PAPER

Effect of pulsed electric field treatment on cell-membrane permeabilization of potato tissue and the quality of French fries

Seung-Hyun Lee1, Hafiz Muhammad Shahbaz2, Se-Ho Jeong1, Seok-Young Hong1, Dong-Un Lee1*

1Department of Food Science and Biotechnology, Chung-Ang University, Anseong, Republic of Korea;

2Department of Food Science and Human Nutrition, University of Veterinary and Animal Sciences, Lahore, Pakistan

Abstract

The effect of pulsed electric field (PEF) treatment on the cell membrane permeabilization of potato tissue and the quality of French fries was investigated. Pulses with an electric field strength of 0.5, 1.5, and 2.5 kV/cm and a width of 20 μs were applied to the potato. PEF treatment permeabilized the membrane of potato cells. The magnitude of cell-membrane permeabilization was estimated by ion leaching and biological impedance tests and verified by microscopic observation. As the PEF field strength increased, the accumulation of neutral red dye decreased due to increased cell rupture. The index Z-values (relative cell membrane breakdown values) for 0.5-, 1.5-, and 2.5-kV/cm PEF-treated samples were 0.01, 0.28, and 0.52, respectively. PEF treatment at 2.5 kV/cm reduced the cutting force of potatoes by 33%; it also increased the degree of the crispness of French fries by 64% and decreased crude fat content by 28%. The total reducing sugar content was decreased by PEF treatment, which could be attributed to increased lightness and yellowness after frying. Therefore, PEF treatment improved the quality of French fries by increasing crispness, improving color, and reducing crude fat content.

Key words: cell membrane permeabilization, fat content, French fries quality, potato, pulsed electric field

*Corresponding Author: Dong-Un Lee, Department of Food Science and Biotechnology, Chung-Ang University, Anseong 17546, Republic of Korea. Email: [email protected]

Received: 4 February 2022; Accepted: 2 June 2022: Published: 3 August 2022

DOI: 10.15586/ijfs.v34i3.2180

© 2022 Codon Publications
This is an Open Access article distributed under the terms of the Creative Commons Attribution-NonCommercial-ShareAlike 4.0 International (CC BY-NC-SA 4.0). License (http://creativecommons.org/licenses/by-nc-sa/4.0/)

Introduction

Potato is one of the most available foods worldwide and can contribute to the daily supply of carbohydrates, minerals, vitamins, and proteins. French fries are among the most popular potato products because of their texture and characteristic taste. Frying is a complicated process that involves the heat and mass transfer between fried foods and the surrounding oil. The frying process results in developing a thin outer layer and crust, which are essential in heat and mass transfer during frying and for the sensory characteristics (Moreira et al., 2009). Dehydration toward the center of the potato causes pore creation and shrinking, resulting in the production of this thin layer (Kalogianni and Smith, 2013). During crust development, complex chemical and physical events have been reported such as starch gelatinization, cell shape and size changes, and tissue disruption (Pedreschi and Aguilera, 2002).

In the French-fry industry, blanching is a widely used thermal process. It is usually performed in water at 70–90°C for 3–10 min to inactivate the polyphenol oxidase enzyme and soften the tissue (Ignat et al., 2015). Starch is partially gelatinized during blanching, and cell walls are weakened (Moyano et al., 2007). However, blanching is time-consuming and requires a large amount of water. In addition, chlorogenic acid and iron in potatoes may form a colorless compound, ferri-chlorogenic acid, resulting in an undesirable darkening of the blanched tissue (Wang-Pruski and Nowak, 2004). Sulfate is added to the blanching solution to prevent this process. However, the sulfate may leave a chemical residue in the product, which can cause an allergic reaction in sensitive humans.

Therefore, improving the quality of French fries while minimizing chemical additives and reducing the excessive usage of energy and water are important considerations.

The food industry has focused on nonthermal processing technologies for reducing energy consumption and shortening the treatment duration (Shahbaz et al., 2018). PEF is a nonthermal processing technology that involves electrical stimulation using pulsations of high voltage and short intervals (1–100 μs) to food or food ingredients (Hill et al., 2022; Vorobiev and Lebovka, 2009). The processing parameters for PEF include the pulse width (μm), pulse number (n), pulse frequency (Hz), and electric field strength (kV/cm). Membrane conductivity increases immediately after PEF treatment, and membrane permeability increases with increasing conductivity (Angersbach et al., 2000; Pereira et al., 2009). PEF damages only the cell membrane (Vorobiev and Lebovka, 2009), having lipid components as the site of electric interaction. The degree of cell-membrane permeability is determined by the cell membrane’s properties and the electrical pulse (Kandušer et al., 2008). PEF treatment can induce reversible or irreversible membrane permeability, depending on the conditions. In general, reversible breakdown occurs when pores stay small in proportion to the membrane area and can lead to variations in metabolic responses by increasing the development of secondary metabolites, causing sublethal stress to cells. PEF-induced irreversible permeability can significantly improve the transfer of mass in various processes, such as drying (Parniakov et al., 2016), extraction, and concentration (Gagneten et al., 2019). PEF treatment induces softening of plant tissues such as in apples, carrots, and potatoes (Boussetta et al., 2013). PEF treatment has also been used to improve mass-delivery processes, e.g., drying, extraction, and cooking of various fruits and vegetables (Amami et al., 2008; Donsì et al., 2010). However, little data are available on the comprehensive results of the PEF processing effects on fresh potatoes such as membrane permeabilization, textural properties, and PEF-frying effects of French fries, including texture, color, fat contents, and reducing sugar contents. In this study, we examined the PEF processing impact on the physical properties of raw potatoes and determined whether it affects the final quality of French fries.

Materials and Methods

Reagents

All chemicals used were purchased from Sigma-Aldrich, South Korea.

Potato samples

Fresh potatoes (superior) were obtained from a local marketplace in Anseong, South Korea, and before use, were stored at 4°C. Potatoes were sliced into quarters, and the two cut pieces were placed in the batch chamber for PEF treatment.

PEF treatment

PEF treatment was done using a pulse generator of 5-kW (HVP-5; DIL, Quakenbrueck, Germany) with batching equipment and continuous treatment chambers. The pulse generator creates bipolar and rectangular pulses. The batch chamber had parallel stainless-steel electrodes (10 × 5 cm) separated by 8 cm. Potato samples were submerged in the PEF treatment chamber containing 300 mL tap water. PEF was performed using an out voltage of 1–70%, frequency electrical, 500 pulses, 20 μs pulse width, and electrical field strengths of 0.5 to 2.5 kV/cm. The strength of the electric field in the treatment chamber was estimated by the following Equation (1) (Zhang et al., 2021):

Electrical field strength E,kVcm=Output voltagekVDistance between the electrode cm 1

The electric field strengths ([E] 0.5–2.5 kV/cm) were used to attain irreversible cell disruption—an E of > 1 kV/cm leads to permanent pore development in the membranes of plant cells. PEF treatment was conducted at room temperature. Untreated samples were immersed in tap water for 1 min. The PEF treatment conditions are listed in Table 1. PEF-treated potato pieces were sliced into cuboids (1 × 1 × 4 cm) using a commercial cutter with an adjustable frame (JG-04, ChromeCater, South Africa).

Table 1. PEF treatment conditions.

Size (g) Field Strength (kV/cm) out voltage (%) Pulse width (µs) Frequency (Hz) Pulse number
40 ± 2 0.5 14 20 50 500
1.5 42
2.0 70

Blanching

Blanching was performed at 90°C for 3 min by immersing 50 g of raw potato slices in 100 mL of tap water. For 20 min, the blanched potato was immersed in 300 mL of tap water at room temperature. Untreated samples were immersed in tap water for 20 min.

Microscopic observation of potato tissue

Sample thickness was determined to be 300 μm using a hand microtome (FB1262, Finn Science). Neutral red solution (0.5% aqueous neutral red) diluted to 0.04% with 0.2 M mannitol−0.01 M 4-(2-hydroxyethyl)-1-piperazineethanesulfonic acid (HEPES) buffer at pH 7.8 was used for visualization (Caine et al., 2003). Tissue was immersed in a 0.04% diluted dye solution for 2 h and rinsed for 1 min in 0.2 M mannitol–0.01 M HEPES buffer (pH 7.8). Neutral red staining tissue was examined by using an optical microscope (CX22LEDRFS1, Olympus, Japan). The stained cells were observed using an electron microscope at magnifications of 40× and 100×.

Estimation of cellular damage based on potato tissue conductivity measurements

Electrical conductivity (S/m) was measured to estimate the PEF-induced membrane permeabilization of potatoes. Samples of potatoes were cut into cylinders (diameter of 1 cm, thickness of 1 cm) using a cork borer and measured with an LCR meter (LCR-8000G, GW Instek, Taiwan) at 1 kHz to 1.9 MHz frequencies. The electrical conductivity of potato samples was estimated by the following Equation (2) (Angersbach et al., 2000):

σωs=1AZjωs 2

where l is the length of the sample, A is the area perpendicular to the electrical field, and Z(jω)s is the system impedance.

Tissue rupture was estimated from the electrical conductivity index Z-value calculated by the following Equation (3) (Vorobiev and Lebovka, 2009):

Z=σσiσdσi 3

where σ (S/m) is the measured electrical conductivity and subscripts i and d indicate intact and damaged tissue (freeze-thaw or heat treatment), respectively. The value is the electrical conductivity of untreated potato tissue, and value is obtained by thawing after freezing for 24 h in the refrigerator and measuring the electrical conductivity. The Z-value of the intact tissue is 0 and that of damaged tissue is 1.

Ion leaching measurement

Cell membrane permeabilization of potato tissue was estimated indirectly by measuring ion leaching. Potato samples were cut into cuboids (1 × 1 × 3 cm) and submerged in 250 mL of deionized water. A conductivity meter (CM-21P, TOA-DKK, Japan) was used to measure water conductivity at room temperature for 6 h.

Texture properties

Texture profile analysis

A texture analyzer (TA-XT, Stable Micro Systems Ltd., Surrey, UK) and a cylindrical probe (20 mm diameter, P/20) performed texture profile analysis. Samples were cut into cubes (1 × 1 × 1 cm) in two cycles, and compressed to 15% of their initial height. The test was performed at a pretest speed of 5 mm/s, posttest speed of 5 mm/s, and during test speed of 1 mm/s. The obtained data were analyzed using Texture Expert Software (Stable Micro Systems, UK) and expressed as chewiness, hardness, cohesiveness, springiness, and resilience values.

Cutting force

Cutting force was evaluated using a texture analyzer (TAHDi/500, Godalming, UK) and a Warner-Bratzler flat blade (Caine et al., 2003). Samples were sliced into cuboids (1 × 1 × 4 cm), and the maximum shear force (N) was measured. The test was performed at a pretest speed of 5 mm/s, a posttest speed of 5 mm/s, and a test speed of 10 mm/s.

Frying conditions

A commercial deep-fat fryer (DK-201, DELKI, China) was used for frying. Potato cubes were cut into cuboids (1 × 1 × 4 cm) and fried in soybean oil at 180°C for 5 min (potato–oil ratio 1:30, w/w). After frying, potato cubes were drained for 3 min in a frying sieve to remove excess oil.

Moisture content of French fries

The oven-drying method was used to measure the moisture content of fries at 105°C temperature for 18 h. The moisture content of the French fries was measured at 1-min intervals from 1 to 5 min during frying.

The crispness of French fries

A texture analyzer (TAHDi/500, TAHD, Godalming, UK) equipped with a Warner-Bratzler flat blade was used for measuring crispness. The crosshead speed was 10 mm/s.

Color measurement of French fries

A colorimeter (Ultra Scan Pro, Hunter Lab) was used to determine the color differentiation of the French fries. A standard whiteboard was used to calibrate the colorimeter, and values for the L* (lightness), a* (+, redness/−, greenness), and b* (+, yellowness/−, blueness) were determined. The color differentiation between untreated and PEF-treated samples was shown as ΔE, calculated by the following Equation (4):

ΔE=ΔL2+Δa2+Δb2 4

Total reducing sugar content of potato tissue

Five grams of raw potato sample was homogenized in 50 mL of distilled water for 1 min and centrifuged at 4°C for 20 min at 8000 rpm. The supernatant was filtered through a membrane filter (0.45 μm; Millipore) and diluted twofold with distilled water. Samples were inserted into a test tube containing 1 mL of dinitroalicylic acid (DNS), and heated for 10 min. After cooling, 3 mL of distilled water was added, and 200 µL of every sample was transferred to a 96-well plate. At 550 nm, the absorbance was measured using a spectrophotometer.

Total crude fat content of French fries

The Folch method with several modifications was used to extract crude fat from milk powder to allow fat to be removed without being affected by moisture. Chloroform-methanol (300 mL; 2:1, v/v) was added to 15 g of homogenized sample and shaken. Next, 60 mL of distilled water was added, shaken, and impurities in the lower layer were removed using filter paper (Whatman No. 4). The filtered solvent was concentrated using a decompression condenser and the crude fat content was calculated by weighing.

Preference evaluation of French fries

Preference was evaluated by examining the color, texture, and overall acceptability of French fries on a 9-point hedonic scale by 20 panelists. The panelists comprised students and graduate students at the Department of Food Science and Biotechnology, Chung-Ang University who were 20–30 years of age and trained in the inspection method. The sample was placed in a white dish to evaluate color, followed by assessing texture and overall preference. Color, texture, and overall acceptability were rated from very disliked (1 point), neither good nor bad (5 points), to very good (9 points).

Statistical analysis

Data were analyzed using analysis of variance (ANOVA) in IBM SPSS Statistics 19. Results were expressed as means ± standard deviation. Differences in means were assessed by Duncan’s multi-range test and considered significant at P < 0.05.

Results and Discussion

Microscopic observation of potato tissue

Neutral red (NR) staining visualized cell membrane permeabilization of potato tissue. In the control (i) and blanched (ii) samples, NR remained in the cytoplasm because the cell membrane was intact (Figure 1). The samples subjected to PEF treatment at 0.5 kV/cm also showed NR-stained cells, implying an intact membrane (Figure 1c). PEF treatment at 1.5 to 2.5 kV/cm exhibited unstained areas (Figure 1d, e). This is consistent with a previous report on onions treated with PEF (Ersus and Barrett, 2010). Therefore, PEF treatment may induce membrane breakdown and be affected by membrane permeability.

Figure 1. Microscopic observation of potato tissue. (A) Control, (B) blanched, and PEF-treated at (C) 0.5 kV/cm, (D) 1.5 kV/cm, and (E) 2.5 kV/cm.

Electrical conductivity of potato

Figure 2 shows potato samples’ frequency-dependent electrical conductivity spectrum from 1 kHz to 1.9 MHz. Increased membrane permeability reduces the electrical resistance, altering the impedance of plant cells. Therefore, determining the impedance of plant samples enables the assessment of the magnitude of PEF-induced damage (Oey et al., 2016). The conductivity-frequency spectrum of the potato samples treated at 0.5 kV/cm was similar to those of the untreated control and blanched pieces. Conductivity is degraded by the electrical resistance of an intact cell membrane. However, samples subjected to PEF at 1.5 and 2.5 kV/cm had high conductivity, indicating membrane damage.

Figure 2. Electrical conductivity spectra of potato samples. Bars are standard errors of the mean.

Figure 3 shows the Z-values obtained by measuring electrical conductivity (S/m). The Z-value reflects the degree of disintegration of tissue (Lebovka et al., 2002). The index Z-value of freeze-thawed tissue is 1.0, and that of untreated tissue is 0. The Z-values of the control, blanched, and 0.5-, 1.5-, and 2.5-kV/cm PEF-treated samples were 0, 0.01, 0.01, 0.28, and 0.52, respectively. The low Z-values of the control blanched and 0.5-kV/cm-treated potato samples indicate intact tissues. However, 1.5- and 2.5-kV/cm PEF treatment increased Z-values, indicating tissue destruction. Similarly, the Z index values of red beet were 0.6 and 0.9, following PEF at 375 and 1000 V/cm, respectively (Loginova et al., 2011).

Figure 3. Cell membrane disintegration index Z values of potato samples. The conductivities of 1-kHz PEF-treated, intact, and freeze-thawed samples were used.

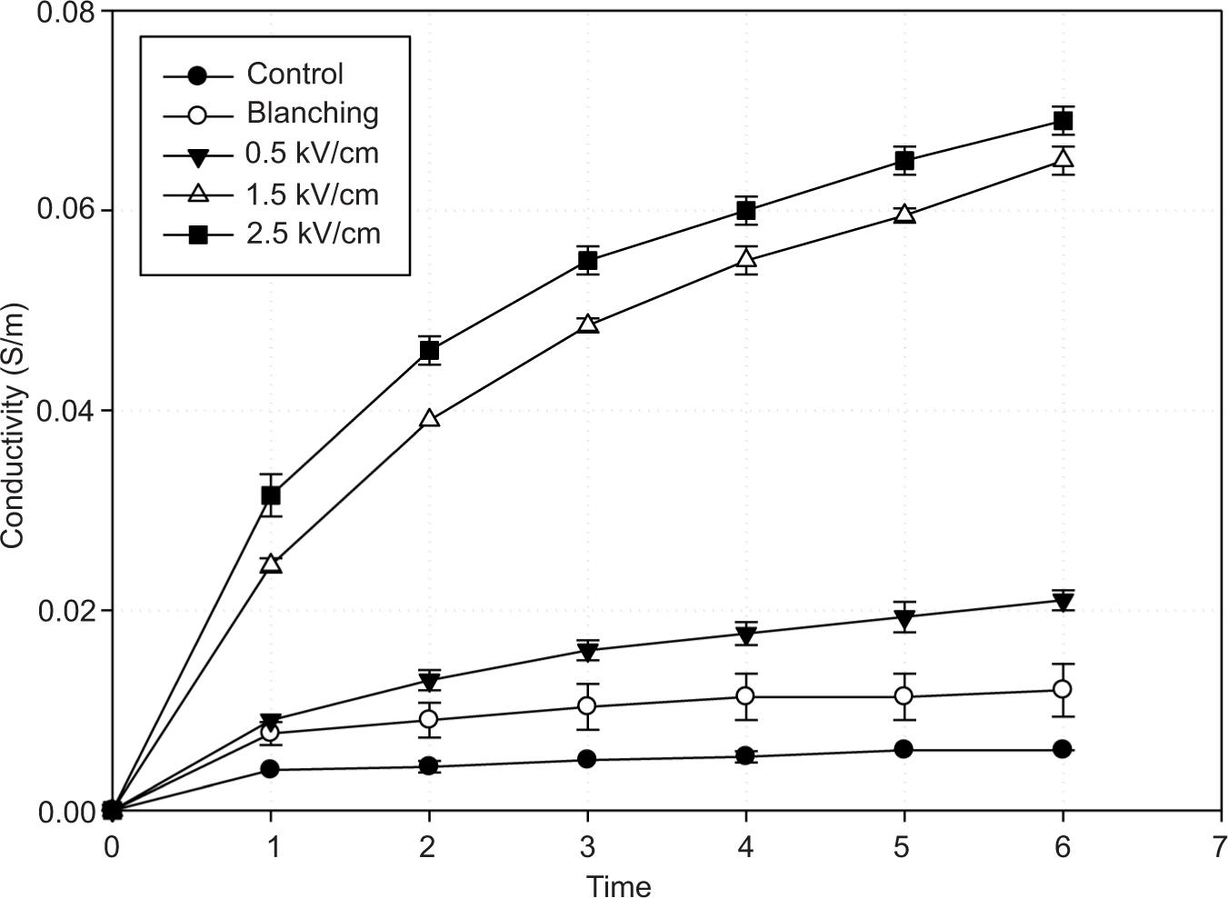
Ion leaching from potato

The breakdown of the potato cell membrane was assessed by measuring the elution of ionic materials (Figure 4). The conductivity values of the control, blanched, and 0.5-, 1.5-, and 2.5-kV/cm PEF-treated samples after 6 h of immersion were 0.006, 0.01, 0.02, 0.06, and 0.07 S/m, respectively. Untreated potato showed very slowly increasing conductivity, indicating little leaching of ionic materials and intact cell membranes. By contrast, the PEF-treated samples showed rapidly increasing solution conductivity, indicating that disrupted cell membranes accelerated the release of ionic materials. This finding is consistent with a prior report on PEF-treated red pepper (Won et al., 2015). Therefore, membrane permeabilization of potato cells was increased by PEF treatment.

Figure 4. Effect of PEF treatment on ion release from potato. Bars are standard errors of the mean.

Effect of PEF treatment on potato textural properties

The maximum N values of the control, blanched, and 0.5-, 1.5-, and 2.5-kV/cm PEF-treated samples were 43.14, 37.88, 36.30, 32.45, and 28.75, respectively (Figure 5). The PEF-treated samples had significantly decreased maximum N values (P < 0.05); the 2.5-kV/cm PEF-treated sample was reduced by 33%.

Figure 5. Maximum cutting force [N] of potato. Bars are standard errors of the mean; means with different letters are significantly different (P < 0.05).

The hardness values [N] of the control, blanched, and 0.5-, 1.5-, and 2.5-kV/cm PEF-treated samples were 21.05, 21.62, 18.96, 17.09, and 14.06, respectively (Table 2). The hardness value decreased as the PEF-treated field strength increased; the 2.5-kV/cm PEF-treated sample decreased by 33%. Similarly, the chewiness value of 2.5-kV/cm PEF-treated potato significantly decreased from 12.96 ± 2.94 to 7.86 ± 1.40 (P < 0.05). However, PEF treatment did not significantly affect the springiness, cohesiveness, and resilience values.

Table 2. Texture profile analysis of potato samples.

  Hardness Springiness Cohesiveness Chewiness Resilience
Control 21.05 ± 1.39a 0.82 ± 0.16a 0.75 ± 0.04a 12.96 ± 2.94ab 0.96 ± 0.10b
Blanched 21.62 ± 1.76a 0.85 ± 0.11a 0.74 ± 0.02a 13.57 ± 1.70a 0.99 ± 0.05b
0.5 kV/cm 18.96 ± 1.80b 0.74 ± 0.11a 0.73 ± 0.02a 10.45 ± 2.73bc 1.03 ± 0.06b
1.5 kV/cm 17.08 ± 1.76b 0.75 ± 0.12a 0.72 ± 0.01a 9.19 ± 1.44c 1.04 ± 0.03b
2.5 kV/cm 14.06 ± 0.94c 0.75 ± 0.11a 0.75 ± 0.02a 7.86 ± 1.40c 1.13 ± 0.08a

*Values are means ± standard deviation.

*Means with different superscript letters within the same column indicate significant difference (P < 0.05).

The tissues became weaker, and the elastic modulus decreased with increasing PEF treatment time (Lebovka et al., 2004). Indeed, the hardness and chewiness of potato samples reportedly decreased with increasing PEF field strength (Icier et al., 2010). Therefore, PEF treatment of potatoes may change their textural properties and result in membrane breakdown.

Effect of PEF treatment on the moisture content of French fries

Figure 6 shows moisture content according to frying time (1–5 min). The moisture content of PEF-treated samples rapidly decreased compared to the control but without a significant difference. The moisture content of the control sample at 4 min was similar to that of the 2.5-kV/cm PEF-treated sample at 2.3 min. In PEF-treated pieces, diffusion of liquid from the core to the surface might be greater during frying because of increased cell membrane permeability. The blanched samples exhibited slow water diffusion from the core to the surface due to structural changes. Blanching promoted starch gelatinization and maintained the integrity of the native pectin network by deactivating pectolytic enzymes (Pedreschi and Moyano, 2005). Therefore, PEF increased the rate of water diffusion from the core to the surface during frying.

Figure 6. The moisture content of French fries according to frying time. Bars are standard errors of the mean.

Effect of PEF treatment on the crispness of French fries

The crispness of potato chips is the most critical indicator of their freshness, which is also reflected by their hardness (Salvador et al., 2009). The crispness of French fries is influenced by their desirable quality characteristics (Kita et al., 2007). The crispness values of French fries are shown in Figure 7. The crispness value increased with increasing PEF field strength. It was the highest for 2.5-kV/cm PEF and significantly lower for the untreated control and blanched samples. Although the moisture content of samples was varied but without a statistically significant difference (Figure 6), it cannot be the only reason for the difference in crispness. During frying, moisture evaporates due to the difference in partial vapor pressure between the product and the frying oil. The diffusion of liquid from the core to the surface in PEF-treated potato cubes was enhanced by cell membrane permeabilization. PEF treatment increases the water vapor pressure, thickens the surface vapor layer, and increases the crispness (Janositz et al., 2011).

Figure 7. The crispness of French fries. Bars are standard errors of the mean; means with different letters are significantly different (P < 0.05).

Effect of PEF treatment on the appearance and color values of French fries

An image of fried potato cubes is shown in Figure 8. PEF treatment led to uniform and brightly colored French fries. The untreated control and blanched samples showed uneven dark colors with brown edges. The color of fried potato is affected by its sugar content.

Figure 8. Appearance of French fries after frying at 180°C for 5 min. (A) Control, (B) blanched, and (C) 0.5-kV/cm, (D) 1.5-kV/cm, and (E) 2.5-kV/cm PEF-treated samples.

Most consumers expect French fries to be golden-brown in color, and higher L* and b* values are preferable for French fries. Table 3 shows the L* (lightness), a* (green-to-red), and b* (yellow-to-blue) color values of the French fries. PEF-treated French fries showed higher lightness and b* values than the untreated control and blanched samples. The French fries treated with 2.5-kV/cm PEF showed significantly increased brightness (51.49 ± 1.21 to 65.81 ± 1.05; P < 0.05) and yellowness (15.80 ± 1.82 to 28.51 ± 1.59; P < 0.05). Therefore, PEF treatment affected the color of French fries, as indicated by the ΔE values.

Table 3. Color values of French fries after frying at 180°C for 5 min.

  L* a* b* ΔE
Control 51.49 ± 1.21d 11.46 ± 0.81c 15.80 ± 1.82c
Blanching 57.29 ± 1.57b 14.17 ± 0.87a 23.71 ± 2.86b 9.64
0.5 kV/cm 55.54 ± 1.28c 13.29 ± 0.60ab 23.04 ± 1.73b 7.97
1.5 kV/cm 57.38 ± 0.90b 12.88 ± 0.57b 23.66 ± 1.60b 9.44
2.5 kV/cm 65.81 ± 1.05a 11.01 ± 0.93c 28.51 ± 1.59a 18.80

*Values are means ± standard deviation.

*Means with different superscript letters in the same column are significantly different (P < 0.05).

Effect of PEF treatment on the total reducing sugar content of potato tissue

PEF treatment of potato cubes significantly decreased their reducing sugar content by disrupting cell membranes (Figure 9). Treatment of potato cubes with 2.5-kV/cm PEF decreased the total reducing sugar content from 14.11 ± 0.08 to 5.06 ± 0.08 (P < 0.05). In a previous study, PEF treatment at 1.5 kV/cm and 20 pulses stimulated glucose and fructose release (Janositz et al., 2011). Therefore, PEF treatment could be an adjunct to heat treatment for removing reducing sugars linked to the Maillard reaction and acrylamide formation. Acrylamide formation during French fries production is linked with Maillard reactions from reducing sugars and asparagine, as acrylamide precursors, and depends on the frying temperature (Yang et al., 2016). It was reported that during the processing, when the sugar concentration was relatively high, acrylamide formation was proportional to the sugar content. In contrast, when the sugar level was low, acrylamide formation was proportional to the asparagine content (Halford et al., 2012). Efforts are being made by researchers for the reduction of acrylamide content in potato chips. Ostermeier et al. (2021) reported that combining pretreatment of PEF with ultrasound-assisted frying caused a reduction of 66% in acrylamide content of potato chips. In another study, a reduction of 30% of acrylamide content was reported by PEF treatment (Genovese et al., 2019). Pretreatment with yeast followed by PEF was found useful in reducing the acrylamide content in potato chips (Schouten et al., 2020). A combined treatment of PEF and blanching reduced the acrylamide content of French fries (Zhang et al., 2021).

Figure 9. The total reducing sugar content of potato tissue before frying. Bars are standard errors of the mean; means with different letters are significantly different (P < 0.05).

Effect of PEF treatment on the total crude fat content of French fries

The total crude fat contents of the untreated control, blanched, and 0.5-, 1.5-, and 2.5-kV/cm PEF-treated samples were 15.67, 16.00, 15.00, 12.67, and 11.33, respectively (Table 4). The total crude fat content of PEF-treated samples decreased significantly with increasing field strength (P < 0.05). This is in agreement with a previous report (Ignat et al., 2015) that control and blanched samples had similar oil contents, which were significantly higher (P < 0.05) than those of PEF-treated pieces.

Table 4. The total crude fat content of French fries.

Sample Total crude fat content (%)
Control 15.67 ± 2.31a
Blanching 16.00 ± 1.00a
0.5 kV/cm 15.00 ± 1.00a
1.5 kV/cm 12.67 ± 0.58b
2.5 kV/cm 11.33 ± 0.58b

Values are means ± standard deviation.

*Means with different letters are significantly different (P < 0.05).

During frying, water vapor prevents oil penetration (Van Loon et al., 2007), and PEF treatment reduces oil uptake by enhancing water diffusion from the core to the surface of potato strips, creating a thicker water vapor layer and suppressing oil uptake. The decreased oil content of PEF-treated French fries may also result from their smoother surface, which promotes the draining of oil after frying (Thanatuksorn et al., 2005). Therefore, PEF treatment reduced the crude fat content of French fries.

Effect of PEF treatment on the preference scores of French fries

The maximum color, crispness, and overall acceptability scores of French fries were achieved by 2.5-kV/cm PEF treatment (Table 5). The control samples showed significantly lower scores for color, crispness, and overall acceptability. The scores of the blanched and 0.5-kV/cm PEF-treated samples were similar to those of the control. There is reportedly no difference in the color of French fries according to storage temperature and duration. The color of French fries is closely linked to their freshness (Troncoso and Pedreschi, 2009). Also, the desirable characteristics of potato chips are influenced by their color and crispness, as is the overall taste (Salvador et al., 2009). Therefore, PEF treatment at 2.5 kV/cm increased the overall preference scores of French fries.

Table 5. Preference scores of French fries.

Sample Color Crispness Overall acceptability
Control 4.42 ± 2.17c 2.95 ± 1.31d 3.47 ± 1.58c
Blanching 4.68 ± 1.86bc 3.74 ± 1.24c 4.37 ± 1.38bc
0.5 kV/cm 5.53 ± 1.95abc 4.63 ± 1.34b 5.16 ± 1.80b
1.5 kV/cm 6.00 ± 2.00ab 7.21 ± 0.98a 7.26 ± 0.93a
2.5 kV/cm 6.42 ± 2.19a 7.89 ± 1.20a 7.58 ± 1.46a

*Values are means ± standard deviation.

*Means with different letters in the same column are significantly different (P < 0.05).

Conclusions

PEF treatment increased cell membrane permeability in potato tissue proportionately with field strength. The neutral red dye did not accumulate in the cytoplasm after PEF treatment, and cell membrane permeability increased with increasing field strength. PEF treatment also reduced the maximum cutting force and hardness of potato tissue. The increased cell membrane permeability improved the quality of French fries, which were of uniform and bright color, because of the decreased sugar content resulting from PEF treatment. During frying, water rapidly diffused from the core to the surface, thickening the surface vapor layer and reducing oil uptake, and increasing the crispness of French fries. In conclusion, PEF treatment could prevent the need for blanching and chemical treatment and reduce the processing time and water and energy consumption.

Conflicts of Interest

The authors declared no potential conflict of interest with respect to the research, authorship, and/or publication of this article.

Funding

This research was supported by the Chung-Ang University Graduate Research Scholarship in 2020.

Data Availability

Data will be available on request.

REFERENCES

Amami, E., Khezami, L., Vorobiev, E. and Kechaou, N., 2008. Effect of pulsed electric field and osmotic dehydration pretreatment on the convective drying of carrot tissue. Drying Technology 26: 231–238. 10.1080/07373930701537294

Angersbach, A., Heinz, V. and Knorr, D., 2000. Effects of pulsed electric fields on cell membranes in real food systems. Innovative Food Science and Emerging Technologies 1: 135–149. 10.1016/S1466-8564(00)00010-2

Boussetta, N., Grimi, N., Lebovka, N.I. and Vorobiev, E., 2013. “Cold” electroporation in potato tissue induced by pulsed electric field. International Journal of Food Engineering 115(2): 232–236. 10.1016/j.jfoodeng.2012.10.019

Caine, W., Aalhus, J., Best, D., Dugan, M. and Jeremiah, L., 2003. Relationship of texture profile analysis and Warner-Bratzler shear force with sensory characteristics of beef rib steaks. Meat Science 64(4): 333–339. 10.1016/S0309-1740(02)00110-9

Donsì, F., Ferrari, G. and Pataro, G., 2010. Applications of pulsed electric field treatments for the enhancement of mass transfer from vegetable tissue. Food Engeering Reviews 2(2): 109–130. 10.1007/s12393-010-9015-3

Ersus, S. and Barrett, D.M., 2010. Determination of membrane integrity in onion tissues treated by pulsed electric fields: use of microscopic images and ion leakage measurements. Innovative Food Science and Emerging Technologies 11(4): 598–603. 10.1016/j.ifset.2010.08.001

Gagneten, M., Leiva, G., Salvatori, D., Schebor, C. and Olaiz, N., 2019. Optimization of pulsed electric field treatment for the extraction of bioactive compounds from blackcurrant. Food and Bioprocess Technology 12(7): 1102–1109. 10.1007/s11947-019-02283-1

Genovese, J., Tappi, S., Luo, W., Tylewicz, U., Marzocchi, S., Marziali, S., Romani, S., Ragni, L. and Rocculi, P., 2019. Important factors to consider for acrylamide mitigation in potato crisps using pulsed electric fields. Innovative Food Science and Emerging Technologies 55: 18–26. 10.1016/j.ifset.2019.05.008

Halford, N.G., Muttucumaru, N., Powers, S., Gillatt, P.N., Hartley, S. and Elmore, J.S., 2012. Concentrations of free amino acids and sugars in nine potato varieties: effects of storage and relationship with acrylamide formation. Journal of Agricultural and Food Chemistry 60: 12044–12055. 10.1021/jf3037566

Hill, K., Ostermeier, R., Töpfl, S. and Heinz, V., 2022. Pulsed electric fields in the potato industry. In: Raso, J., Heinz, V., Alvarez, I., and Toepfl, S. (eds.) Pulsed electric fields technology for the food industry. Food Engineering Series. Springer, Cham, Switzerland, pp. 325–335. 10.1007/978-3-030-70586-2_9

Icier, F., Izzetoglu, G.T., Bozkurt, H. and Ober, A., 2010. Effects of ohmic thawing on histological and textural properties of beef cuts. Journal of Food Engineering 99(3): 360–365. 10.1016/j.jfoodeng.2010.03.018

Ignat, A., Manzocco, L., Brunton, N.P., Nicoli, M.C. and Lyng, J.G., 2015. The effect of pulsed electric field pre-treatments prior to deep-fat frying on quality aspects of potato fries. Innovative Food Science and Emerging Technologies 29: 65–69. 10.1016/j.ifset.2014.07.003

Janositz, A., Noack, A.-K. and Knorr, D., 2011. Pulsed electric fields and their impact on the diffusion characteristics of potato slices. LWT-Food Science and Technology 44(9): 1939–1945. 10.1016/j.lwt.2011.04.006

Kalogianni, E.P. and Smith, P.G., 2013. Effect of frying variables on French fry properties. International Journal of Food Science and Technology 48(4): 758–770. 10.1111/ijfs.12024

Kandušer, M., Šentjurc, M. and Miklavčič, D., 2008. The temperature effect during pulse application on cell membrane fluidity and permeabilization. Bioelectrochemistry 74(1): 52–57. 10.1016/j.bioelechem.2008.04.012

Kita, A., Lisińska, G. and Gołubowska, G., 2007. The effects of oils and frying temperatures on the texture and fat content of potato crisps. Food Chemistry 102(1): 1–5. 10.1016/j.foodchem.2005.08.038

Lebovka, N., Bazhal, M. and Vorobiev, E., 2002. Estimation of characteristic damage time of food materials in pulsed-electric fields. Journal of Food Engineering 54(4): 337–346. 10.1016/S0260-8774(01)00220-5

Lebovka, N.I., Praporscic, I. and Vorobiev, E., 2004. Effect of moderate thermal and pulsed electric field treatments on textural properties of carrots, potatoes and apples. Innovative Food Science and Emerging Technologies 5(1): 9–16. 10.1016/j.ifset.2003.12.001

Loginova, K., Lebovka, N. and Vorobiev, E., 2011. Pulsed electric field assisted aqueous extraction of colorants from red beet. Journal of Food Engineering 106(2): 127–133. 10.1016/j.jfoodeng.2011.04.019

Moreira, R.G., Da Silva, P.F. and Gomes, C., 2009. The effect of a de-oiling mechanism on the production of high quality vacuum fried potato chips. Journal of Food Engineering 92(3): 297–304. 10.1016/j.jfoodeng.2008.11.012

Moyano, P., Troncoso, E. and Pedreschi, F., 2007. Modeling texture kinetics during thermal processing of potato products. Journal of Food Science 72(2): E102–E107. 10.1111/j.1750-3841.2006.00267.x

Ostermeier, R., Hill, K., Dingis, A., Töpfl, S. and Jäger, H., 2021. Influence of pulsed electric field (PEF) and ultrasound treatment on the frying behavior and quality of potato chips. Innovative Food Science and Emerging Technologies 67: 102553. 10.1016/j.ifset.2020.102553

Parniakov, O., Bals, O., Lebovka, N. and Vorobiev, E., 2016. Pulsed electric field assisted vacuum freeze-drying of apple tissue. Innovative Food Science and Emerging Technologies 35: 52–57. 10.1016/j.ifset.2016.04.002

Pedreschi, F. and Aguilera, J., 2002. Some changes in potato chips during frying observed by confocal laser scanning microscopy (CLSM). Food Science and Technology International 8(4): 197–201. 10.1177/1082013202008004931

Pedreschi, F. and Moyano, P., 2005. Oil uptake and texture development in fried potato slices. Journal of Food Engineering 70(4): 557–563. 10.1177/1082013202008004931

Pereira, R.N., Galindo, F.G., Vicente, A.A. and Dejmek, P., 2009. Effects of pulsed electric field on the viscoelastic properties of potato tissue. Food Biophysics 4(3): 229–239. 10.1007/s11483-009-9120-0

Salvador, A., Varela, P., Sanz, T. and Fiszman, S., 2009. Understanding potato chips crispy texture by simultaneous fracture and acoustic measurements, and sensory analysis. LWT-Food Science and Technology 42(3): 763–767. 10.1016/j.lwt.2008.09.016

Shahbaz, H.M., Kim, J.U., Kim, S.-H. and Park, J., 2018. Advances in nonthermal processing technologies for enhanced microbiological safety and quality of fresh fruit and juice products. In: Grumezescu, A.M., and Holban, A.M. (eds.). Handbook of food bioengineering. Academic Press, United States, pp. 179–217. 10.1016/B978-0-12-811447-6.00007-2

Schouten, M.A., Genovese, J., Tappi, S., di Francesco, A., Baraldi, E., Cortese, M., Caprioli, G., Angeloni, S., Vittori, S., Rocculi, P. and Romani, S., 2020. Effect of innovative pre-treatments on the mitigation of acrylamide formation in potato chips. Innovative Food Science and Emerging Technologies 64: 102397. 10.1016/j.ifset.2020.102397

Thanatuksorn, P., Pradistsuwana, C., Jantawat, P. and Suzuki, T., 2005. Effect of surface roughness on post-frying oil absorption in wheat flour and water food model. Journal of the Science of Food and Agriculture 85(15): 2574–2580. 10.1002/jsfa.2300

Troncoso, E. and Pedreschi, F., 2009. Modeling water loss and oil uptake during vacuum frying of pre-treated potato slices. LWT-Food Science and Technology 42(6): 1164–1173. 10.1016/j.lwt.2009.01.008

Van Loon, W.A., Visser, J.E., Linssen, J.P., Somsen, D.J., Klok, H.J. and Voragen, A.G., 2007. Effect of pre-drying and par-frying conditions on the crispness of French fries. European Food Research and Technology 225(5): 929–935. 10.1007/s00217-006-0463-1

Vorobiev, E. and Lebovka, N., 2009. Pulsed-electric-fields-induced effects in plant tissues: fundamental aspects and perspectives of applications. In: Vorobiev, E. and Lebovka (eds.) Electrotechnologies for extraction from food plants and biomaterials. Springer, New York, pp. 39–81. 10.1007/978-0-387-79374-0_2

Wang-Pruski, G. and Nowak, J., 2004. Potato after-cooking darkening. American Journal of Potato Research 81(1): 7–16. 10.1007/BF02853831

Won, Y.-C., Min, S.C. and Lee, D.-U., 2015. Accelerated drying and improved color properties of red pepper by pretreatment of pulsed electric fields. Drying Technology 33(8): 926–932. 10.1080/07373937.2014.999371

Yang, Y., Achaerandio, I. and Pujolà, M., 2016. Influence of the frying process and potato cultivar on acrylamide formation in French fries. Food Control 62: 216–223. 10.1016/j.foodcont.2015.10.028

Zhang, C., Lyu, X., Zhao, W., Yan, W., Wang, M., Rei, N.K. and Yang, R., 2021. Effects of combined pulsed electric field and blanching pretreatment on the physiochemical properties of French fries. Innovative Food Science and Emerging Technologies 67: 102561. 10.1016/j.ifset.2020.102561