder using response surface methodology. LWT-Food Science and Technology. 60(2): 751–757. 10.1016/j.lwt.2014.10.023

Atalar, I., and Yazici, F., 2018. Effect of different binders on reconstitution behaviors and physical, structural, and morphological properties of fluidized bed agglomerated yoghurt powder. Drying Technology. 37(13): 1656–1664. 10.1080/07373937.2018.1529038

Bagheri, R., Ariaii, P., and Motamedzadegan, A., 2020. Characterization, antioxidant and antibacterial activities of chitosan nanoparticles loaded with nettle essential oil. Journal of Food Measurement and Characterization. 15(2): 1395–1402. 10.1007/s11694-020-00738-0

Bahari, H., Taheri, S., Rashidmayvan, M., Jamshidi, S., Jazinaki, M.S., and Pahlavani, N., 2023. The effect of Royal jelly on liver enzymes and glycemic indices: A systematic review and meta-analysis of randomized clinical trials. Complementary Therapies in Medicine. 77: 102974. 10.1016/j.ctim.2023.102974

Balasubramani, P., Palaniswamy, P.T., Visvanathan, R., Thirupathi, V., Subbarayan, A., and Prakash Maran, J., 2015. Microencapsulation of garlic oleoresin using maltodextrin as wall material by spray drying technology. International Journal of Biological Macromolecules. 72: 210–217. 10.1016/j.ijbiomac.2014.08.011

Benković, M., Tušek, A.J., Belščak-Cvitanović, A., Lenart, A., Domian, E., Komes, D., et al. 2015. Artificial neural network modelling of changes in physical and chemical properties of cocoa powder mixtures during agglomeration. LWT–Food Science and Technology. 64(1): 140–148. 10.1016/j.lwt.2015.05.028

Beykaya, M., Inkaya, N.N., Yorulmaz Onder, E., Arici, Y.K., and Sahin, H., 2023. Comprehensive study of the physicochemical properties of royal jelly from various regions of Turkiye. Chemistry & Biodiversity. 20(9): e202300881. 10.1002/cbdv.202300881

Botezan, S., Baci, G.M., Bagameri, L., Pasca, C., and Dezmirean, D.S., 2023. Current status of the bioactive properties of royal jelly: A comprehensive review with a focus on its anticancer, anti-inflammatory, and antioxidant effects. Molecules. 28(3): 1510. 10.3390/molecules28031510

Buratti, S., Benedetti, S., and Cosio, M.S., 2007. Evaluation of the antioxidant power of honey, propolis and royal jelly by amperometric flow injection analysis. Talanta. 71(3): 1387–1392. 10.1016/j.talanta.2006.07.006

Carneiro, H.C.F., Tonon, R.V., Grosso, C.R.F., and Hubinger, M.D., 2013. Encapsulation efficiency and oxidative stability of flaxseed oil microencapsulated by spray drying using different combinations of wall materials. Journal of Food Engineering. 115(4): 443–451. 10.1016/j.jfoodeng.2012.03.033

Chen, C., and Chen, S.Y., 1995. Changes in protein components and storage stability of royal jelly under various conditions. Food Chemistry. 54(2): 195–200.

Collazo, N., Carpena, M., Nunez-Estevez, B., Otero, P., Simal-Gandara, J., and Prieto, M.A., 2021. Health promoting properties of bee royal jelly: Food of the queens. Nutrients. 13(2): 543. 10.3390/nu13020543

Cortés-Rojas, D.F., Souza, C.R.F., and Oliveira, W.P., 2015. Optimization of spray drying conditions for production of Bidens pilosa L. dried extract. Chemical Engineering Research and Design. 93: 366–376. 10.1016/j.cherd.2014.06.010

Desai, K.G.H., and Jin Park, H., 2005. Recent developments in microencapsulation of food ingredients. Drying Technology. 23(7): 1361–1394. 10.1081/drt-200063478

Dundar, A.N., Cinar, A., Altuntas, S., Ulubayram, N., Taner, G., Dagdelen, A.F., et al. 2022. The role of microencapsulation in maintaining biological activity of royal jelly: Comparison with biological activity and bioaccessibility of microencapsulated, fresh and lyophilized forms during storage. Journal of the Science of Food and Agriculture. 102(12): 5502–5511. 10.1002/jsfa.11905

Ecem Bayram, N., Çebi, N., Çelik, S., Gerçek, Y.C., Bayram, S., Tanuğur Samancı, A.E., et al. 2021. Turkish royal jelly: Amino acid, physicochemical, antioxidant, multi-elemental, antibacterial and fingerprint profiles by analytical techniques combined with chemometrics. Journal of Apicultural Research. 60(5): 751–764. 10.1080/00218839.2021.1889222

El-Seedi, H.R., Salama, S., El-Wahed, A.A.A., Guo, Z., Di Minno, A., Daglia, M., et al. 2024. Exploring the therapeutic potential of royal jelly in metabolic disorders and gastrointestinal diseases. Nutrients. 16(3): 393. 10.3390/nu16030393

Emir, M., 2020. Effect of harvesting period on chemical and bioactive properties of royal jelly from Turkey. European Food Science and Engineering. 1(1): 9–12. Available from: https://dergipark.org.tr/en/pub/efse/issue/54144/738407 [Accessed: 2 February, 2025]

Fazaeli, M., Emam-Djomeh, Z., Kalbasi Ashtari, A., and Omid, M., 2012. Effect of spray drying conditions and feed composition on the physical properties of black mulberry juice powder. Food and Bioproducts Processing. 90(4): 667–675. 10.1016/j.fbp.2012.04.006

Georgetti, S.R., Casagrande, R., Souza, C.R.F., Oliveira, W.P., and Fonseca, M.J.V., 2008. Spray drying of the soybean extract: Effects on chemical properties and antioxidant activity. LWT–Food Science and Technology. 41(8): 1521–1527. 10.1016/j.lwt.2007.09.001

Ghadimi-Garjan, R., Javadi, A., Jafarizadeh-Malmiri, H., Anarjan, N., and Mirzaei, H., 2023. Lyophilized royal jelly preparation in nanoscale and evaluation of its physicochemical properties and bactericidal activity. Food Science & Nutrition. 11(6): 3404–3413. 10.1002/fsn3.3330

Gil-Chávez, J., Padhi, S.S.P., Hartge, U., Heinrich, S., and Smirnova, I., 2020. Optimization of the spray-drying process for developing aquasolv lignin particles using response surface methodology. Advanced Powder Technology. 31(6): 2348–2356. 10.1016/j.apt.2020.03.027

Gonçalves, A., Estevinho, B.N., and Rocha, F., 2019. Characterization of biopolymer-based systems obtained by spray-drying for retinoic acid controlled delivery. Powder Technology. 345: 758–765. 10.1016/j.powtec.2019.01.062

González-Peña, M.A., Lozada-Ramírez, J.D., and Ortega-Regules, A.E., 2021. Antioxidant activities of spray-dried carotenoids using maltodextrin-Arabic gum as wall materials. Bulletin of the National Research Centre. 45(1): 58. 10.1186/s42269-021-00515-z

Gul, O., and Dervisoglu, M., 2020. Optimization of spray drying conditions for microencapsulation of Lactobacillus casei Shirota using response surface methodology. European Food Science and Engineering. 1(1): 1–8.

Gupta, S., Cox, S., and Abu-Ghannam, N., 2011. Effect of different drying temperatures on the moisture and phytochemical constituents of edible Irish brown seaweed. LWT-Food Science and Technology. 44(5): 1266–1272. 10.1016/j.lwt.2010.12.022

Gül, O., Atalar, İ., Törnük, F., and Akgün, A., 2022. Process optimization of a cereal-based fermented beverage (Boza) powder and investigating upscaling conditions. Journal of Food Process Engineering. 46(2): 14248. 10.1111/jfpe.14248

Huang, K., Yuan, Y., and Baojun, X., 2023. A critical review on the microencapsulation of bioactive compounds and their application. Food Reviews International. 39(5): 2594–2634. 10.1080/87559129.2021.1963978

Kausar, S.H., and More, V.R., 2019. Royal Jelly. Organoleptic characteristics and physicochemical properties. The Pharmaceutical and Chemical Journal. 6(2): 20–24.

Keskin, M., Özkök, A., Karahalil, F., and Kolayli, S., 2020. Arı sütü 10-Hidroksi-2-Dekanoik asit (10-HDA) miktarı ne olmalıdır? Mediterranean Agricultural Sciences. 33(3): 347–350. 10.29136/mediterranean.698926

Kolayli, S., Sahin, H., Can, Z., Yildiz, O., Malkoc, M., and Asadov, A., 2016. A member of complementary medicinal food: Anatolian royal jellies, their chemical compositions, and antioxidant properties. Evidence-based Complementary and Alternative Medicine. 21(4): 1–6. 10.1177/2156587215618832

Laureanti, E.J.G., Paiva, T.S., de Matos Jorge, L.M., and Jorge, R.M.M., 2023. Microencapsulation of bioactive compound extracts using maltodextrin and gum Arabic by spray and freeze-drying techniques. International Journal of Biological Macromolecules. 253(Pt 4): 126969. 10.1016/j.ijbiomac.2023.126969

Lejaniya, A.K.S., and Pui, L.P., 2022. Effects of spray-drying parameters on physicochemical properties of powdered fruits. Foods and Raw Materials. 10(2): 235–251. 10.21603/2308-4057-2022-2-533

Liu, J.R., Yang, Y.C., Shi, L.S., and Peng, C.C., 2008. Antioxidant properties of royal jelly associated with larval age and time of harvest. Journal of Agricultural and Food Chemistry. 56(23): 11447–11452.

Maghsoudlou, A., Mahoonak, A.S., Mohebodini, H., and Toldra, F., 2019. Royal jelly: Chemistry, storage and bioactivities. Journal of Apicultural Science. 63(1): 17–40. 10.2478/jas-2019-0007

Manickavasagan, A., Thangavel, K., Dev, S.R.S., Delfiya, D.S.A., Nambi, E., Orsat, V., et al. 2015. Physicochemical characteristics of date powder produced in a pilot-scale spray dryer. Drying Technology. 33(9): 1114–1123. 10.1080/07373937.2015.1014045

Martinello, M., and Mutinelli, F., 2021. Antioxidant activity in bee products: A review. Antioxidants (Basel). 10(1): 71. 10.3390/antiox10010071

Mehran, M., Masoum, S., and Memarzadeh, M., 2020. Microencapsulation of Mentha spicata essential oil by spray drying: Optimization, characterization, release kinetics of essential oil from microcapsules in food models. Industrial Crops and Products. 154: 112694. 10.1016/j.indcrop.2020.112694

Millinia, B.L., Mashithah, D., Nawatila, R., and Kartini, K., 2024. Microencapsulation of roselle (Hibiscus sabdariffa L.) anthocyanins: Effects of maltodextrin and trehalose matrix on selected physicochemical properties and antioxidant activities of spray-dried powder. Future Foods. 9: 100300. 10.1016/j.fufo.2024.100300

Mishra, P., Mishra, S., and Mahanta, C.L., 2014. Effect of maltodextrin concentration and inlet temperature during spray drying on physicochemical and antioxidant properties of amla (Emblica officinalis) juice powder. Food and Bioproducts Processing. 92(3): 252-258. 10.1016/j.fbp.2013.08.003

Mokaya, H.O., Njeru, L.K., and Lattorff, H.M.G., 2020. African honeybee royal jelly: Phytochemical contents, free radical scavenging activity, and physicochemical properties. Food Bioscience. 37(12): 100733. 10.1016/j.fbio.2020.100733

Moraru, D., Alexa, E., Cocan, I., Obiștioiu, D., Radulov, I., Hulea, A., et al. 2023. Chemical composition, antioxidant, antimicrobial and antiinflamatory activity of some bee products. Preprints. 20230707874. 10.20944/preprints202307.0874.v1

Moraru, D., Alexa, E., Cocan, I., Obiștioiu, D., Radulov, I., Simiz, E., et al. 2024. Chemical characterization and antioxidant activity of Apilarnil, royal jelly, and Propolis collected in Banat Region, Romania. Applied Sciences. 14(3): 1242. 10.3390/app14031242

Mousavi Kalajahi, S.E., and Ghandiha, S., 2022. Optimization of spray drying parameters for encapsulation of Nettle (Urtica dioica L.) extract. LWT. 158: 113149. 10.1016/j.lwt.2022.113149

Murrieta-Pazos, I., Gaiani, C., Galet, L., Cuq, B., Desobry, S., and Scher, J., 2011. Comparative study of particle structure evolution during water sorption: Skim and whole milk powders. Colloids and Surfaces B: Biointerfaces. 87(1): 1–10. 10.1016/j.colsurfb.2011.05.001

Nguyen, C.T., Nguyen Di, K., Phan, H.C., Kha, T.C., and Nguyen, H.C., 2024. Microencapsulation of noni fruit extract using gum Arabic and maltodextrin—Optimization, stability and efficiency. International Journal of Biological Macromolecules. 269(Pt 2): 132217. 10.1016/j.ijbiomac.2024.132217

Nguyen, Q.-D., Dang, T.-T., Nguyen, T.-V.-L., Nguyen, T.-T.-D., and Nguyen, N.-N., 2022. Microencapsulation of roselle (Hibiscus sabdariffa L.) anthocyanins: Effects of different carriers on selected physicochemical properties and antioxidant activities of spray-dried and freeze-dried powder. International Journal of Food Properties. 25(1): 359–374. 10.1080/10942912.2022.2044846

Nuzzo, M., Millqvist-Fureby, A., Sloth, J., and Bergenstahl, B., 2015. Surface composition and morphology of particles dried individually and by spray drying. Drying Technology. 33(6): 757–767. 10.1080/07373937.2014.990566

Ozkok, D., and Silici, S., 2017. Antioxidant activities of honeybee products and their mixtures. Food Science and Biotechnology. 26(1): 201–206. 10.1007/s10068-017-0027-0

Pant, K., Thakur, M., Chopra, H.K., and Nanda, V., 2022. Encapsulated bee propolis powder: Drying process optimization and physicochemical characterization. LWT. 155: 112956. 10.1016/j.lwt.2021.112956

Patil, V., Chauhan, A.K., and Singh, R.P., 2014. Optimization of the spray-drying process for developing guava powder using response surface methodology. Powder Technology. 253: 230–236. 10.1016/j.powtec.2013.11.033

Pavel, C.I., Mărghitaş, L.A., Dezmirean, D.S., Tomoş, L.I., Bonta, V., Şapcaliu, A., et al. 2014. Comparison between local and commercial royal jelly—Use of antioxidant activity and 10-hydroxy-2-decenoic acid as quality parameter. Journal of Apicultural Research. 53(1): 116–123. 10.3896/ibra.1.53.1.12

Pombo, J.C.P., de Medeiros, H., and Pena, R.D.S., 2020. Optimization of the spray drying process for developing cupuassu powder. Journal of Food Science and Technology. 57(12): 4501–4513. 10.1007/s13197-020-04487-2

Ribeiro, A.M., Shahgol, M., Estevinho, B.N., and Rocha, F., 2020. Microencapsulation of Vitamin A by spray-drying, using binary and ternary blends of gum Arabic, starch and maltodextrin. Food Hydrocolloids. 108(2): 106029. 10.1016/j.foodhyd.2020.106029

Sablania, V., and Bosco, S.J.D., 2018. Optimization of spray drying parameters for Murraya koenigii (Linn) leaves extract using response surface methodology. Powder Technology. 335: 35–41. 10.1016/j.powtec.2018.05.009

Sagona, S., Coppola, F., Giannaccini, G., Betti, L., Palego, L., Tafi, E., et al. 2022. Impact of different storage temperature on the enzymatic activity of Apis mellifera royal jelly. Foods. 11(20): 3165. 10.3390/foods11203165

Seyrekoglu, F., Temiz, H., Eser, F., and Yildirim, C., 2024. Optimization of Hypericum perforatum microencapsulation process by spray drying method. AAPS PharmSciTech. 25(5): 99. 10.1208/s12249-024-02820-y

Shahidi Noghabi, M., and Molaveisi, M., 2019. Microencapsulation optimization of cinnamon essential oil in the matrices of gum Arabic, maltodextrin, and inulin by spray-drying using mixture design. Journal of Food Process Engineering. 43(2): e13341. 10.1111/jfpe.13341

Shi, Y., Wang, J., Wang, Y., Zhang, H., Ma, Y., Zhao, X., et al. 2018. Inlet temperature affects spray drying quality of watermelon powder. Czech Journal of Food Sciences. 36(4): 321–328. 10.17221/406/2017-cjfs

Singh, A., and Van den Mooter, G., 2016. Spray drying formulation of amorphous solid dispersions. Advanced Drug Delivery Reviews. 100: 27–50. 10.1016/j.addr.2015.12.010

Singh, C.S., Paswan, V.K., and Rai, D.C., 2019. Process optimization of spray dried Jamun (Syzygium cumini L.) pulp powder. LWT. 109: 1–6. 10.1016/j.lwt.2019.04.011

Sonmez, E., Kekecoglu, M., Sahin, H., Bozdeveci, A., and Alpay Karaoglu, S., 2023. An evaluation of the chemical composition and biological properties of Anatolian Royal Jelly, drone brood and queen bee larvae. European Food Research and Technology. 249(5): 1391–1401. 10.1007/s00217-023-04221-0

Souza, L.R.d., Santos, I.A., Machado, G.G.L., Pereira, E.P., Boas, E.V.d.B.V., Botrel, D.A., et al. 2024. Microencapsulation of carotenoids from tucumã (Astrocaryum aculeatum) peel by spray drying: Physicochemical properties, antioxidant activity and application in yogurt. Food and Humanity. 3: 100454. 10.1016/j.foohum.2024.100454

Tan, S.P., Kha, T.C., Parks, S., Stathopoulos, C., and Roach, P.D., 2015. Optimising the encapsulation of an aqueous bitter melon extract by spray-drying. Foods. 4(3): 400–419. 10.3390/foods4030400

Tatar Turan, F., Cengiz, A., Sandikci, D., Dervisoglu, M., and Kahyaoglu, T., 2016. Influence of an ultrasonic nozzle in spray-drying and storage on the properties of blueberry powder and microcapsules. Journal of the Science of Food and Agriculture. 96(12): 4062–4076. 10.1002/jsfa.7605

Tolun, A., Altintas, Z., and Artik, N., 2016. Microencapsulation of grape polyphenols using maltodextrin and gum arabic as two alternative coating materials: Development and characterization. Journal of Biotechnology. 239: 23–33. 10.1016/j.jbiotec.2016.10.001

Tolve, R., Galgano, F., Condelli, N., Cela, N., Lucini, L., and Caruso, M.C., 2021. Optimization model of phenolics encapsulation conditions for biofortification in fatty acids of animal food products. Foods. 10(4): 881. 10.3390/foods10040881

Tonon, R.V., Freitas, S.S., and Hubinger, M.D., 2011. Spray drying of AÇai (Euterpe oleraceae Mart.) juice: Effect of inlet air temperature and type of carrier agent. Journal of Food Processing and Preservation. 35(5): 691–700. 10.1111/j.1745-4549.2011.00518.x

Tumbas Šaponjac, V., Čanadanović-Brunet, J., Ćetković, G., Jakišić, M., Vulić, J., Stajčić, S., et al. 2020. Optimisation of beetroot juice encapsulation by freeze-srying. Polish Journal of Food and Nutrition Sciences. 70(1): 25–34. 10.31883/pjfns/115153

Turchiuli, C., Eloualia, Z., El Mansouri, N., and Dumoulin, E., 2005. Fluidised bed agglomeration: Agglomerates shape and end-use properties. Powder Technology. 157(1–3): 168–175. 10.1016/j.powtec.2005.05.024

Ulubayram, N., and Cinar, A.Y., 2023. Microencapsulated and fresh royal jelly: Monitoring 10-HDA content, antibacterial and antifungal activity at different storage periods. Brazilian Archives of Biology and Technology. 66: 220203. 10.1590/1678-4324-2023220203

Vargas, V., Saldarriaga, S., Sanchez, F.S., Cuellar, L.N., and Paladines, G.M., 2024. Effects of the spray-drying process using maltodextrin on bioactive compounds and antioxidant activity of the pulp of the tropical fruit acai (Euterpe oleracea Mart.). Heliyon. 10(13): e33544. 10.1016/j.heliyon.2024.e33544

Veiga, R.D.S.D., Aparecida Da Silva-Buzanello, R., Corso, M.P., and Canan, C., 2019. Essential oils microencapsulated obtained by spray drying: A review. Journal of Essential Oil Research. 31(6): 457–473. 10.1080/10412905.2019.1612788

Yavuz, İ., and Gürel, F., 2017. Türkiye’de satışa sunulan arı sütlerinin kimyasal özellikleri. Mediterranean Agricultural Sciences. 30(3): 281–285. 10.29136/mediterranean.360013

Zouari, A., Mtibaa, I., Triki, M., Jridi, M., Zidi, D., Attia, H., and Ayadi, M.A., 2020. Effect of spray-drying parameters on the solubility and the bulk density of camel milk powder: A response surface methodology approach. International Journal of Dairy Technology. 73(3): 616–624. 10.1111/1471-0307.12690