Paper

Antioxidant and antibacterial effect of lemon verbena leaves’ (Lippia citriodora) extract as a natural preservative on refrigerated meat patties during storage

Ayman Younes Allam1*, Mohamed Farouk Elsadek2*, Khalid S. Al-Numair3, Adel Abdelrasoul A. Badr4, Sunita Singh5, Mohamed Rafat Elkabary6

1Department of Food Science and Technology, Faculty of Agriculture, Menoufia University, Shibin El Kom 32511, Egypt;

2Department of Biochemistry, College of Sciences, King Saud University, Riyadh, Saudi Arabia;

3Department of Community Health Sciences, College of Applied Medical Sciences, King Saud University, Riyadh, Saudi Arabia;

4Nutrition Department, Menoufia University Hospitals, Menoufia University, Shebin El-Kom, Egypt;

5Department of Chemistry, Navyug Kanya Mahavidyalaya, University of Lucknow, Lucknow 226004, Uttar Pradesh, India;

6Department of Nutrition and Food Science, Faculty of Home Economics, Menoufia University, Shebin El-Kom, Egypt

Abstract

This study aims to determine the influence of adding lemon verbena leaf (LVL) extract on meat samples’ physicochemical, microbiological, and sensory properties. The ethanolic extracts (LVL-1, LVL-2, LVL-3, and LVL-4) revealed higher (p ≤ 0.05) content of phenolics and flavonoids than the aqueous extract (LVL-5). Then, LVL-1 extract was selected for antioxidant activity (DPPH) analysis (75.73%). LVLs’ ethanolic extracts at concentrations of 0.0%, 0.5%, and 1.0% were added to meat samples. Redness parameters and organoleptic properties were significantly affected. However, LVL-1.0% was more efficient in reducing microbial growth up to day 12 of the storage period; therefore, 0.5% LVL reduced discoloration and lipid oxidation without affecting organoleptic properties. Cooking yield and hardness were decreased effectively at a concentration of LVL-1.0%. LVL extract effectively delayed the lipid oxidation of meat samples. Redness parameters were affected, and this was also noted in sensory analysis. Adding 0.5% (LVL-0.5%) revealed high efficiency in retarding lipid oxidation and improving color stability in meat samples. In addition, no significant difference in sensory characteristics was identified between the experimental group and control treatments. Despite the beneficial effects on the fat peroxidation of meat patties, no level of LVL extract could delay microbiological degradation during storage at 4°C for 12 days. In this context, LVL extract is an alternate technique for producing meat and meat products with lower synthetic conservatives. Therefore, adding 0.5% LVL extract reduced discoloration and lipid oxidation without impacting sensory parameters, making it a viable option for processing meat samples. Finally, because no significant impacts (p ≥ 0.05) were found during the storage period when higher concentrations were utilized (LVL-1.0 %), the addition of LVLs (LVL-0.5%) is more recommended for application in meat and meat products.

Key words: lemon verbena leaves, ethanolic extracts, concentrations, microbiological parameters, meat patties

*Corresponding Authors: Ayman Younes Allam, Department of Food Science and Technology, Faculty of Agriculture, Menoufia University, Shibin El Kom 32511, Egypt. Email: [email protected]; Mohamed Farouk Elsadek, Department of Biochemistry, College of Sciences, King Saud University, Riyadh, Saudi Arabia. Email: [email protected]

Received: 8 January 2024; Accepted: 7 May 2024; Published: 1 July 2024

DOI: 10.15586/ijfs.v36i3.2514

© 2024 Codon Publications
This is an Open Access article distributed under the terms of the Creative Commons Attribution-NonCommercial-ShareAlike 4.0 International (CC BY-NC-SA 4.0). License (http://creativecommons.org/licenses/by-nc-sa/4.0/)

Introduction

Extracts from culinary and medicinal plant sources have very substantial in vitro antioxidant activity (Katalinic et al., 2006, Oktay, Gülçin and Küfrevioğlu, 2003, Li et al., 2008, Allam, 2022b). The ability of spices to increase food shelf life has long been known, and it is now known that this antioxidant effect is mostly brought on by phenolic compounds found in plants. Oktay et al., (2003), Katalinic et al., (2006), Li et al., (2008), and Allam (2022a) found that extracts from sources of culinary and medicinal plants have extremely significant in vitro antioxidant activity. Spices have long been recognized to extend food’s shelf life, and it is now understood that this antioxidant action is mainly caused by phenolic chemicals present in plants. Due to their generally favorable effects on human health and environmental friendliness, medicinal plant extracts are being used as an alternative to conventional natural preservatives to halt the spread of foodborne viruses and germs that cause food to deteriorate (Sharma et al., 2018, Okocha, Olatoye and Adedeji, 2018, Ribeiro da Cunha, Fonseca and Calado, 2019, Lee and Shibamoto, 2002, El Sheikha et al., 2022). An artificial or natural chemical preservative stops finished items from degrading due to microbial growth or other unfavorable chemical changes. They are applied to various foods to improve their nutrition, texture, color, and flavor while preventing microbiological contamination, deterioration, and discoloration. Finding effective antimicrobials among natural chemicals is primarily motivated by the need to scale up their activities throughout the range of allowed regulatory substances. Due to their generally good health effects on humans and environmental friendliness, medicinal plant extracts are now being used as alternatives to conventional natural preservatives to inhibit the spread of foodborne pathogens and food spoilage bacteria (Sharma et al., 2018, Okocha et al., 2018, Ribeiro da Cunha et al., 2019, Lee and Shibamoto, 2002). Chemical substances extracted from plants, animals, microbes and their metabolites are considered natural preservatives since they prevent the breakdown of various foods. They function by preventing the development of microbial, oxidative, and certain dietary enzymatic processes. A preservative is a natural or artificial substance that stops completed products from decomposing due to microbial growth or other undesired chemical changes. They are used in various foods to enhance their texture, color, flavor, and nutrition while preventing them from rotting, discoloring, or becoming infected by germs. In the food, pharmaceutical, and cosmetic industries, aromatic herbs and spices are very valuable commercially. Since ancient times, they have been used, and even though many of them have been supplanted by synthetic alternatives, the market for natural goods is growing. Numerous spice extracts have become available on the market recently as antioxidants for the food industry. Some of these substances have antioxidant capacity comparable to synthetic antioxidants such as tocopherol and butylated hydroxytoluene (Schwab, Davidovich-Rikanati, and Lewinsohn, 2008, Krishnaiah, Sarbatly and Nithyanandam, 2011, Izzreen and Noriham, 2011, Gómez et al., 2018). Lemon verbena is one of these spices particularly high in flavonoids, phenolic compounds, and phenolic acids. As a result, it can be regarded as a natural antioxidant that can protect some foods from microbial deterioration and extend their storage time without affecting their characteristics (Vieitez et al., 2018, Allam, 2022). Creating high-quality, long-life storage foods and ready-to-eat foods that are only mildly preserved and have a natural, fresh appearance is the outcome of increasing consumer demand. Due to increased public awareness of natural food items and growing worries about microbe resistance to conventional preservatives, attention is being paid to the discovery of naturally occurring antimicrobials for food preservation. However, certain conventional antimicrobials and those with regulatory authorization have a variety of disadvantages. Customers are likely to be skeptical about chemical additives in these circumstances. Due to increased public interest in natural food items and growing worries about microbe resistance to conventional preservatives, research on naturally occurring antimicrobials for food protection is receiving more attention (Hu, Ali et al., 2023, Pillsbury et al., 2010, Romojaro Casado, 2014, Sharma & Parisi, 2017, Lazo, 2018, Al Jumayi, et al., 2022 & Aziz, et al., 2024). This has led to the hunt for novel anti-microbial compounds derived from natural sources.

Furthermore, meat is frequently contaminated by dangerous microorganisms. The growth and proliferation of these bacteria cause physical, chemical, and sensory changes in meat, which also raises the danger of serious infections from foodborne pathogens (Marmion et al., 2021, Singh et al., 2019, Singh & Mondal, 2019). Meat, however, is a particular perishable commodity that needs to be managed carefully to extend its shelf life even with refrigeration. Several factors, including content, ingredients, light, air, and temperature, can affect how long meat lasts (Gill, 1996, Dave and Ghaly, 2011, Rawat, 2015, Tomaszewska, Bilska and Kołożyn-Krajewska, 2022, Ren et al., 2022, Tyuftin and Kerry, 2023). Protein and lipid oxidation are the primary causes of the oxidative deterioration of meat. Unsaturated fatty acids are present in membrane triglycerides, but phospholipids and animal proteins are easily oxidized. Oxidation of meat is essentially the root cause of meat’s undesirable changes in texture, flavor, color, and appearance, and its lower nutritional value (Shivakumar et al., 2023, Sultana, Jayathilakan, and Sajeevkumar, 2022, Domínguez et al., 2019, Amaral, Silva and Lannes, 2018, Pateiro et al., 2019 & Zahra, et al., 2023).

The objectives of this study were to: (1) investigate the influence of various extraction conditions (solvent, time, and temperature of extraction); (2) demonstrate the protection of the food from oxidative degradation to prevent or modulate oxygen-related diseases; (3) increase the shelf life of meat samples by the application of polyphenolic antioxidants and antimicrobials in foods (raw, cooked, and stored) with lemon verbena leaves (LVLs) stored at 4°C for 12 days, and to produce better food for optimal health.

Materials and Methods

Materials

Preparation of LVL extract

Five kilos of LVLs (Lippia citriodora), spices, and herbs were obtained from a local market (Shebin El-Kom, Menoufia governorate, Egypt). The purchased quantities were hand-sorted to remove foreign particles, then stored in polyethylene bags in the freezer (Ideal DeltaApplicance, Egypt) at –18 ±2°C until used. Frozen powder of LVLs was ground using a blender (Model 3510, Jenway Technology, Italy) to prevent bioactive components from degradation and sieved well using a sieve shaker from Endecott’s Limited (vibratory vertical: Octagon 200/Octagon 200 CL/Minor 200/Air Sizer 200, USA) for 30 min, and filtered in a 25 mm sieve, and left in a tightly closed polyethylene tetraphalate bottle at −18 ±2°C for further analysis. Five samples (50 g) of different frozen powders of LVLs were added to other solvents (200 mL). Based on previous investigations, various extraction periods and extraction temperatures were conducted as follows:

During homogenization with a stirrer, the leaf extract was allowed to cool before being filtered (Whatman No. 1, Sigma-Aldrich, Germany) and used instantly for measurements of phenolics and flavonoid content as antioxidant activity. All extraction stages were carried out in the dark to avoid light exposure. Then, the stage of solvent disposal of the concentrated extracts were lyophilized (2.787 sqM-Mill rock Technology, Kieffer Lane, Kingston), and the residue was weighted to calculate extraction yield per plant material.

Analysis of LVL extract

GC-MS analysis

On an Agilent-6890 N gas chromatograph with an HP 5973 mass spectrometer detector, GC-MS analysis was carried out. The capillary column was an HP-5Ms (30.0 m, 0.25 mm, 0.25 m). With a flow rate of 1.0 mL/min, an injection volume of 1 L, and a split ratio of 1:1, helium (99.999%) served as the carrier gas. The temperature was initially kept at 100°C for 3 min and then increased to 250°C in stages of 20°C. Whenever possible, pure compounds’ mass spectra and retention durations were used to identify the constituents in the extracts. The Mass Spectra Library from the NIST (National Institute of Standards and Technologies) in the United States was also consulted. Each analysis was performed three times.

Total phenolics, total flavonoids, and antioxidant activity

Total phenolic content (TPC)

The Folin–Ciocalteu reagent assay was estimated to stain the extract’s TPC (Ozsoy et al., 2008). A 0.4 g dry sample was obtained with 20 mL ethanol 80%, soaked in a brawn bottle for 24 hours at room temperature, centrifuged for 5 min, volume adapted to 25 mL by ethanol 80%, filtered via Whatman no.1 filter paper, 10 mL of the solution evaporated to dryness, dissolved in 5 mL HPLC grade methanol 50%, and filtered through PTFE filter with pore size 0.2 μm. Subsequently, the mixture was incubated for 30 min at room temperature (20 ± 2 ºC), and the absorbance was measured with a spectrophotometer at 760 nm (School instrument, UV line 9400, EU). For the calibration curve, gallic acid was used as a standard material. TPC was expressed as gallic acid equivalent. Both experiments were carried out in triplicate.

Total flavonoid content (TFC)

TFC was determined using the method of Lopes et al., (2022). Five milliliters of extract was mixed with deionized water, followed by 0.3 mL NaNO2 (1:20). Five minutes later, 3 mL of AlCl3 (1:10) was added. After 6 min, 2 mL of NaOH (4%) was added, and then deionized water up to 10 mL total volume was used. Subsequently, the mixture was shaken for homogenization. A spectrophotometer (SCHOOT instrument, UV line 9400, EU) was used to measure the absorbance at 510 nm compared to a blank. Total flavonoids were expressed as quercetin equivalent (QEs) per gram of dried plant. All measurements were collected in triplicate.

Manufacture of meat samples

The minced meat was obtained from a local market in Shebin El-Kom, Menoufia Governorate, Egypt, and carried to the processing plant in iceboxes (Laboratory of Meat Products, Department of Food Science and Technology, Faculty of Agriculture, Menoufia University, Shebin El-Kom, Menoufia Governorate, Egypt,). According to a standard method, the minced meat was duplicated on three different days and categorized into two treatments: control and without adding LVLs extract. The recipe consists of minced meat, water content (4.68%), salt content (1.50%), and white pepper content (0.19%); LVL extracts (0.5% and 1.0%) were added separately to the recipe as a water substitute. The LVL-extract concentrations were determined based on prior studies conducted in our laboratory. To achieve a homogeneous mixture, each recipe was hand-mixed. Meat (about 100 g and 2.5–4.0 cm thickness) was formed by using a hand-held cutter (13–15 cm diameter). Plastic bags manufactured from high-density polyethylene were used for wrapping and refrigerated storage of all samples at 4°C for 12 days.

Technological and physicochemical properties

Chemical composition

Moisture, protein, ash, and fat content were determined according to the procedure outlined in AOAC (1995). The carbohydrate content was obtained by subtracting the percent total of the moisture, fat, protein, and ash contents from 100 percent. The crude protein was calculated according to the Pearson-described micro-Kjeldahl process (1976) and multiplied by the (N×6.25) conversion factor to crude protein. The results were then calculated as a percentage and total carbohydrates were determined by difference according to AOAC (2005). The lipid content was determined according to the methodology of Bligh and Dyer (1959). The proximate results are represented as gram/100 g. The energy content (kcal) of beef samples was derived by calculating them by the values for protein (4 kcal/g), fat (9 kcal/g), and fiber (2 kcal/g) (European Union, 2011). Meat samples were weighed before and after cooking (internal temperature 75°C) to calculate cooking yield as described by (Choi et al., 2010). All measurements were collected in triplicate.

Texture profile analysis (TPA)

TPA is a widely used method to evaluate the textural properties of food products, including hardness, cohesiveness, springiness, chewiness, and resilience. TPA was evaluated by the TAXT method using an express texture analyzer (Stable Micro Systems Ltd., Surrey, England).

Twenty meat samples before treatment were pressed via a cylinder plate supported with a 5 kg power cell for TPA. The cylinder plate used for compression ensures an even distribution of force over the sample. The power cell measures the force applied during the compression process. Performing two cycles of compression (Delay Rate: 3 s.) helps to measure the mechanical behavior of the sample under repeated stress. The delay between compressions (Crosshead Velocity: 1.6 mm/s) allows the sample to partially recover from the first compression, providing insights into its resilience and cohesiveness. The speed at which the compression plate moves is controlled to standardize the rate of force application, influencing the textural properties measured. Evaluate characteristics such as hardness (Hrynets et al., 2010).

pH value

The pH of meat samples was examined by a digital pH meter (Model 3510, Jenway Technology, Italy). The electrode of the pH meter was calibrated with two buffer solutions of pH 4 and 7. Ten grams of finely ground samples were blended in 50 mL of distilled water in a Cyclo-Mixer test tube (CM- Model 3000 USA). It was extracted by filtration through Whitman filter paper No. 1. The electrode of the pH meter was dipped in the filtrate, and the sample pH was recorded.

Lipid oxidation

The determination of lipid oxidation was performed following the method reported by Micelli-Ferrari et al., (1996), and Pompella et al., (1987) with minor adjustments. A 10 g sample was homogenized for 30 s in a stomacher in 0.035 liters of 7.5% trichloroacetic acid. Filtration was applied, and 5 mL of 20 mM TBA (thiobarbituric acid) was added. Lastly, the solution was incubated at 20 ± 2°C in the dark for 24 h. The generated color produced was measured spectrophotometrically (SCHOOT instrument, UV line 9400, EU) at 532 nm. The TBARS results were calculated as milligrams of malonaldehyde/kg of meat samples and evaluated from the standard curve of TEP standards (1,1,3,3-tetraethyoxypropane).

Instrumental color

Instrumental color analysis of cold stored rabbit meat samples was conducted using a scale color spectrophotometer with a CIE Lab colorimeter (Hunter, Lab Scan XE-Reston VA, USA) according to Allam, et al., (2021). The instrumental color analysis of cold stored rabbit meat samples using a scale color spectrophotometer with a CIE Lab colorimeter involves measuring the lightness (L*), redness/greenness (a*), and yellowness/blueness (b*) of the meat. This method provides precise and objective color measurements crucial for quality control, shelf-life assessment, and consumer acceptance in the meat industry. The spectrophotometer is calibrated using standard white and black tiles to ensure accurate color measurements. The surface of the meat samples is analyzed using the spectrophotometer, which measures the color based on reflectance. The colorimeter records color values in the CIE Lab color space, which includes three parameters: L*, a*, and b*. The color was measured as CIE values (L*, a*, and b*). It was determined that the color parameters would be as follows: L* (values ranging from blackness to whiteness for lightness), a* (values ranging from greenness to redness), and b* (values ranging from blueness to yellowness). Color difference (ΔE*) between control and cold stored rabbit meat samples was calculated by the following equation:

ΔE=ΔL*2+Δa*2+Δb*2

where ΔL* is the brightness difference, Δa* is the redness difference, and Δb* is the yellowness difference.

Microbiological properties

Meat patty samples (10 g) were aseptically transferred to a sterile stomacher (Stomacher 400; Seward Medical, London, UK), 0.1% sterile peptone water (90 mL) was added (K25-611,014, Kasvi, São José dos Pinhais, Brazil), and the samples were homogenized for 30 s. Sterilized peptone (0.1%) was used for preparing dilutions with 9 mL of water. For total viable count (TVC), sample suspensions were inoculated on plate count agar (PCA) (BioMaxima, Poland) for 48 h at 35°C under aerobic conditions. Regarding psychrotrophic bacteria count, sample suspensions were inoculated on PCA and incubated for 120 h at 4°C. Enterobacteriaceae detection was conducted, and suspensions of meat slices were inoculated on VRBA (violet, red bile agar) and incubated for 3 days at 35°C. For the total Staphylococcal count, mannitol salt agar media was used (HX0061-00,029, Acumedia, Brazil), and incubation was conducted for 3 h at 35°C.

Sensory analysis

The sensory analysis was performed at zero time following the microbiological evaluations. Meat samples were grilled until they reached the appropriate internal temperature (75°C), cut into 4 × 5 × 3 cm pieces, each wrapped in aluminum foil, and kept at 60°C to 65°C until analysis. The sliced meat samples were served in disposable plastic cups, coded with randomized monodical three digits. A trained panel of 20 members (aged 21–40 years) from the Department of Food Science and Technology, Faculty of Agriculture, Menoufia University, performed the quantitative descriptive analysis (QDA) to assess the sensory quality of cooked rabbit meat. Forty-five regular consumers (63% female, 37% male, 18-35 years old) evaluated the organoleptic specifications (taste, odor, flavor, texture, and overall acceptability) of meat samples using a hedonic scale rating of 1–9 points (1 = dislike very much, 9 = like very much) and a hedonic scale of 5 points for purchasing intention (1 = definitely wouldn’t buy and 5 = definitely would buy). Water and unsalted crackers were used between samples during the panelist’s evaluation. The acceptability index (AI) was calculated based on the relation between the average score and maximum score of the hedonic scale (9) multiplied by 100.

Statistical analysis

Data were analyzed using the statistical package SAS version 9.4 (2013). The study was replicated three times, and two measurements were conducted per replicate. Data were analyzed using the SPSS program. Results were expressed as the mean ± SD. Data for multiple variable comparisons were analyzed by a two-way analysis of variance (ANOVA). Mean values of different parameters were used to compare pH, DPPH, total phenolics, hunter color values, and sensory characteristics. The means were separated with the least significant difference (LSD) procedure. The significance between groups was determined using Duncan’s analysis. The statistical significance was identified at the 95% confidence level (P ≤ 0.05).

Results and Discussions

Phytochemical Profile of Lippia citriodora

Phytochemicals naturally found in plants can either have beneficial or harmful impacts on human health. Medicinal plants that are used to cure a wide range of illnesses and conditions are the most plentiful biological reservoirs of diverse phytochemicals. Metabolites may be responsible for plants’ natural potential. Preliminary phytochemical analyses of LVL-1, LVL-2, LVL-3, LVL-4, and LVL-5 fractions of leaves of lemon verbena were performed. As illustrated in Table 1, these results indicated the presence of natural bioactive compounds and metabolites.

Table 1. Preliminary phytochemical assessment of the ethanolic crude extract of Lippia citriodora and its different fractions.

Phytochemicals Method LVL-1 LVL-2 LVL-3 LVL-4 LVL-5
Protein Biuret test × × × × ×
Amino acid Ninhydrin test × × × × ×
Carbohydrates and sugars Molish’s test - - × × ×
Tannin Ferric-chloride test × - × × ×
Saponin Frothing test × - × × ×
Phenol Lead acetate test × × × × ×
Flavonoids Amyl alcohol test × × × × ×
Alkaloid Dragendroff’s test - × × × ×
Starch Iodine test × × × × ×
Glycosides Erdmann’s test × - - - -
Borntrager’s test - - - - -
Keller–Killani test × - - - ×
Fixed oils and fats × × × × ×
Resins Acetic-anhydride test × × × × ×

Note: (LVL-1): 70% ethanol–water (v/v) for 1 h/80°C; (LVL-2): 70% ethanol–water (v/v) for 2 h/60°C; (LVL-3): 70% ethanol–water (v/v) for 3 h at 40°C; (LVL-4): 70% ethanol–water (v/v) for 24 h/25°C; (LVL-5): distilled water for 5 min/100°C as a traditional tea preparation. × Present and - absent.

Primary and secondary plant bioactive metabolites, such as tannins, saponins, flavonoids, phenols, glycosides, alkaloids, resins, carbohydrates, and starch, were present in the leaves of lemon verbena. Plants include considerable amounts of phenols, flavonoids, alkaloids, tannins, saponins, terpenoids, steroids, glycosides, terpenes, polysaccharides, coumarins, and other secondary metabolites. Important phytochemicals include alkaloids, which have antimicrobial and antioxidant properties, and tannins, flavonoids, and saponins, which have antioxidant, antibacterial, and anti-diabetic properties. The phytochemical analysis of LVLs (L. citriodora) has a variety of phytochemicals such as flavonoids, phenols, alkaloids, glycosides, saponins, tannins, terpenes, and resins. Other investigations demonstrated that the leaves of lemon verbena (L. citriodora) contain these compounds.

Total phenolics, total flavonoids, and antioxidant activity

Bioactive compounds known as polyphenols are typically discovered in plant-based foods like seeds, fruits, and cereals. Several important flavonoids were previously reported in leaves of lemon verbena (L. citriodora). According to studies (Ishkeh et al., 2019, Adorjan and Buchbauer, 2010), flavonoids have a variety of biological properties, including antioxidant, hepatoprotective, anti-fungal, and antibacterial activities. Figures 1 and 2 show the total flavonoid and phenolic content results obtained under different extraction procedures. Figures 1 and 2 demonstrated LVL extract’s total phenolics and flavonoid content (p ≤ .05), the LVL-1 extraction using ethanol 70% for 1 h/80°C; LVL-2 extraction with ethanol 70% for 2 h/60°C; LVL-3 extraction using ethanol 70% for 3 h at 40°C; LVL-4 extraction using ethanol 70% for 24 h/25°C; and LVL-5 extraction with distilled water for 5 min/100°C as a traditional tea preparation. LVL-1 extract revealed the highest flavonoid content, indicating that extraction parameters (solvent, time, and temperature) had a significant impact (P ≤ 0.05) on LVLs’ properties to extract. TPCs were in the order LVL-1 > LVL-2 > LVL-3 > LVL-4 > LVL-5 (with values ranging between 390.21 ± 2.8 mg GAE•g−1 DE and 138.99 ± 1.55 mg QE•g−1 DE), and a similar correlation was obtained for flavonoids with LVL-1 showing the highest concentrations (total flavonoid and phenolic). The extraction using ethanol 70% for 1 h/80°C (LVL-1) showed the highest values of both phenolic and flavonoid contents with values of 390.21 ± 2.8 mg GAE•g−1 DE and 138.99 ± 1.55 mg QE•g−1 DE, respectively. In contrast, the extraction with distilled water for 5 min/100°C as a traditional tea preparation (LVL-5) fraction showed the minimum values of both phenolic and flavonoid contents having values of 71.05 ± 2.33 mg GAE•g−1 DE and 58.3 ± 1.79 mg QE•g−1 DE, respectively. The maximum amount of TPC was observed in LVL-1 (390.21 ± 2.8 mg GAE•g−1 DE), and the minimum amount was observed in LVL-5 (71.05 ± 2.33 mg GAE•g−1 DE) (milligram gallic acid equivalent per gram weight of dry extract) (Figure 1). The LVL-1 sample showed the highest amount of TFC with a value of 138.99 ± 1.55 mg QE•g−1 DE (milligram QE per gram weight of dry extract), and the LVL-5 sample exhibited the lowest amount of TFC with a value of 58.3 ± 1.79 mg QE•g−1 DE (Figure 2). No significant differences (P ≥ 0.05) were detected in flavonoid content between LVL-2, LVL-3, and LVL-4 with values of 81.59, 78.4, and 76.89 mg QE•g−1 DE, respectively.

Figure 1. Total phenolic content of lemon verbena leaves’ ethanolic extracts (L. citriodora) and different fractions. LVL-1: ethanol (70%)–water (v/v) for 1 h/80°C); LVL-2: ethanol (70%)–water (v/v) for 2 h/60°C); LVL-3: ethanol (70%)–water (v/v) for 3 h at 40°C; LVL-4: ethanol (70%)–water (v/v) for 24 h/25°C; and LVL-5: distilled water at 100°C for 5 min as a standard tea preparation. All experiments were performed in triplicates, and the error bar represents the standard deviation.

Figure 2. Total flavonoid content of lemon verbena leaves’ ethanolic extracts (L. citriodora) and different fractions. LVL-1: ethanol (70%)–water (v/v) for 1 h/80°C); LVL-2: ethanol (70%)–water (v/v) for 2 h/60°C); LVL-3: ethanol (70%)–water (v/v) for 3 h at 40°C; LVL-4: ethanol (70%)–water (v/v) for 24 h/25°C; LVL-5: distilled water at 100°C for 5 min as a standard tea preparation. All experiments were performed in triplicates, and the error bar represents the standard deviation.

However, LVL-5 had the lowest number of phenolic compounds (58.3 ± 1.79 mg QE•g−1 DE), which was most likely related to extraction with high temperature (100°C), which may lead to the destruction and reduction of phenolic (Mokrani and Madani, 2016, Roshanak, Rahimmalek and Goli, 2016, Kallel et al., 2014) and flavonoid concentrations (Kallel et al., 2014, Roshani Neshat, Bimakr and Ganjloo, 2022, Rashid et al., 2022). Previous investigations showed that the aerial parts of L. citriodora contain phenolic components and flavonoids, which contribute to the plant’s antioxidant potential (0.76 and 0.79 g/100 g, respectively) in hydroethanolic and aqueous extracts (1.25 and 1.75 g/100 g, respectively). Furthermore, due to its polarity, ethanol is regarded as a stronger solvent than water (Cortés, Herrera, and Castellanos, 2022, Lucarini et al., 2022), which shows the enhanced phenolic and flavonoid content found in LVL1. The amounts of phenolic and flavonoid compounds found in this investigation agree with those found in other studies using comparable extraction methods in leaves of lemon verbena (L. citriodora) extract (Roshani Neshat et al., 2022, Nisar et al., 2022, García-Giménez et al., 2022). The LVL-1 was confined to antioxidant activity assessment due to its higher phenolic and flavonoid content (Figures 1 and 2), demonstrating 74.98% ± 0.11 antioxidant activity, which is consistent with Salami, Heidari, and Tan (2023), who mentioned 81.87% inhibition of the DPPH radical in LVLs’ extract.

Technological and physicochemical properties of meat samples

Proximate composition, cooking yield, and texture of meat samples

The proximate composition of meat samples treated with LVL extract is shown in Table 2. No significant differences (p ≥ 0.05) were demonstrated for moisture, fat, protein, ash, and fiber contents. According to the investigation by Roohinejad et al., (2017), the content of macro-components was not significantly (p> 0.05) changed when extracts at low concentrations (1%) were added to patties. Other researchers showed no significant changes in the chemical composition of conventional lamb patties vs. those with oregano as a natural source of antioxidants (de Oliveira Ferreira et al., 2019). Meat samples treated with 1.0% LVL extract had lower (p ≤ 0.05) hardness values than LVL-0.5 and the control samples (Figure 3). Nonsignificant differences were observed in hardness between the control samples and LVL-0.5%. According to Hao et al., (2022), the phenolic component of LVL extract may impair its emulsifying characteristics, making meat products containing LVL extract softer. However, when 1.0% LVL extract was utilized in meat samples, the impact of reducing emulsifying characteristics was only significant (p ≤ 0.05). On the other hand, LVL1.0% had higher (p < 0.05) cohesiveness than in LVL0.5% and control samples. The emulsifying characteristics of meat proteins influence the cooking yield of meat products, which is influenced by moisture and fat loss throughout cooking (Colmenero, 1996, Santhi et al., 2017, Pereira, Hu et al., 2019). Meat samples had cooking yields ranging from 52.14% to 64.83% (Table 1). Cooking yield values were unaffected by the addition of LVL-0.5% extract; however, treatment with 1.0% LVL extract resulted in lower values (p ≤ 0.05) than the control sample.

Table 2. The approximate composition of meat samples with the addition of lemon verbena leaf extract.

Proximate composition (g/100 g) Control LVL-0.5 LVL-1.0
Moisture 73.18a± 0.11 73.13a± 0.98 73.64a± 2.07
Protein 15.76a± 0.33 15.62a± 0.25 15.49a± 0.06
Fat 7.61a± 0.01 6.76a± 1.29 8.81a± 1.09
Ash 1.92a± 0.11 1.75a± 0.21 1.44a± 0.29
Fiber 0.52a ± 0.19 0.59a± 0.39 0.85a± 0.28
Energy value (kcal/100g) 137.52 135.83 152.74

Note: Means ± standard error. Different letters (a–b) in the same row show significant differences (p ≤ 0.05). Abbreviations: Control: (control treatment, meat samples with no LVL extract addition); LVL-0.5%: (meat samples with the addition of 0.5% LVL extract); and LVL1.0%: (meat samples with the addition of 1.0% LVL extract).

Figure 3. Texture profile (Hardness) of meat samples with lemon verbena leaves extract addition. Different letters (A–B) in the same row show significant differences (p ≤ 0.05). Means ± standard error. Control, control treatment, meat samples with no addition of LVL extract; LVL-0.5%, meat samples with the addition of 0.5% LVL extract; and LVL-1.0%, meat samples with the addition of 1.0% LVL extract.

The emulsifying capabilities of meat may have been influenced by phenolic components in LVL extract, resulting in a reduced cooking yield of LVL 1.0%. Another investigation observed that adding 1,500 ppm LVL extract to Bologna-style sausages reduced their cooking yield by even more 3% (Verma et al., 2013, Hygreeva, Pandey and Radhakrishna, 2014, Sebranek and Bacus, 2007). The energy facts of meat samples were 137.52–152.74 kcal/100 g (Figure 4) and were similar to those reported by Wang et al., (2020), where spinach was replaced in meat samples (146.75–159.70 kcal/100 g).

Figure 4. Cooking yield of meat samples with the addition of lemon verbena leaves extract. Different letters (A–B) in the same row show significant differences (p ≤ 0.05). Means ± standard error. Control, control treatment, meat samples with no addition of LVL extract; LVL-0.5%, meat samples with the addition of 0.5% LVL extract; and LVL-1.0%, meat samples with the addition of 1.0% LVL extract.

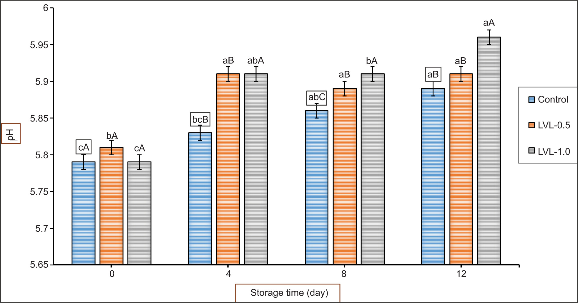
pH

During refrigerated storage, the pH of meat samples changed (p ≤ 0.05). Values were 5.79 ± 0.22–5.81 ± 0.15 at the beginning of preservation (Figure 5) and improved throughout storage (p ≤ 0.05). However, The amount of LVL extract added did not affect the pH values during this storage period (day4). The amount of LVL extract added affected pH values on the eighth day of storage (p ≤ 0.05), with LVL-1.0% having higher values (p ≤ 0.05) than the others. Moreover, in treatment with low concentrations (0.5% and 1.0%) on meat samples, the obtained LVL extract showed that the pH values were comparable to neutral; this may be due to high pH values shown in LVL extract-treated patties, particularly at the end of storage period (12 days). However, for beef products (raw patties), the pH values reported in this research during preservation were in the normal range (King and Whyte, 2006, Kim, Cho, and Han, 2013, Akarpat, Turhan and Ustun, 2008, Nadeem et al., 2022).

Figure 5. The pH of meat samples with the addition of lemon verbena leaf extract during refrigerated storage. For the same parameters, various uppercase letters (A–C) in the same column and different lowercase letters (A–C) in the same row show significant differences (p < 0.05). Control, control treatment, meat samples with no addition of LVL extract; LVL-0.5%, meat samples with the addition of 0.5% LVL extract; and LVL-1.0%, meat samples with the addition of 1.0% LVL extract.

Lipid oxidation

Lipid oxidation is considered the main reason for sensory quality and shelf-life decline in meat products. The TBARS+ assay is a useful and widely applied method for measuring lipid per-oxidation and oxidative stress in various samples. Expressed as mg MDA/kg, it provides valuable information about the oxidative stability of food products and the extent of oxidative stress in meat samples treated with LVL extract during storage (Figure 6). TBARS+ values in meat samples were impacted (p ≤ 0.05) by treatment with LVL extract and storage periods. However, when comparing meat patties with 0.5% LVL extract addition to those with 1.0% LVL extract addition at the end of the storage period (12 days), adding a high concentration of LVL extract (1.0%) in meat samples did not result in decreased TBARS values (p ≥ 0.05). The TBARS+ values ranged from 0.25 ± 0.11 to 0.76 ± 0.12 mg MDA/kg at the initiation of the storage period (day 0), and LVL extract treatments had higher (p ≤ 0.05) TBARS values than the control samples.

Figure 6. Lipid oxidation (TBARS+) of meat samples with the addition of LVL extract during refrigerated storage. For the same parameters, various uppercase letters (A–C) in the same column and different lowercase letters (a–c) in the same row show significant differences (p < 0.05). Control, control treatment, meat samples with no LVL extract addition; LVL-0.5%, meat samples with the addition of 0.5% LVL extract; and LVL-1.0%, meat samples with the addition of 1.0% LVL extract.

The lemon (Lippia citriodora) extract can be a pro-oxidant due to its high chlorophyll concentration (Machado et al., 2022, D’Alessandro and Martemucci, 2022, Tripicchio et al., 2022), which has also been found in mayonnaise. Still, more research on meat processing is needed. According to Ali, Parisi, and Normanno (2022), vegetable juice components initially had pro-oxidant activity in vitro, which decreased over time and eventually turned into an antioxidant after the juice observation period. This study showed that lemon (L. citriodora) extract was provided as a pro-oxidant at the beginning of the meat storage period. As a result, the constituents of lemon (L. citriodora) extract utilized in this research had a comparable effect on day 0 of storage, functioning as a pro-oxidant. In addition, Krishnani et al., (2022) and Tripicchio et al., (2022) reported that adding lemon (L. citriodora) extract to oils and meat products caused a significant (p ≤ 0.05) loss of protein thiols, revealing a high pro-oxidative action. However, in our investigation (Table 2), LVL extract behaved as an antioxidant in treated beef samples from 4 days until storage. In LVL-0.5% and LVL1.0%, the lowest (p ≤ 0.05) TBARS+ values (0.33 ± 0.05 and 0.22 ± 0.14 mg MDA/kg, respectively) were found on day 4 of storage. On day 4 of storage, the TBARS value in the control sample was 0.83 ± 0.33 mg MDA/kg, and no significant variations were detected until the storage period ended. Lipid oxidation of LVLs’ extract-treated meat samples increased (p < .05) on day 8 (0.99 ± 0.18–0.82 ± 0.15 mg MDA/kg). In addition, when compared to day 8, TBARS values of 1.0% LVL extract decreased (p ≤ 0.05) at the end of storage. This reduction in TBARS levels is most probably the result of MDA degradation by microorganisms that may selectively utilize carbonyl compounds or MDA further oxidizes into other organic lipid oxidation substances that are not detected by the thiobarbituric acid reaction (Aksu and Turan, 2022, Grotto et al., 2009, Georgantelis et al., 2007, Sajib and Undeland, 2020). Treatments had final TBARS values of 0.65 ± 0.15–1.07 ± 0.24 mg MDA/kg, and the control sample showed high values (p ≤ 0.05) compared to LVL-0.5% and LVL-1.0%. Phenolic compounds in plant extracts are effective in reducing oxidative effects. However, high concentrations may not prevent and/or delay oxidative rancidity in meat and meat products (Rojas and Brewer, 2007, Shah, Bosco, and Mir, 2014). According to Table 2, all LVLs extract–treated meat patties had lower TBARS values than the off-flavor perception threshold (1.0 mg MDA/kg). According to de Oliveira Ferreira et al., (2019) and Agregán et al., (2019), beef burgers treated with hydroalcoholic extracts of pyrostegia venusta (PV) and brosimum gaudichaudii (BG) for 10 days of storage showed lower TBARS values than 1.0 mg MDA/kg. LVLs’ extract, encapsulated and unencapsulated, and edible coatings composed of chitosan and LVLE extract were all studied by Sebranek and Bacus (2007) and Hosseini et al., (2019) on beef patties. They showed that during the storage period, lipid oxidation significantly decreased.

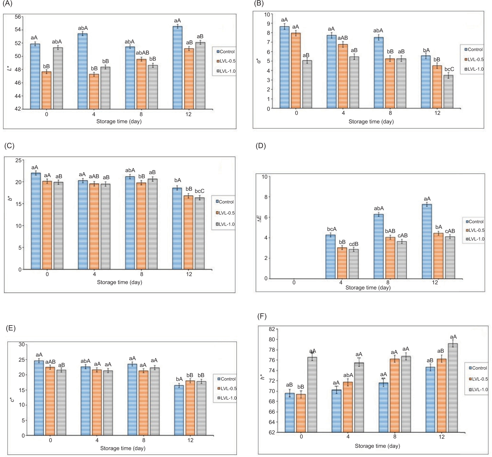
Instrumental color

The instrumental color characteristics (L*, lightness; b*, yellowness; a*, redness; C*, chroma; and h°, hue angle) for meat samples after adding LVL extract during refrigerated storage is shown in Figure 7 (A–F). The storage period did not affect the control’s L* values (p ≥ 0.05), while the addition of 0.5% LVL extract increased (p ≤ 0.05). However, at the end of the storage period (12th day), treatments containing LVL extract had lower L* values (p ≤ 0.05) than the control samples. At the start of storage, a* values ranged from 5.05 ± 0.69 to 8.65 ± 0.15, and LVL-1.0% values were significantly lower (p ≤ 0.05) than those of the control group and LVL-0.5%. Decreased a* levels of meat samples were detected during storage, which is attributed to the product’s natural deterioration.

Figure 7. Instrumental color characteristics (L*, lightness (A); b*, yellowness (B); a*, redness (C); ∆E (D), C* chroma (E), and h°, hue angle (F)) of meat samples with the addition of LVL extract during refrigerated storage. For the same parameters, various uppercase letters (A–C) in the same column and different lowercase letters (a–c) in the same row show significant differences (p < 0.05). Abbreviations: Control, control treatment, meat samples with no addition of LVL extract; LVL-0.5%, meat samples with the addition of 0.5% LVL extract; and LVL-1.0%, meat samples with the addition of 1.0% LVL extract.

The redness levels in all treatments remained stable until the fourth day of storage. However, in LVL-0.5% and the control samples, the redness factor was noticed on day 8, but in LVL-1.0%, the values decreased only on day 12. During the storage period, the control group had higher (p ≤ 0.05) a* values than other concentrations of LVL extract (LVL0.5% and LVL-1.0%). Additionally, observed higher (p ≤ 0.05) a* values in LVL-0.5% compared to LVL-1.0% highlight how varying concentrations of Lemon Verbena Leaves extract can influence the color characteristics of the samples, specifically their redness. This finding is statistically significant, suggesting a meaningful impact of extract concentration on the a* value. The findings by Vizzarri et al., (2017), Hosseini et al., (2019), and Zhang et al., (2017) indicated that adding LVL to minced beef resulted in lower a* values at the end of storage. A decrease in a* values during meat storage correlates with less redness because of peroxidation, met-myoglobin synthesis, and myoglobin oxidation (Wongwichian et al., 2015, Wang et al., 2021, Bekhit et al., 2003). The greenish color of the LVL, however, indicates that correlation has been observed for the lower values of redness reported in LVL extract–treated meat samples throughout the storage period. At the beginning of the storage period, nonsignificant (p ≥ 0.05) differences in yellowness (b*) were detected between treatments (19.91 ± 0.49–22.02± 0.65, Table 2). In addition, the storage period decreased (p ≤ 0.05) the b* values in all treated samples, and on day 12, the control samples had higher values(p ≤ 0.05) than the LVL-0.5% and LVL-1.0% treatments. At the start and end of the storage period, the C* parameter had values of 21.57–24.65 and 16.49–18.04, respectively. Direct visual evaluation of images of various treatments of meat samples with the addition of LVL extract is compatible with instrumental color values. At the initiation of the storage period, the hue angle (h°) values of meat samples with the addition of LVL were 69.59–76.57. The h° and C* values are related to the observed discoloration of meat, with a high h° that indicates meat browning and lower color stability and a lower C* indicating less color intensity (Jeremiah and Gibson, 2001, Wu et al., 2020). On day 12 of storage, the hue angle of LVL-0.5% and the control samples were comparable (p ≥ 0.05), showing that LVL extracts prevented discoloration in meat samples in this study. Other research indicated that natural plant extracts could prevent meat products from discoloring (Munekata et al., 2020, Efenberger-Szmechtyk, Nowak and Czyzowska, 2021, Ammara, et al., 2023). The effects of instrumental color characteristics in this research could be associated with the greenish color of LVL, which was also indicated by panelists involved in sensory characteristics because lipid oxidation was comparable in all treatments on day 8th and a reduction in lipid oxidation in LVL-treated samples by day 12th suggests that LVL extract has a protective antioxidant effect, enhancing the shelf-life and quality of the meat. Other investigations by Patel (2015), Li et al., (2021), and Elshafie et al., (2022), Abbas, et al., (2024) found that adding LVL to greenish ground beef patties decreased a* values compared to the control sample.

Microbiological properties

The psychrotrophic bacteria count, total viable count, enterobacteriaceae, and total staphylococcal bacterial counts were determined during the preservation of meat patties treated with LVL and are presented in Table 3.

Table 3. Microbiological properties (log CFU/g) during refrigerated storage of meat samples with the addition of lemon verbena leaves extract.

Microorganisms Storage time (day)
Samples 0 4 8 12
Total Viable Count Control 3.44 ± 0.15bA 4.24 ± 0.14bA 7.04± 0.51aAB 7.41 ± 0.11aB
LVL-0.5 3.31 ± 0.35cA 4.27 ± 0.18cA 7.31 ± 0.41bA 8.22 ± 0.28aA
LVL-1.0 3.43 ± 0.39cA 3.58 ± 0.29cB 6.38 ± 0.21bB 7.82 ± 0.33aAB
Psychrotrophic Bacteria Control 2.69 ± 0.11dA 4.46 ± 0.15cA 6.14 ± 0.14bA 6.71 ± 0.13aAB
LVL-0.5 2.28 ± 0.12dA 4.53 ± 0.08cA 5.85 ± 0.11bA 6.89 ± 0.18aA
LVL-1.0 2.18 ± 0.13dA 3.86 ± 0.14cB 5.81 ± 0.08bA 6.45 ± 0.11aB
Enterobacteriaceae Control 2.81 ± 0.14cA 2.82 ± 0.33cAB 5.74 ± 0.18bA 6.33 ± 0.22aA
LVL-0.5 2.69 ± 0.12dA 3.12 ± 0.15cA 4.82 ± 0.17bB 6.34 ± 0.17aA
LVL-1.0 2.76 ± 0.15cA 2.62 ± 0.25cB 4.74 ± 0.33bB 6.44± 0.13aA
Staphylococcal spp. Control 1.84 ± 0.18cA 3.14 ± 0.31bA 5.49 ± 0.22aA 5.59 ± 0.17aA
LVL-0.5 1.19 ± 0.22cA 2.88 ± 0.22bA 4.93 ± 0.14aB 5.12 ± 0.33aA
LVL-1.0 1.86 ± 0.33dA 2.85± 0.28cA 3.88± 0.15 bC 5.59± 0.29aA

Note: Different lowercase letters (a–d) in the same row and different uppercase letters (A, B) in the same column for the same parameter show significant differences (p < 0.05). Means ± standard error. Control, control treatment, meat samples with no LVL extract addition; LVL-0.5 %, meat samples with addition of 0.5% LVL extract; LVL-1.0 %, meat samples with addition of 1.0% LVL extract.

At the beginning of the storage time, nonsignificant differences (p ≥ 0.05) were detected in the total viable count. On day 4, the counts of LVL-1.0% (3.58 ± 0.29 log CFU/g) were lower than meat patties treated with LVL-0.5% and control samples (4.24 ± 0.14 and 4.27 ± 0.18 log CFU/g, respectively), demonstrating that treatment with 1.0% LVL extract had antimicrobial effects. Psychrotrophic bacteria counts were 2.18 ± 0.13 and 2.69 ± 0.11 log CFU/g at the initiation of storage (Table 3). The psychrotrophic bacteria count was affected by the storage time (p ≤ 0.05), although, on day 4, LVL-1.0% had lower bacterial counts than treated samples with LVL-0.5% and control samples (p ≤ 0.05). Psychrotrophic bacteria count ranged between 6.45 ± 0.11 and 6.89 ± 0.18 log CFU/g at the end of storage. As indicated, the total viable count growth significantly increased (p ≤ 0.05) during storage, where bacterial counts were higher than 6.50 log CFU/g after the eighth days. Other research has found that LVL prevents the development of total viable count in beef patties (Patel, 2015, Gómez et al., 2020, Hussain et al., 2021). In comparison to the total staphylococcal count, enterobacteriaceae and bacterial counts were significantly lower (p ≥ 0.05) at the beginning and day 4 of the storage period but significantly increased (p ≤ 0.05) after the eighth day of storage (Table 3). Good hygienic-sanitary practices for manufacturing and storing meat patties are indicated by decreased counts of enterobacteriaceae and total staphylococcal count at the beginning of storage. These counts significantly increase as expected over the storage period (Cavalheiro et al., 2021, Barbosa et al., 2022). In vitro, the antibacterial activity of LVL extract against coliform bacteria and total staphylococcal count was identified in studies, although this action was not noticed when administered to meat samples (Emiroğlu et al., 2010, Dalle Zotte, Celia and Szendrő, 2016, Pisoschi et al., 2018, de Miera et al., 2022).

Sensory analysis

The results of sensory characteristics of meat samples produced with the addition of LVL extract are evaluated on the first day and are presented in Figure 8 (a–e). The addition of LVL extract had a noneffect (p ≥ 0.05) on color, taste, texture, flavor, overall acceptability, and intention to purchase. Presumably, adding low amounts of LVL extract (0.5% and 1.0%) is inadequate to affect such sensory characteristics.

Figure 8. Sensory characteristics (color (a), texture (b), taste (c), flavor (d), and overall acceptability (e)) of meat samples with the addition of LVL extract during refrigerated storage. For the same parameters, various uppercase letters (A–C) in the same column and different lowercase letters (a–c) in the same row show significant differences (p < 0.05). Control, control treatment, meat samples with no LVL extract addition; LVL-0.5%, meat samples with the addition of 0.5% LVL extract; and LVL-1.0%, meat samples with the addition of 1.0% LVL extract.

Moreover, the addition of LVLs had significant differences (p ≤ 0.05) in the color score (Figure 8). Color is a vital parameter of meat products that influences consumer acceptability. The samples treated with 1.0% LVL extract had significantly lower (p ≤ 0.05) color scores (5.02) compared to the control group (6.24). Lower color scores indicate a notable difference in the appearance of the meat, likely due to the greenish tint imparted by the LVL extract. However, no significant differences (p> 0.05) were found when LVL-0.5% was compared to other color attribute samples. During the instrumental color study (Table 2), color changes were also detected, attributable to the greenish color of the LVLs. The texture and taste scores for meat samples treated with LVL extract, obtaining values over 7, indicate a high level of satisfaction among the panelists. These scores suggest that the LVL extract successfully enhanced or preserved the desirable sensory attributes of the meat. This positive feedback has practical implications for product development, marketing, and quality control, highlighting the potential of LVL extract in meat processing and preservation. LVL extract might have contributed to maintaining or improving the texture of the meat samples. This could be due to the antioxidant properties of the extract, which may help preserve the meat’s structure during storage. The extract may have added a desirable flavor or helped in preserving the meat’s original taste, making it more appealing to the panelists. All treatments, including the control, obtained scores of less than 6 for overall acceptability and color characteristics. Values for purchase intention ranged from 3.13 to 3.60, indicating a range of “may or might not buy” to “definitely would buy” without significant differences between treatments (Figure 9). When creating a new product, (AI) evaluation is critical for anticipating the product’s performance in the consumer market. The AI of LVLs-treated meat samples (LVL-0.5% and LVL-1.0%) was 71.38% and 71.26%, respectively (Figure 10). Even though the control had an AI value of 78.78%, all treatments were higher than 60–70%, showing that the products were commercially acceptable (Kenisarin and Kenisarina, 2012, Oliva et al., 2022).

Figure 9. Values for purchase intention of meat samples with the addition of LVL extract during refrigerated storage. For the same parameters, various uppercase letters (A–C) in the same column and different lowercase letters (a–c) in the same row show significant differences (p < 0.05). Abbreviations: Control, control treatment, meat samples with no LVL extract addition; LVL-0.5%, meat samples with the addition of 0.5% LVL extract; and LVL-1.0%, meat samples with the addition of 1.0% LVL extract.

Figure 10. Values for purchase intention of meat samples with the addition of LVL extract during refrigerated storage. For the same parameters, various uppercase letters (A–C) in the same column and different lowercase letters (a–c) in the same row show significant differences (p < 0.05). Abbreviations: Control, control treatment, meat samples with no addition of LVL extract; LVL-0.5%, meat samples with the addition of 0.5% LVL extract; and LVL-1.0%, meat samples with the addition of 1.0% LVL extract.

Conclusions

This research aimed to investigate the influence of various extraction conditions (solvent, time, and temperature of extraction) and the addition of different LVL concentrations on the physicochemical, microbiological, and organoleptic characteristics of LVLs meat samples stored at 4°C for 12 days. This study showed that by using 70% ethanol as a solvent for 1 h at 80°C (LVL-1%), the extraction of LVL extract was improved, as demonstrated by an increment of (p ≤ 0.05) total flavonoid and phenolic contents. The obtained LVL extract has been analyzed, and LVL-1 (extraction conditions of 70% ethanol-water, 1 h at 80°C) showed higher flavonoids, phenolics, and antioxidant activity. As indicated, lipid oxidation increased in beef samples during storage, but the addition of LVL extract significantly retarded (p ≤ 0.05) lipid oxidation compared to the control treatment.

Furthermore, compared with the control group treatment, LVL extract improved color stability in meat samples while having no impact on sensory characteristics. Microbial spoilage was neither prevented nor delayed when LVL extract was added to meat samples. Despite this, LVL extract can be a source of bioactive chemicals and can be used as a preservative in meat samples. Therefore, adding 0.5% LVL extract reduced discoloration and lipid oxidation without impacting sensory parameters, making it a viable option for processing meat samples. Finally, because no significant impacts (p ≥ 0.05) were found during the storage period when higher concentrations were utilized (LVL-1.0%), the addition of LVLs (LVL-0.5%) is more recommended for application in meat and meat products.

Acknowledgment

The authors extend their appreciation to the Researchers supporting project number (RSP2024R349) at King Saud University, Riyadh, Saudi Arabia.

Declaration of Competing Interest

The authors declare no conflict of interest.

Data Availability

Data will be made available on request.

Declaration of Interests

The authors declare that they have no known competing financial interests or personal relationships that could have appeared to influence the work reported in this paper.

REFERENCES

Abbas, M., Khan, A., Khan, T., Qadir, R., Aziz, T., Alharbi, M. A., et al. 2024. Elucidation and comparative assessment of the phytochemical content and antibacterial activity of parthenium hysterophorus extract in different solvents. Appl. Ecol. Environ. Res. 22(1): 761–775. 10.15666/aeer/2201_761775

Adorjan B., and Buchbauer G. 2010. Biological properties of essential oils: an updated review. Flavour Fragrance J. 25: 407–426. 10.1002/ffj.2024

Agregán, R., Barba F.J., Gavahian M., Franco D., Khaneghah A.M., Carballo, J., et al. 2019. Fucus vesiculosus extracts as natural antioxidants for improvement of physicochemical properties and shelf life of pork patties formulated with oleogels. J. Sci. Food Agric. 99: 4561–4570. 10.1002/jsfa.9694

Akarpat, A., Turhan S., and Ustun N. 2008. Effects of hot-water extracts from myrtle, rosemary, nettle and lemon balm leaves on lipid oxidation and color of beef patties during frozen storage. J. Food process. 32, 117–132. 10.1111/j.1745-4549.2007.00169.x

Aksu, M.I., and Turan E. 2022. Properties of black carrot extract and its efficacy for improving the storage quality of vacuum packaged fresh meat products. Packag Technol Sci. 35: 339–349.10.1002/pts.2631

Ali, A., Parisi A., and Normanno, G. 2022. Polyphenols as Emerging Antimicrobial Agents. In Emerging Modalities in Mitigation of Antimicrobial Resistance, 219–259. Springer. 10.1007/978-3-030-84126-3_10

Ayman Y. A., Zakir S. K., Mohmad S. B., Bindu N., Sajad A. W., et al. 2023. Chemical, Physical, and Technological Characteristics of Palm Olein and Canola Oil Blends. Journal of Food Quality. (1): 650-667. 10.1155/2023/6503667

Al Jumayi, H.A., et al., Bioactive compound, antioxidant, and radical scavenging activity of some plant aqueous extracts for enhancing shelf life of cold-stored rabbit meat. Antioxidants, 2022. 11(6): 1056-1174. 10.3390/antiox11061056

Allam, A.Y. 2022. Lemon verbena leaves (lippia citriodora) extract as a natural preservative in meat patties: effects on physicochemical, microbiological, and sensory properties. In Modern Movement of Science: Proceedings of the 14th International Scientific and Practical Internet Conference. 13–14 October. 1–4. FOP Marenichenko V. V., Dnipro, Ukraine. http://www.wayscience.com/wp-content/uploads/2022/10/Conference-Proceedings-October-13-14-2022.pdf#page=4

Allam, A.Y.F., Vadimovna, D.N., and Kandil, A.A.E. 2021. Functional characteristics of bioactive phytochemicals in Beta vulgaris l. root and their application as encapsulated additives in meat products. Carpath. J. Food Sci. Technol. 13: 173–191. 10.34302/crpjfst/2021.13.4.14

Allam, A., Effect of addition loquat (eribotrya japonica) seed powder extract as a natural bioactive compound on the quality characteristics of goat meat nuggets during refrigerated storage–Part I. Journal of Food and Dairy Sciences, 2023. 14 (3): 51-62. 10.21608/jfds.2023.192707.1099

Amaral, A.B., SILVA, M.V.d., and LANNES S.C.d.S. 2018. Lipid oxidation in meat: mechanisms and protective factors-a review. FS&. 38, 1–15. 10.1590/fst.32518

Ammara, A., Sobia, A., Nureen, Z., Sohail, A., Abid, S., Aziz, T., et al. 2023. Revolutionizing the effect of Azadirachta indica extracts on edema-induced changes in C-reactive protein and interleukin-6 in albino rats: in silico and in vivo approach. Eur. Rev. Med. Pharmacol. Sci. 27: 13–27. https://www.europeanreview.org/wp/wp-content/uploads/5951-5963-1.pdf

Aziz, T., Qadir, R., Anwar, F., Naz, S., Nazir, N., G. Nabi, et al. (2024). Optimal enzyme-assisted extraction of phenolics from leaves of pongamia pinnata via response surface methodology and artificial neural networking. Appl. Biochem. Biotechnol. 1–18.10.1007/s12010-024-04875-w

Barbosa, A.D., Alexandre, B., Tondo, E.C., and da Silva Malheiros P. 2022. Microbial survival in gourmet hamburger thermally processed by different degrees of doneness. IJGFS. 28: 100501. 10.1016/j.ijgfs.2022.100501

Bekhit, A., Geesink, G., Ilian, M., Morton, J., and Bickerstaffe, R. 2003. The effects of natural antioxidants on oxidative processes and metmyoglobin reducing activity in beef patties. Food Chem. 81: 175–187. 10.1016/S0308-8146(02)00410-7

Bligh, E.G., and Dyer, W.J. 1959. A rapid method of total lipid extraction and purification. Can. J. Biochem. Physiol. 37: 911–917. 10.1139/y59-099

Cavalheiro, C.P., Ruiz-Capillas, C., Herrero, A.M., and Pintado T. 2021. Dry-fermented sausages inoculated with Enterococcus faecium CECT 410 as free cells or in alginate beads. LWT. 139: 110561. 10.1016/j.lwt.2020.110561

Choi, Y.-S., Choi, J.-H., Han, D.-J., Kim, H.-Y., Lee, M.-A., Jeong, J.-Y., et al. 2010. Effects of replacing pork back fat with vegetable oils and rice bran fiber on the quality of reduced-fat frankfurters. Meat Sci. 84: 557–563. 10.1016/j.meatsci.2009.08.048

Cortés, L.A., Herrera, A.O., and Castellanos, D.A. 2022. Natural plant-based compounds applied in antimicrobial active packaging and storage of berries. JFPP. e16995. 10.1111/jfpp.16995

D’Alessandro, A.G., and Martemucci G. 2022. As verbascoside supplementation affects metabolic profile, oxidative status, and quality of milk and meat: The studies on donkeys. Research Aspects in Agriculture and Veterinary Science. Vol. 6, 66–80. 10.9734/bpi/raavs/v6/2240B

Dalle Zotte, A., Celia, C., and Szendrő, Z. 2016. Herbs and spices inclusion as feedstuff or additive in growing rabbit diets and as additive in rabbit meat: A review. Livest. Sci. 189: 82–90. 10.1016/j.livsci.2016.04.024

Dave, D. and Ghaly, A.E. 2011. Meat spoilage mechanisms and preservation techniques: A critical review. AJABS. 6: 486–510. 10.3844/ajabssp.2011.486.510

de Miera, L.S.E., Rúa, J., del Pilar del Valle, M.A., Sanz, J., and Armesto, M.R.G. 2022. Synergistic antimicrobial effect of a lippia citriodora natural extract with vanillin against verotoxigenic escherichia coli in refrigerated piel de sapo melon juice. JFP. 85: 1506–1514. 10.4315/JFP-22-033

de Oliveira Ferreira, N.S., Rosset, M., Lima, G., Campelo, P.M.S., and de Macedo, R.E.F. 2019. Effect of adding brosimum gaudichaudii and pyrostegia venusta hydroalcoholic extracts on the oxidative stability of beef burgers. LWT. 108: 145–152. 10.1016/j.lwt.2019.03.041

Domínguez, R., Pateiro, M., Gagaoua, M., Barba, F.J., Zhang, W., and Lorenzo, J.M. 2019. A comprehensive review on lipid oxidation in meat and meat products. Antioxid. 8: 429. 10.3390/antiox8100429

Efenberger-Szmechtyk, M., Nowak, A., and Czyzowska, A. 2021. Plant extracts rich in polyphenols: Antibacterial agents and natural preservatives for meat and meat products. Crit Rev in Food Sci Nutr. 61: 149–178. 10.1080/10408398.2020.1722060

El Sheikha, A.F., Allam, A.Y., Taha, M., and Varzakas, T. 2022. How does the addition of biostimulants affect the growth, yield, and quality parameters of the snap bean (Phaseolus vulgaris L.)? How is his reflected in its nutritional Value? Appl. Sci.. 12: 776. 10.3390/app12020776

El Sheikha A. F., Allam A. Y., El Obeid T., Basiouny E. A., Abdelaal A. A., Amarowicz R., et al. 2022. Impact of a carboxymethyl cellulose coating incorporated with an ethanolic propolis extract on the quality criteria of chicken breast meat, Antioxidants. 11(6): 1191–1210. 10.3390/antiox11061191

Elshafie, S.S., Elshafie, H.S., El Bayomi, R.M., Camele, I., and Morshdy, A.E.M. 2022. Evaluation of the antimicrobial activity of four plant essential oils against some food and phytopathogens isolated from processed meat products in Egypt. Foods. 11: 1159. 10.3390/foods11081159

Emiroğlu, Z.K., Yemiş, G.P., Coşkun, B.K., and Candoğan, K. 2010. Antimicrobial activity of soy edible films incorporated with thyme and oregano essential oils on fresh ground beef patties. Meat Sci. 86: 283–288. 10.1016/j.meatsci.2010.04.016

García-Giménez, M., Quilez-Guerrero, A., Fernandez-Arche, M., and De la Puerta, R. 2022. Aromatic plants rich in phenolic compounds as a valuable basis for dietary supplements in intestinal motility disorders. 66: 1–12. 10.21203/rs.3.rs-2202258/v1

Georgantelis, D., Ambrosiadis, I., Katikou, P., Blekas, G., and Georgakis, S.A. 2007. Effect of rosemary extract, chitosan and α-tocopherol on microbiological parameters and lipid oxidation of fresh pork sausages stored at 4°C. Meat Sci. 76: 172–181. 10.1016/j.meatsci.2006.10.026

Gill, C. 1996. Extending the storage life of raw chilled meats. Meat Sci. 43: 99–109. 10.1016/0309-1740(96)00058-7

Gómez, B., Barba, F.J., Domínguez, R., Putnik, P., Kovačević, D.B., Pateiro, M. F et al. 2018 Microencapsulation of antioxidant compounds through innovative technologies and its specific application in meat processing. Trends Food Sci.. 82: 135–147. 10.1016/j.tifs.2018.10.006

Gómez, I., Janardhanan, R., Ibañez, F.C., and Beriain, M.J. 2020. The effects of processing and preservation technologies on meat quality: Sensory and nutritional aspects. Foods. 9: 1416. 10.3390/foods9101416

Grotto, D., Maria, L.S., Valentini, J., Paniz, C., Schmitt, G., Garcia, S.C., et al. 2009. Importance of the lipid peroxidation biomarkers and methodological aspects for malondialdehyde quantification. Quim. Nova. 32: 169–174. 10.1590/S0100-40422009000100032

Hao, J., Li, X., Wang, Q., Lv, W., Zhang, W., and Xu, D. 2022. Recent developments and prospects in the extraction, composition, stability, food applications, and in vitro digestion of plant oil bodies. JAOCS. 99: 635–653. 10.1002/aocs.12618

Hosseini, M., Jamshidi, A., Raeisi, M., and Azizzadeh, M. 2019. The antibacterial and antioxidant effects of clove (Syzygium aromaticum) and lemon Verbena (Aloysia citriodora) essential oils. JHEHP. 5: 86–93. 10.29252/jhehp.5.2.7

Hrynets, Y., Omana, D.A., Xu, Y., and Betti, M. 2010. Effect of acid-and alkaline-aided extractions on functional and rheological properties of proteins recovered from mechanically separated turkey meat (MSTM). J. Food Sci. 75, E477–E486. 10.1111/j.1750-3841.2010.01736.x

Hu, P., Ali, U., Aziz, T., Wang, L., Zhao, J., Nabi, G., et al. 2023. Investigating the effect on biogenic amines, nitrite, and N-nitrosamine degradation in cultured sausage ripening through inoculation of Staphylococcus xylosus and lactic acid bacteria. Front. Microbiol. 14: 1156413. 10.3389/fmicb.2023.1156413

Hussain, M.A., Sumon, T.A., Mazumder, S.K., Ali, M.M., Jang, W.J., Abualreesh, M.H., et al. 2021. Essential oils and chitosan as alternatives to chemical preservatives for fish and fisheries products: A review. Food Control. 129: 108244. 10.1016/j.foodcont.2021.108244

Hygreeva, D., Pandey, M., and Radhakrishna, K. 2014. Potential applications of plant-based derivatives as fat replacers, antioxidants and antimicrobials in fresh and processed meat products. Meat Sci. 98: 47–57. 10.1016/j.meatsci.2014.04.006

Ishkeh, S.R., Asghari, M., Shirzad, H., Alirezalu, A., and Ghasemi, G. 2019. Lemon verbena (Lippia citrodora) essential oil effects on antioxidant capacity and phytochemical content of raspberry (Rubus ulmifolius subsp. sanctus). Sci. Hortic.: 248: 297–304. 10.1016/j.scienta.2018.12.040

Izzreen, I., and Noriham, A. 2011. Evaluation of the antioxidant potential of some Malaysian herbal aqueous extracts as compared with synthetic antioxidants and ascorbic acid in cakes. International Food Research Journal. 18: 583–587. http://ifrj.upm.edu.my/18%20(02)%202011/(17)%20IFRJ-2010-207.pdf

Jeremiah, L., and Gibson, L. 2001. The influence of storage temperature and storage time on color stability, retail properties and case-life of retail-ready beef. Food Res. Int. 34: 815–826. 10.1016/S0963-9969(01)00080-1

Kallel, F., Driss, D., Chaari, F., Belghith, L., Bouaziz, F., Ghorbel, R., et al. 2014. Garlic (Allium sativum L.) husk waste as a potential source of phenolic compounds: Influence of extracting solvents on its antimicrobial and antioxidant properties. Ind Crops Prod. 62: 34–41. 10.1016/j.indcrop.2014.07.047

Katalinic, V., Milos, M., Kulisic, T., and Jukic, M. 2006. Screening of 70 medicinal plant extracts for antioxidant capacity and total phenols. Food Chem. 94: 550–557. 10.1016/j.foodchem.2004.12.004

Kenisarin, M.M., and Kenisarina, K.M. 2012. Form-stable phase change materials for thermal energy storage. Renew. Sustain. Energy Rev. 16: 1999–2040. 10.1016/j.rser.2012.01.015

Kim, S.-J., Cho, A. R, and Han, J. 2013. Antioxidant and antimicrobial activities of leafy green vegetable extracts and their applications to meat product preservation. Food Cont. 29: 112–120. 10.1016/j.foodcont.2012.05.060

King, N.J., and Whyte, R. 2006. Does it look cooked? A review of factors that influence cooked meat color. J. Food Sci. 71: R31–R40. 10.1111/j.1750-3841.2006.00029.x

Krishnaiah, D., Sarbatly, R., and Nithyanandam, R. 2011. A review of the antioxidant potential of medicinal plant species. Food Bioprod. Process. 89: 217–233. 10.1016/j.fbp.2010.04.008

Krishnani, K.K., Boddu, V.M., Chadha, N.K., Chakraborty, P., Kumar, J., Krishna, G. et al. 2022. Metallic and non-metallic nanoparticles from plant, animal, and fisheries wastes: Potential and valorization for application in agriculture. ESPR. 18: 1–36. 10.1007/s11356-022-23301-4

Lee, K.-g., and T. Shibamoto (2002) Determination of antioxidant potential of volatile extracts isolated from various herbs and spices. J. Agric. Food Chem.. 50: 4947–4952. 10.1021/jf0255681

Li, B., Wang, X., Gao, X., Ma, X., Zhang, L., Mei, J., et al. 2021. Shelf-life extension of large yellow croaker (Larimichthys crocea) using active coatings containing lemon verbena (Lippa citriodora Kunth.) essential oil. Front. Nutr. 8: 1–19. 10.3389/fnut.2021.678643

Li, H.-B., Wong, C.-C., Cheng, K.-W., and Chen, F. 2008. Antioxidant properties in vitro and total phenolic contents in methanol extracts from medicinal plants. LWT-Food Science and Technology. 41: 385–390. 10.1016/j.lwt.2007.03.011

Lopes, J.D.S., de Lima, A.B.S., da Cruz Cangussu, R.R., da Silva, M.V., Ferrão, S.P.B., and Santos, L.S. 2022. Application of spectroscopic techniques and chemometric methods to differentiate between true cinnamon and false cinnamon. Food Chem. 368: 130746. 10.1016/j.foodchem.2021.130746

Lucarini, M., Durazzo, A., Nazhand, A., Kiefer, J., Bernini, R., Romani, A, et al. 2022. Lemon (Citrus lemon) bio-waste: Chemistry, functionality and technological applications. In Mediterranean Fruits Bio-wastes, 303–322. Springer. 10.1007/978-3-030-84436-3_12

Machado, M., Rodriguez-Alcalá, L.M., Gomes, A. M., and Pintado, M. 2022. Vegetable oils oxidation: Mechanisms, consequences and protective strategies. Food Rev. Int. 78: 1–18. 10.1080/87559129.2022.2026378

Marmion, M., Ferone, M., Whyte, P., and Scannell, A. 2021. The changing microbiome of poultry meat; from farm to fridge. Food Microbiol. 99, 103823. 10.1016/j.fm.2021.103823

Micelli-Ferrari, T., Vendemiale, G., Grattagliano, I., Boscia, F., Arnese, L., Altomare, E., et al. 1996. Role of lipid peroxidation in the pathogenesis of myopic and senile cataract. Br. J. Ophthalmol. 80: 840–843. 10.1136/bjo.80.9.840

Mokrani, A., and Madani, K. 2016. Effect of solvent, time and temperature on the extraction of phenolic compounds and antioxidant capacity of peach (Prunus persica L.) fruit. Sep. Purif. Technol. 162, 68–76. 10.1016/j.seppur.2016.01.043

Munekata, P. E. S., G. Rocchetti, M. Pateiro, L. Lucini. R. Domínguez & J. M. Lorenzo (2020) Addition of plant extracts to meat and meat products to extend shelf-life and health-promoting attributes: An overview. Current Opinion in Food Science, 31, 81–87. 10.1016/j.cofs.2020.03.003

Nadeem, H.R., Akhtar, S., Ismail, T., Qamar, M., Sestili, P., Saeed, W., et al. (2022) Antioxidant Effect of Ocimum basilicum Essential Oil and Its Effect on Cooking Qualities of Supplemented Chicken Nuggets. Antioxidants, 11, 1882. 10.3390/antiox11101882

Nisar, R., Ahmad, S., Khan, K.-u.-R., Sherif, A.E., Alasmari, F., Almuqati, A.F., et al. 2022. Metabolic profiling by GC-MS, in vitro biological potential, and in silico molecular docking studies of verbena officinalis. Molecules. 27: 6685–6698. 10.3390/molecules27196685

Okocha, R.C., Olatoye, I.O., and Adedeji, O.B. 2018. Food safety impacts of antimicrobial use and their residues in aquaculture. Public Health Rev. 39: 1–22. 10.1186/s40985-018-0099-2

Oktay, M., Gülçin, İ., and Küfrevioğlu, Ö.İ. 2003. Determination of in vitro antioxidant activity of fennel (Foeniculum vulgare) seed extracts. LWT-Food Science and Technology. 36: 263–271. 10.1016/S0023-6438(02)00226-8

Oliva, A. L., Girones, L., Recabarren-Villalón, T.V., Ronda, A.C., Marcovecchio, J. E., and Arias,, A.H. 2022. Occurrence, behavior and the associated health risk of organochlorine pesticides in sediments and fish from Bahía Blanca Estuary, Argentina. Mar. Pollut. Bullet. 185: 114–247. 10.1016/j.marpolbul.2022.114247

Ozsoy, N., Can,, A., Yanardag, R., and Akev, N. 2008 Antioxidant activity of smilax excelsa L. leaf extracts. Food Chem. 110, 571–583. 10.1016/j.foodchem.2008.02.037

Pateiro, M., Domínguez, R., Munekata, P.E.S., Barba, F.J., and Lorenzo, J.M. 2019. Lipids and fatty acids. In Innovative thermal and non-thermal processing, bioaccessibility and bioavailability of nutrients and bioactive compounds, 107–137. Elsevier. 10.1016/B978-0-12-814174-8.00004-4

Patel, S. 2015. Plant essential oils and allied volatile fractions as multifunctional additives in meat and fish-based food products: A review. Food Addit. Contam.: Part A. 32, 1049–1064. 10.1080/19440049.2015.1040081

Pisoschi, A.M., Pop, A., Georgescu, C., Turcuş, V., Olah, N.K., and Mathe, E. 2018. An overview of natural antimicrobials role in food. Eur. J. Med. Chem. 143: 922–935. 10.1016/j.ejmech.2017.11.095

Pompella, A., Maellaro, E., Casini, A.F., Ferrali, M., Ciccoli, L., and Comporti, M. 1987. Measurement of lipid peroxidation in vivo: A comparison of different procedures. Lipids. 22: 206–211. 10.1007/BF02537304

Rashid, H.M., Mahmod, A.I., Afifi, F.U., and Talib, W.H. 2022. Antioxidant and antiproliferation activities of lemon verbena (Aloysia citrodora): An in vitro and in vivo study. Plants, 11, 785. 10.3390/plants11060785

Rawat, S. 2015. Food Spoilage: Microorganisms and their prevention. AJPSKY. 5, 47–56.

Ren, Q.-S., Fang, K., Yang, X.-T., and Han, J.-W. 2022. Ensuring the quality of meat in cold chain logistics: A comprehensive review. Trends Food Sci. 119: 133–151. 10.1016/j.tifs.2021.12.006

Ribeiro da Cunha, B., Fonseca, L.P., and Calado, C.R. 2019. Antibiotic discovery: Where have we come from, where do we go? Antibiotics, 8, 45. 10.3390/antibiotics8020045

Rojas, M., and Brewer, M. 2007. Effect of natural antioxidants on oxidative stability of cooked, refrigerated beef and pork. J. Food Sci. 72: S282–S288. 10.1111/j.1750-3841.2007.00335.x

Roohinejad, S., Koubaa, M., Barba, F.J., Saljoughian, S., Amid, M., and Greiner, R. 2017. Application of seaweeds to develop new food products with enhanced shelf-life, quality and health-related beneficial properties. Food Res. Int. 99: 1066–1083. 10.1016/j.foodres.2016.08.016

Roshani Neshat, R., Bimakr, M., and A. Ganjloo. 2022. Effects of Zedo gum edible coating enriched with microwave-agitated bed extracted bioactive compounds from lemon verbena leaves on oxidative stability of Oncorhynchus mykiss. J. Food Meas. Charact. 19: 1–14. 10.1007/s11694-022-01516-w

Sajib, M., and Undeland, I. 2020. Towards valorization of herring filleting by-products to silage 2.0: Effect of temperature and time on lipid oxidation and non-enzymatic browning reactions. LWT. 127: 109441. 10.1016/j.lwt.2020.109441

Salami, M., Heidari, B., and Tan, H. 2023. Comparative profiling of polyphenols and antioxidants and analysis of antiglycation activities in rapeseed (Brassica napus L.) under different moisture regimes. Food Chem. 399: 133946. 10.1016/j.foodchem.2022.133946

Schwab, W., Davidovich-Rikanati, R., and Lewinsohn, E. 2008. Biosynthesis of plant-derived flavor compounds. TPJ. 54: 712–732. 10.1111/j.1365-313X.2008.03446.x

Sebranek, J.G., and Bacus, J.N. 2007. Cured meat products without direct addition of nitrate or nitrite: what are the issues? Meat Sci. 77: 136–147. 10.1016/j.meatsci.2007.03.025

Shah, M.A., Bosco, S.J.D., and Mir, S.A. 2014. Plant extracts as natural antioxidants in meat and meat products. Meat Sci, 98: 21–33. 10.1016/j.meatsci.2014.03.020

Sharma, C., Rokana, N., Chandra, M., Singh, B.P., Gulhane, R.D., Gill, J.P.S., et al. 2018. Antimicrobial resistance: Its surveillance, impact, and alternative management strategies in dairy animals. Front. Vet. Sci.. 4: 237. 10.3389/fvets.2017.00237

Shivakumar, N., Ramesh Babu, M.S., Vasudeva, S., and Akshay, H. 2023. Bio-based materials used in food packaging to increase the shelf life of food products. In biobased materials, pp. 195–209. Springer. https://link.springer.com/chapter/10.1007/978-981-19-6024-6_9

Singh, P.K., Singh, R.P., Singh, P., and Singh, R.L. 2019. Food hazards: Physical, chemical, and biological. In Food safety and human health, pp. 15–65. Elsevier. 10.1016/B978-0-12-816333-7.00002-3

Sultana, K., Jayathilakan, K., and Sajeevkumar, V. 2022. Chemistry of animal tissues. In Advances in food chemistry, 385–437. Springer. 10.1007/978-981-19-4796-4_11

Tomaszewska, M., Bilska, B., and Kołożyn-Krajewska, D. 2022. The influence of selected food safety practices of consumers on food waste due to its spoilage. IJERPH. 19: 8144. 10.3390/ijerph19138144

Tripicchio, G., Fisher, J., Hart, C., Nash, S., and Nova, V. 2022. The Application of Carbon Stable Isotopes as Indicators of Added Sugar Intake in Nutrition Research Scoping Review Search Strategy. 14: 1–8. 10.34944/dspace/8144

Tyuftin, A.A., and Kerry, J.P. 2023. The storage and preservation of meat: Storage and packaging. In Lawrie’s Meat Science, pp. 315–362. Elsevier. 10.1016/B978-0-323-85408-5.00017-0

Verma, A.K., Rajkumar, V., Banerjee, R., Biswas, S., and Das, A.K. 2013. Guava (Psidium guajava L.) powder as an antioxidant dietary fibre in sheep meat nuggets. AJAS. 26: 886. 10.5713/ajas.2012.12671

Vieitez, I., Maceiras, L., Jachmanián, I., and Alborés, S. 2018. Antioxidant and antibacterial activity of different extracts from herbs obtained by maceration or supercritical technology. J. Supercrit. Fluids. 133: 58–64. 10.1016/j.supflu.2017.09.025

Vizzarri, F., Palazzo, M., D’Alessandro, A.G., and Casamassima, D. 2017. Productive performance and meat quality traits in growing rabbit following the dietary supplementation of Lippia citriodora, Raphanus sativus and Solanum lycopersicum extracts. Livest. Sci. 200: 53–59. 10.1016/j.livsci.2017.04.007

Wang, J., Aziz, T., Bai, R., Zhang, X., Shahzad, M., Sameeh, M.Y., et al. 2022. Dynamic change of bacterial diversity, metabolic pathways, and flavor during ripening of the Chinese fermented sausage. Front. Microbiol. 13: 990606. 10.3389/fmicb.2022.990606

Wang, X., Wang, Z., Zhuang, H., Nasiru, M.M., Yuan, Y., Zhang, J., and Yan, W. 2021. Changes in color, myoglobin, and lipid oxidation in beef patties treated by dielectric barrier discharge cold plasma during storage. Meat Sci. 176: 108456. 10.1016/j.meatsci.2021.108456

Wang, Z., He, Z., Zhang, D., Li, H., and Wang, Z. 2020 Using oxidation kinetic models to predict the quality indices of rabbit meat under different storage temperatures. Meat Sci. 162: 108042. 10.1016/j.meatsci.2019.108042

Wongwichian, C., Klomklao, S., Panpipat, W., Benjakul, S., and Chaijan, M. 2015. Interrelationship between myoglobin and lipid oxidations in oxeye scad (Selar boops) muscle during iced storage. Food Chem. 174: 279–285. 10.1016/j.foodchem.2014.11.071

Wu, S., Luo, X., Yang, X., Hopkins, D.L., Mao, Y., and Zhang, Y. 2020. Understanding the development of color and color stability of dark cutting beef based on mitochondrial proteomics. Meat Sci. 163: 108046. 10.1016/j.meatsci.2020.108046

Zahra, N., Fareed, T., Hamza, M., Zeshan, B., Sarwar, A., Aziz, T., et al. 2023. In-vivo and in-silico analysis of anti-inflammatory, analgesic, and anti-pyretic activities of in-silico leaf extract. J. Chil. Chem. Soc. 68(2): 5813–5821. 10.4067/s0717-97072023000205813

Zhang, Y., Wang, J., Qi, B., Wu, S., Chen, H., Luo, H., et al. 2017. Evaluation of mango saponin in broilers: Effects on growth performance, carcass characteristics, meat quality and plasma biochemical indices. AJAS. 30: 1143–1149. 10.5713/ajas.16.0847